Урок по теме "Методы решения задач с параметрами"
Цель данной работы – изучение различных способов решения задач с параметрами. Возможность и умение решать задачи с параметрами демонстрируют владение методами решения уравнений и неравенств, осмысленное понимание теоретических сведений, уровень логического мышления, стимулируют познавательную деятельность. Для развития этих навыков необходимы длительнее усилия, именно поэтому в профильных 10-11 классах с углубленным изучением точных наук введен курс: “Математический практикум”, частью которого является решение уравнений и неравенств с параметрами. Курс входит в число дисциплин, включенных в компонент учебного плана школы.
Успешному изучению методов решения задач с параметрами могут помочь элективный или факультативный курсы, или компонент за сеткой по теме: “Задачи с параметрами”.
Рассмотрим четыре больших класса задач с параметрами:
- Уравнения, неравенства и их системы, которые необходимо решить для любого значения параметра, либо для значений параметра, принадлежащих определенному множеству.
- Уравнения, неравенства и их системы, для которых требуется определить количество решений в зависимости от значения параметра.
- Уравнения, неравенства и их системы, для которых требуется найти все те значения параметра, при которых указанные уравнения (системы, неравенства) имеют заданное число решений.
- Уравнения, неравенства и их системы, для которых при искомых значениях параметра множество решений удовлетворяет заданным условиям в области определения.
Методы решений задач с параметрами.
1. Аналитический метод.
Это способ прямого решения, повторяющий стандартные процедуры нахождения ответа в задачах без параметра.
Пример 1. Найдите все значения параметра a, при которых уравнение:
(2a – 1)x2 + ax + (2a – 3) =0 имеет не более одного корня.
Решение:
При 2a – 1 = 0 данное уравнение квадратным не является, поэтому случай a =1/2 разбираем отдельно.
Если a = 1/2, то уравнение принимает вид 1/2x – 2 = 0, оно имеет один корень.
Если a ≠ 1/2, то уравнение является квадратным; чтобы оно имело не более одного корня необходимо и достаточно, чтобы дискриминант был неположителен:
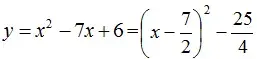
D = a2 – 4(2a – 1)(2a – 3) = -15a2 + 32a – 12;
Чтобы записать окончательный ответ, необходимо понять,

2. Графический метод.
В зависимости от задачи (с переменной x и параметром a) рассматриваются графики в координатной плоскости (x;y) или в плоскости (x;a).
Пример 2. Для каждого значения параметра a
определите количество решений уравнения
.
Решение:
Заметим, что количество решений уравнения
равно
количеству точек пересечения графиков функций
и y =
a.
График функции
показан на рис.1.

Рис.1

Рис. 2

Рис. 3
y = a – это горизонтальная прямая. По графику несложно установить количество точек пересечения в зависимости от a (например, при a = 11 – две точки пересечения; при a = 2 – восемь точек пересечения).
Ответ: при a < 0 – решений нет; при a = 0 и a = 25/4 – четыре решения; при 0 < a < 6 – восемь решений; при a = 6 – семь решений; при
6 < a < 25/4 – шесть решений; при a > 25/4 – два решения.
3. Метод решения относительно параметра.
При решении этим способом переменные х и а принимаются равноправными, и выбирается та переменная, относительно которой аналитическое решение становится более простым. После упрощений нужно вернуться к исходному смыслу переменных х и а и закончить решение.
Пример 3. Найти все значения параметра а , при
каждом из которых уравнение
= -ax +3a +2
имеет единственное решение.
Решение:
Будем решать это уравнение заменой переменных. Пусть
= t , t ≥ 0 , тогда x =
t2 + 8 и уравнение примет вид
at2 + t + 5a – 2 = 0 . Теперь
задача состоит в том, чтобы найти все а, при которых
уравнение at2 + t + 5a – 2 =
0 имеет единственное неотрицательное решение. Это имеет место
в следующих случаях.
1) Если а = 0, то уравнение имеет единственное решение t = 2.

