Сравнительный анализ явлений: диффузии и броуновского движения
Скачать презентацию (6.62 МБ)
Тип урока: теоретическое объяснение материала с применением учебного электронного издания, практическое применение знаний в самостоятельном анализе изучаемых физических явлений.
Цели урока:
- дидактическая: создать условия для усвоения нового материала, используя элементы интерактивного курса физики;
- образовательная: сформировать научное представление о явлениях диффузии и броуновского движения;
- развивающая: развивать способности аналитического мышления через анимационные процессы, формировать навыки интерполяции при работе с электронными моделями природных процессов;
- воспитательная: прививать культуру общения с электронными источниками,
- Информацией из интернета, вовлекать учащихся в активный познавательный процесс.
Оборудование для учителя:
- интерактивная доска;
- диск "Открытая физика 1.1";
- модель броуновского движения;
- дезодорант;
- экстракт хвои;
- свинцовые цилиндры;
- дидактические листы.
Сопровождение:электронная презентация к уроку по обозначенной теме.
Домашнее задание:
Параграф 49 (учебник под редакцией В.А. Касьянова - М.: Дрофа, 2011), опорный конспект;
задача (повышенный уровень сложности):
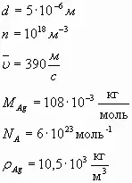
Какое понадобится время, чтобы на поверхность стекла нанести слой серебра толщинойd=5 мкм, используя для этого атомарный пучок с концентрацией атомовn=1018м-3серебра,
движущихся со скоростью
= 0,39
?
Проблемный вопрос: в каком помещении - холодном или теплом, сливки на молоке образуются быстрее?
Выполните опыт, результаты которого могут послужить обоснованием МКТ.
Ход урока
1. Введение.
Вещество имеет дискретную структуру.
О правильности атомно-молекулярного строения вещества свидетельствуют следующие явления:
- Механическое дробление вещества;
- Растворение веществ в воде и растворителях;
- Сжатие и расширение газов;
- Давление газов на стенки сосуда;
- Диффузия; объясняется статистической закономерностью.
- Броуновское движение
- Статистическая закономерность - закон поведения совокупности большого числа частиц.
Диффузия (распространение, растекание - перевод с латинского).
Повторение.
Опр.1. Беспорядочное непрерывное движение частиц называется тепловым движением.
- Особенности теплового движения:
- Хаотичность;
- Непрерывность;
- Неуничтожимость.
Учитель: На основании особенностей теплового движения сформулируйте основные положения МКТ.
Ответ учащихся:
Все тела состоят из частиц;
Частицы движутся непрерывно и хаотично;
Частицы взаимодействуют с силами притяжения и отталкивания, которые проявляются одновременно, в зависимости от расстояния между частицами;
Абсолютная температура тела является мерой средней кинетической энергии движения частиц.
![]()
Т
- уравнение Больцмана, где
- число степеней свободы.
Onр.2.Явление взаимного проникновения молекул одного вещества в межмолекулярное пространство другого вещества, вызванное тепловым движением молекул, называется диффузией.
Опыты:
а) диффузия в газах - дезодорант;
б) диффузия в жидкостях - экстракт хвои в горячей и холодной воде;
в) диффузия в твердых телах - свинцовые цилиндры.
Выводы (формируют учащиеся):
- При диффузии происходит перенос вещества;
- Данное явление объясняется беспорядочным тепловым движением молекул, размер которых: d=10-10м;
- Скорость диффузии зависит от температуры. Чем выше температура, тем быстрее протекает диффузия;
- Скорость диффузии зависит от плотности вещества:
в газах![]()
в жидкости![]()
в твердых телах
I этап: электронная версия.
- Наблюдение явления диффузии с помощью анимации;
- Изменяем начальные условия, интерполируем;
- Ознакомиться с текстом на электронном источнике;
- Ответить на контрольный вопрос, основываясь на результатах интерполяции.
Закрепление.
- Показ слайдов.
- Что общего между склеиванием бумаги и паянием металлических изделий?
- Детский резиновый шар, наполненный водородом, через несколько часов становится слабо надутым. Почему?
3. Броуновское движение
Цитата из поэмы "О природе вещей" Лукреция Кара (99-55 г.г. до н.э.).
"Кроме того, потому обратить тебе надо вниманье
На суматоху в телах, мелькающих в солнечном свете,
Что из нее познаешь ты материи также движенья,
Происходящие в ней постоянно и скрытно от взора
Ибо увидишь ты там, как много пылинок меняют
Путь свой от скрытых толчков и опять отлетают обратно,
Всюду туда и сюда разбегаясь во всех направлениях".
Римский философ и поэт Лукреций Кар обратил внимание на движение пылинок и в данном отрывке знаменитой поэмы "О природе вещей" правильно объяснил природу явления. Если перейти на язык физики, то данный отрывок представляется основными положениями МКТ в современной интерпретации.
Onр. Броуновское движение- это тепловое движение взвешенных частиц в жидкости или газе.
Историческая справка. В 1827 году английский ботаник Броун наблюдал в микроскоп движение цветочной пыльцы, взвешенной в воде. Объяснить увиденное он не смог.
II этап: электронная версия.
- Звуковая интерпретация;
- Ознакомление с текстом;
- Наблюдение за траекторией движения броуновских частиц.
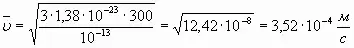
Вычислить среднюю квадратичную скорость броуновской частицы массой m0=10-13кг при Т=300К.
Решение:

