Урок физики "Радиоактивность. Радиоактивные превращения". 11-й класс
Скачать презентацию (129.72 МБ)
Тип урока: урок изучения нового материала
Цели урока: ввести и закрепить понятия радиоактивности, альфа-, бета-, гамма-излучения и периода полураспада; изучить правило смещения и закон радиоактивного распада.
Задачи урока:
а) образовательные задачи - объяснить и закрепить новый материал, познакомить с историей открытия явления радиоактивности;
б) развивающие задачи - активизировать мыслительную деятельность учащихся на уроке, реализовать успешное овладение новым материалом, развивать речь, умение делать выводы;
в) воспитательные задачи - заинтересовать и увлечь темой урока, создать личную ситуацию успеха, вести коллективный поиск по сбору материала о радиации, создать условия для развития у школьников умения структурировать информацию.
Ход урока
Учитель:
- Ребята, предлагаю вам выполнить следующее задание. Найдите в списке слова, обозначающие явления: ион, атом, протон, электризация, нейтрон, проводник, напряжённость, электричество, диэлектрик, электроскоп, заземление, поле, оптика, линза, сопротивление, напряжение, вольтметр, амперметр, заряд, мощность, освещение, радиоактивность, магнит, генератор, телеграф, компас, намагничивание. Слайд №1.
- Дайте определения этим явлениям. Для какого явления мы ещё не можем дать определение? Правильно, для радиоактивности. Слайд №2.
- Ребята, тема нашего занятия - радиоактивность.
- На предыдущем уроке некоторые учащиеся получили задание - подготовить сообщения по биографиям ученых: Анри Беккереля, Пьера Кюри, Марии Склодовской-Кюри, Эрнеста Резерфорда. Ребята, как вы думаете, случайно ли именно об этих ученых сегодня должна пойти речь? Может, кто-то из вас уже что-то знает о судьбе и научных достижениях этих людей?
Дети предлагают свои варианты ответов.
- Молодцы, вы очень хорошо осведомлены! А теперь давайте послушаем материал докладчиков.
Дети рассказывают об ученых (Приложение №1 о А.Беккереле, Приложение №2 о М.Склодовской-Кюри, Приложение
№3 о П.Кюри) и показывают слайды № 3 (о А.Беккереле), № 4 (о М.Склодовской-Кюри), №5 (о П.Кюри).
Учитель:
- Сто лет назад, в феврале 1896г, французский физик Анри Беккерель обнаружил самопроизвольное излучение солей урана 238U, однако он не понимал природы этого излучения.
В 1898г супруги Пьер и Мария Кюри открыли новые, ранее неизвестные элементы - полоний 209Po и радий 226Ra, у которых излучение, аналогичное излучению урана, было значительно более сильным. Радий - редкий элемент; чтобы получить 1 грамм чистого радия, надо переработать не менее 5 тонн урановой руды; его радиоактивность в несколько миллионов раз выше радиоактивности урана. Слайд №6.
- Самопроизвольное излучение некоторых химических элементов было названо по предложению П.Кюри радиоактивностью, от латинского radio «излучать». Неустойчивые ядра превращаются в устойчивые. Слайд №7.
- Химические элементы с номера 83 являются радиоактивными, то есть самопроизвольно излучают, причем, степень излучения не зависит от того, в состав какого соединения они входят. Слайд №8.
- Изучением природы радиоактивного излучения занимался великий физик начала 20 века Эрнест Резерфорд. Ребята, давайте прослушаем сообщение о биографии Э.Резерфорда. Приложение №4, Слайд №9.
- Что же представляет из себя радиоактивное излучение? Предлагаю вам самостоятельную работу с текстом: стр. 222 учебника Ф-11 Л.Э.Генденштейна и Ю.И.Дика.
- Ребята, ответьте на вопросы:
1. Что представляют собой α-лучи? (α-лучи - это поток частиц, представляющих собой ядра гелия.)
2. Что представляют собой β-лучи? (β-лучи - это поток электронов, скорость которых близка к скорости света в вакууме.)
3. Что представляет собой γ-излучение? (γ-излучение - это электромагнитное излучение, частота которого превышает частоты рентгеновского излучения.)
- Итак (Слайд №10), в 1899 г Эрнест Резерфорд обнаружил неоднородность излучения. Исследуя излучение радия в магнитном поле, он обнаружил, что поток радиоактивного излучения имеет сложную структуру: состоит из трех самостоятельных потоков, названных α-, β- и γ-лучами. При дальнейших исследованиях оказалось, что α-лучи представляют из себя потоки ядер атомов гелия, β-лучи - потоки быстрых электронов, а γ-лучи есть электромагнитные волны с малой длиной волны.