Решение некоторых типов уравнений и неравенств с параметрами.
Задачи с параметрами помогают в формировании логического мышления, в приобретении навыков исследовательской деятельности.
Решение каждой задачи своеобразно и требует к себе индивидуального, нестандартного подхода, поскольку не существует единого способа решения таких задач.
Ⅰ. Линейные уравнения.
Задача № 1. При каких значениях параметра b
уравнение
не имеет корней?

Ⅱ. Степенные уравнения, неравенства и их системы.
Задача №2. Найти все значения параметра a, при которых множество решений неравенства:
содержит число 6, а также содержит два отрезка длиной 6,
не имеющие общих точек.
Решение:
.
Преобразуем обе части неравенства.

Для того, чтобы множество решений неравенства содержало число 6,
необходимо и достаточно выполнение условия: 
Рис.4
При a > 6 множество решений неравенства:
.
Интервал (0;5) не может содержать ни одного отрезка длины 6. Значит, два непересекающихся отрезка длины 6 должны содержаться в интервале (5; a).
Это 
Ⅲ. Показательные уравнения, неравенства и системы.
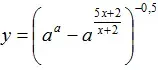
Задача № 3. В области определения функции
взяли все
целые положительные числа и сложили их. Найти все значения, при
которых такая сумма будет больше 5, но меньше 10.
Решение:
1) Графиком дробно-линейной функции
является гипербола. По условию x
> 0. При неограниченном возрастании х дробь
монотонно убывает и приближается к нулю, а значения функции
z возрастают и приближаются к 5. Кроме того, z(0) = 1.

Рис. 5
2) По определению степени область определения D(y)
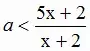
состоит из решений неравенства
. При a = 1 получаем
неравенство, у которого решений нет. Поэтому функция у нигде
не определена.
3) При 0 < a < 1 показательная функция с основанием
а убывает и неравенство
равносильно неравенству
. Так
как x > 0 , то z(x) > z(0) = 1 .
Значит, каждое положительное значение х является решением
неравенства
. Поэтому для таких а указанную в условии
сумму нельзя найти.
4) При a > 1 показательная функция с основанием
а возрастает и неравенство
равносильно неравенству
. Если
a ≥ 5, то любое положительное число является его
решением, и указанную в условии сумму нельзя найти. Если 1 <
a < 5, то множество положительных решений – это интервал
(0;x0) , где a =
z(x0) .
5) Целые числа расположены в этом интервале подряд, начиная с 1.
Вычислим суммы последовательно идущих натуральных чисел, начиная с
1 : 1; 1+2 = 3; 1+2+3 = 6; 1+2+3+4 = 10;… Поэтому указанная сумма
будет больше 5 и меньше 10, только если число 3 лежит в интервале
(0;x0), а число 4 не лежит в этом интервале.
Значит, 3 < x0 ≤ 4 . Так как
возрастает на
, то z(3) <
z(x0) ≤ z(4) .

Решение иррациональных уравнений и неравенств, а также уравнений, неравенств и систем, содержащих модули рассмотрены в Приложении 1.
Задачи с параметрами являются сложными потому, что не существует единого алгоритма их решения. Спецификой подобных задач является то, что наряду с неизвестными величинами в них фигурируют параметры, численные значения которых не указаны конкретно, но считаются известными и заданными на некотором числовом множестве. При этом значения параметров существенно влияют на логический и технический ход решения задачи и форму ответа.
По статистике многие из выпускников не приступают к решению задач с параметрами на ЕГЭ. По данным ФИПИ всего 10% выпускников приступают к решению таких задач, и процент их верного решения невысок: 2–3%, поэтому приобретение навыков решения трудных, нестандартных заданий, в том числе задач с параметрами, учащимися школ по-прежнему остается актуальным.
