Занятие по теме "Матричные уравнения. Вычисление обратной матрицы"
Цель: приобретение базовых знаний в области фундаментального раздела математики "Линейная алгебра". Проверка усвоения знаний по вычислению обратной матрицы, нахождению алгебраических дополнений, дополнительного минора, вычислению определителей, решению матричных уравнений.
Задачи:
- развитие творческого профессионального мышления;
- развитие познавательной мотивации;
- овладение языком науки, приобретение навыков оперирования понятиями;
- овладение умениями и навыками постановки и решения задач;
- углубление теоретической и практической подготовки;
- развитие инициативы и самостоятельности студентов;
- формирование общих компетенций:
- организация собственной деятельности, исходя из цели и способов ее достижения, определенных руководителем;
- анализ рабочей ситуации, осуществление текущего и итогового контроля, оценка и коррекция собственной деятельности, ответственность за результаты своей работы;
- осуществление поиска информации, необходимой для эффективного выполнения профессиональных задач;
- использование информационно-коммуникационных технологий в профессиональной деятельности;
- работа в команде, эффективное общение с коллегами, руководством.
Обеспечение практического занятия:
Теоретический материал методической рекомендации к практической работе.
Учебники: Богомолов Н.В. "Математика". - М.: Дрофа, 2009.
Омельченко В.П., Э.В. Курбатова. Математика, - Серия: Среднее профессиональное образование. - Ростов-на-Дону "Феникс",2008-380с.
Индивидуальные карточки с вариантом практической работы.
Структура практического занятия.
1. Организационный этап.
Проверка готовности обучающихся к занятию.
2. Этап подготовки обучающихся к активному усвоению нового материала.
3. Этап усвоения новых знаний.
Формулирование темы занятия, пояснение связи темы с другими темами учебной дисциплины.
Проведение непосредственно занятия согласно тематике и в соответствии с рабочей программой дисциплины:
- Изучение теоретического материала по теме "Матричные уравнения. Вычисление обратной матрицы".
4. Этап проверки понимания обучающимися нового материала.
- Примеры решения типовых заданий.
5. Этап закрепления нового материала.
- Выполнение практической работы по вычислению определителей, выполнению действий над матрицами, решению матричных уравнений.
6. Итоги занятия. Рефлексия.
7. Этап информирования обучающихся о домашнем задании.
Теоретические сведения и методические рекомендации по решению задач.
1. Изложение теоретического материала.
Определение. Квадратная матрица A-1 называется обратной к квадратной матрице A того же порядка, если AA-1 = A-1A = E , где E - единичная матрица.
Утверждение. Квадратная матрица A имеет обратную матрицу тогда и только тогда, когда det A≠ 0 .
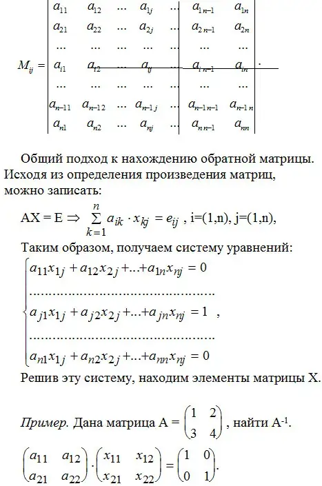
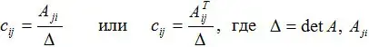
Утверждение. Элементы cij обратной матрицы A-1 , если она существует, можно найти по формуле
- алгебраическое дополнение к элементу aij матрицы A, ATij -
алгебраическое дополнение к элементу aTij транспонированной матрицы AT.
Определение. Алгебраическим дополнение Aij элемента aij называется число, равное Aij = (-1)i+jMij.
Определение. Дополнительным минором Mij элемента aij матрицы Ann называется определитель матрицы n-1-го порядка, полученный из матрицы Ann вычеркиванием i-ой строки и j-го столбца.


Однако, такой способ не удобен при нахождении обратных матриц больших порядков, поэтому обычно применяют следующую формулу:
, где Мji дополнительный минор элемента аji матрицы А.


Значение определителя: -10 + 6 - 40 = -44.
2. Закрепление теоретического материала, решение типовых задач.
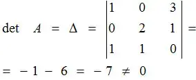
№ 1. Найти матрицу C = A-1 обратную к A, если
.
Решение. Прежде всего вычислим определитель матрицы A, чтобы убедиться в возможности существования обратной матрицы.

![]()
Следовательно, для матрицы A существует обратная матрица.
Воспользуемся формулой, выражающей элементы обратной матрицы через алгебраические дополнения к элементам транспонированной матрицы.
Для AT имеем
.
Вычислим последовательно элементы Cij :


С учетом полученных данных, обратная к A матрица имеет вид 
№ 2. Решить матричное уравнение A · X = B, где 
Решение. Такое матричное уравнение, если определитель матрицы A отличен от нуля, удобно решать путем умножения обеих частей уравнения слева на матрицу A-1 . В этом случае для искомой матрицы получим A-1 · A · X = A-1 · B и поскольку A-1 · A = E, то X = A-1 · B.
Найдем теперь выражение для A-1 . Детерминант Δ матрицы A равен 4. Пользуясь формулами, определяющими элементы обратной матрицы, имеем
.
Учитывая последнее, для X получим:
.
3. Практическая работа обучающихся.
|
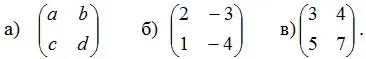
Вариант 1 1. Найти матрицу обратную данной:
|
Вариант 2 1. Найти матрицу обратную данной:
|
4. Подведение итогов практического занятия.
Рефлексия.
О чем сегодня на занятии шла речь?
Что было новым?
С какими трудностями Вы столкнулись?
Контрольные вопросы:
1. Сформулировать свойства определителя.
2. Какую матрицу называют обратной?
3. При каком условии существует обратная матрица?
4. Что называется алгебраическим дополнением матрицы?
5. Что называется минором матрицы?
6. В чем заключается метод построения обратной матрицы с использованием алгебраических дополнений.
5. Домашнее задание.
Учить определения, составить опорную схему конспекта. Выполнить упражнения:
1. Какая из матриц B, C, D является обратной к матрице A, если:

2. При каких λ существует A-1, если:

3. Найти матрицу, обратную данной, если она существует:


