Открытый урок алгебры по теме "Удивительный мир степеней". 7-й класс
Цели урока:
- Обобщение и закрепление знаний и умений учащихся по теме «Степень».
- Воспитание ответственного отношения к коллективной деятельности, высокой познавательной активности и самостоятельности.
Эпиграф урока:
«Пусть кто-нибудь попробует вычеркнуть из математики степени, и он увидит, что без них далеко не уедешь». (М.В. Ломоносов.)
Ход урока:
- На предыдущих уроках вы уже открыли для себя удивительный мир степеней. Многие ученые во все времена занимались вопросами их изучения. Это знаменитый Пифагор, Р.Декарт (который первым ввел обозначение степени). Но, я хочу обратить ваше внимание на слова М.В. Ломоносова, которые будет эпиграфом нашего урока.
- Целью нашего урока является:
- Обобщение и закрепление знаний и умений учащихся по теме «Степень».
- Воспитание ответственного отношения к коллективной деятельности, высокой познавательной активности и самостоятельности.
- Сегодня на уроке мы разделились на две команды. Для чего мы это сделали? А вот для чего! Для того, чтобы увидеть на сколько у вас развито чувство коллективизма, ответственное отношение к коллективной деятельности.
- Приступаем к работе.
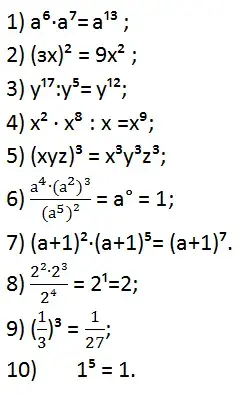
1 этап: «Устный счет»
У вас на столах лежат конверты с номером 1, в них задания для устного счета. Вы открываете конверт, приступаете к выполнению. После того как выполнили, капитан команды называет ответы, а мы все
вместе будем проверять. Каждое задание оценивается в 1 балл.
1 команда:


2 этап: «Математический марафон»
Каждый из участников команды имеет право выполнить только одно действие в задании, затем его сменяет следующий и так далее, пока задание не будет выполнено до конца. В этом этапе каждое задание оценивается в 2 балла.
1 команда.

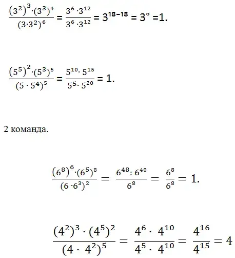
3 этап: «Найди ошибку»
У вас на столах конверты с номером 2. Вы достаете задание и ваша задача состоит в том, чтобы в заданиях найти ошибки и исправить их. После этого капитан исправляет их на доске. Каждое задание
оценивается в 3 балла.
1 команда.
2 команда.
4 этап: «Заполни пропуски».
У вас на столах лежат конверты с номером 3. В каждом конверте наличие заданий по количеству участников в команде. Ваша задача взять себе задание и заполнить в нем пропуски. Каждое задание
оценивается в 4 балла.
1 команда.

5 этап: «Помощь капитана».
На столах у вас лежат конверты с номером 4. В них лежат задания на всех участников команды, кроме капитанов. Ваша задача взять себе задание и выполнить его, а задача капитана помочь участникам
команд. Каждое задание оценивается в 5 баллов.
1 команда.

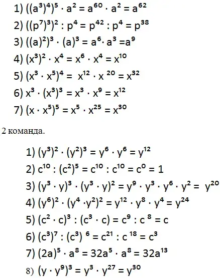
6 этап: «Вычисли».
В конверте под номером 7 находятся задания. Ваша задача вычислить их. Каждое правильно сделанное задание оценивается в 6 баллов.
1 команда.

7. Итог урока.
Наш путь подошел к концу, мы успешно преодолели все препятствия и достигли конечного пункта. Сегодня мы с вами закрепили знания по теме «Степень».(Повторение правила). (Выставление оценок).