![]()
Ответ:
(проверить ответ на электронном источнике).
(
на длине свободного пробега).
Объяснение учителя: Броуновское движение - непрерывное, хаотичное, происходит в следствии того, что молекулы жидкости или газа ударяют взвешенные частицы и эти удары не компенсируют друг друга. Удары - передаваемые импульсы, движение частицы осуществляется в ту сторону, в которую направлено действие нескомпенсированной силы. Траектория движения - ломаная линия.
Выводы: Скорость движения броуновской частицы зависит от:
- температуры жидкости или газа;
- массы частицы, ее размеров: если d?10-6м, то броуновское движение наблюдается.
А. Энштейн разработал количественную теорию броуновского движения, а Перрен (француз) - получил экспериментальное подтверждение теории.
III этап: экспериментальная версия.
- Распределение молекул по скорости (распределение Максвелла);
- Интерполяция и выводы из наблюдаемого.
ИТОГ: диффузия и броуновское движение являются наиболее убедительнымдоказательством правильности молекулярно-кинетической теории строения вещества.
Л. Больцман: "А все-таки они движутся".
Сравнительный анализ диффузии и броуновского движения.
| Сходство | Различие |
|
Подтверждают молекулярное строение вещества;
Это тепловое движение частиц (непрерывность, хаотичность, неуничтожимость); Зависят от температуры; А. смещение броуновской частицы
Б. модуль перемещения молекулы при диффузии за время
Z - число столкновений, испытанных молекулой за время
Вывод: смещение броуновской частицы и перемещение частиц при диффузии от начального положения пропорционально корню квадратному из времени смещения.
Явления происходят при непосредственном контакте частиц веществ. |
При диффузии происходит перенос вещества;
Диффузия наблюдается в твердых, жидких, газообразных веществах, а броуновское движение только в жидкостях и газах; Диффузия - движение самих молекул веществаd=10-10м, а броуновское движение - движение взвешенных частиц, если d?10-6м, то броуновское движение наблюдается,
если d |
Комментарий:учащиеся в ходе дискуссии выявляют характерные признаки сходства и различия явлений броуновского движения и диффузии.
Используя информацию с заполненных дидактических листов, два учащихся на доске оформляют сравнительный анализ в виде таблицы.
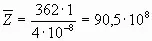
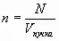
Оценочная задача:
Молекулы углекислого газа при нормальных условиях имеют среднюю длину свободного пробега
м, движутся со средней квадратичной
скоростью 362
. Сколько в среднем столкновений в секунду испытывает каждая молекула?
Решение:
,
- проверка единиц измерений
безразмерная величина
столкновений.
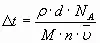
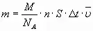
Решение домашней задачи:

?

![]()
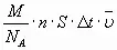
Масса напыленного слоя:
![]()
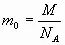
Масса вещества в атомарном пучке:
, где ![]()
![]()
масса одной частицы (атома)
,
748 сек=12 мин 28 сек.
![]()
Ответ (комментированный):для нанесения на стекло слоя серебра толщиной 5 мкм будет затрачено 12 мин 28 сек.
Ответ на проблемный вопрос: "Сливки на молоке отстоятся быстрее в холодном помещении, т.к. скорость диффузии с понижением температуры уменьшается, именно диффузия препятствует отделению сливок от молока.