- Но эти потоки различались еще и своими проникающими способностями. Слайды №11,12.
- Превращение атомных ядер часто сопровождается испусканием α-, β-лучей. Если одним из продуктов радиоактивного превращения является ядро атома гелия, то такую реакцию называют α-распадом, если же - электрон, то β-распадом.
Эти два распада подчиняются правилам смещения, которые впервые сформулировал английский ученый Ф.Содди. Давайте посмотрим, как выглядят эти реакции.
Слайды №13 и №14 соответственно:
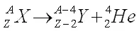
1. При α-распаде ядро теряет положительный заряд 2e и его масса убывает на 4 а.е.м. В результате α-распада элемент смещается на две клетки к началу периодической системы Менделеева:
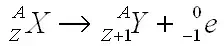
2. При β-распаде из ядра вылетает электрон, что увеличивает заряд ядра на 1е, масса же остается почти неизменной. В результате β-распада элемент смещается на одну клетку к концу периодической таблицы Менделеева.
![]()
- Кроме альфа- и бета-распадов радиоактивность сопровождается гамма-излучением. При этом из ядра вылетает фотон. Слайд №15.
3. γ-излучение - не сопровождается изменением заряда; масса же ядра меняется ничтожно мало.
- Давайте попробуем решить задачи на написание ядерных реакций: №20.10; №20.12; №20.13 из сборника заданий и самостоятельных работ Л.А.Кирика, Ю.И. Дика.
- Ядра, которые возникли в результате радиоактивного распада, в свою очередь также могут быть радиоактивны. Возникает цепочка радиоактивных превращений. Ядра, связанные с этой цепочкой, образуют
радиоактивный ряд или радиоактивное семейство. В природе существует три радиоактивных семейства: урана, тория и актиния. Семейство урана заканчивается свинцом. Измеряя количество свинца в урановой
руде, можно определить возраст этой руды.
- Резерфорд опытным путём установил, что активность радиоактивных веществ убывает с течением времени. Для каждого радиоактивного вещества существует интервал времени, на протяжении которого активность убывает в 2 раза. Это время называется периодом полураспада Т.
- Как же выглядит закон радиоактивного распада? Слайд №16.
- Закон радиоактивного распада установлен Ф. Содди. По формуле находят число не распавшихся атомов в любой момент времени. Пусть в начальный момент времени число радиоактивных атомов N0. По истечении периода полураспада их будет N0/2. Спустя t = nT их останется N0/2п.
- Период полураспада - основная величина, определяющая скорость радиоактивного распада. Чем меньше период полураспада, тем меньше времени живут атомы, тем быстрее происходит распад. Для разных веществ период полураспада имеет разные значения. Слайд №17.
- Одинаково опасными являются как быстро, так и медленно распадающиеся ядра. Быстро распадающиеся ядра интенсивно излучают за малый промежуток времени, а медленно распадающиеся ядра радиоактивны на большом интервале времени. С различными уровнями радиации человечество встречается как в естественных условиях, так и в искусственно созданных обстоятельствах. Слайд № 18.
- Радиоактивность имеет как отрицательное, так и положительное значение для всего живого на планете Земля. Ребята, давайте посмотрим маленький кинофрагмент о значении радиации для жизни. Слайд №19.
- И в заключение нашего урока давайте решим задачу на нахождение периода полураспада. Слайд №20.
Домашнее задание:
- §31 по учебнику Генденштейна Л.Э и Дика Ю.И., ф-11;
- с/р №21 (н.у.), с/р №22 (н.у.) по сборнику задач Кирика Л.А. и Дика Ю.И., ф-11.
Методическое обеспечение
1. Л.А.Кирик, Ю.И. Дик, Методические материалы, Физика - 11, издательство «ИЛЕКСА»;
2. Э.Генденштейн, Ю.И. Дик, Физика - 11, издательство «ИЛЕКСА;
3. Л.А.Кирик, Ю.И. Дик, Сборник заданий и самостоятельных работ для 11 класса, издательство «ИЛЕКСА»;
4. Компакт-диск с электронным приложением «ИЛЕКСА», издательство «ИЛЕКСА».
Приложения
- pril.7z (129.72 МБ)
- pril1.docx (496.33 КБ)
- pril2.docx (754.88 КБ)
- pril3.docx (569.88 КБ)
- pril4.docx (593.36 КБ)