Урок геометрии на тему "Решение задач на применение признаков подобия треугольников"
Цели урока: закрепить изученный материал в ходе решения задач, проверить знания, умения и навыки решения задач с помощью признаков подобия треугольников.
Ход урока
1. Организационный момент.
Сообщить тему урока, сформулировать цели урока.
2. Проверка домашнего задания.
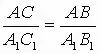
№ 613 (а) (по готовому чертежу проверить решение).
Решение
|
|
1)
поэтому |
2)
А =
А1.
3)
АВС ![]()
А1В1С1 по второму признаку подобия треугольников.
№ 613 (б).
Решение
|
|
1) Имеем 2) По условию |
3)
АВС ![]()
А1В1С1 по второму признаку подобия треугольников.
3. Проверка усвоения изученного материала.
1) Проверить знания признаков подобия треугольников (один человек - у доски и можно три человека с листочками - за первыми партами).
2) Устная работа с классом:
1. Контрольные вопросы 1-7 на стр.160.
4. Решение задач.
№ 554 (устно).
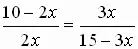
№ 555 (а).
|
|
1) Пусть х - коэффициент пропорциональности, тогда MN = АР = 3х, а АМ = NP = 2х. 2) |
Имеем:
;
;
150 -30х -30х + 6х2 = 6х2; х = 2,5.
MN = AC = 3 · 2,5 = 7,5 (см), АМ = NP = 2 · 2,5 = 5 (см).
№ 562 (без записи в тетрадь по готовому чертежу).
|
|
1) Пусть NF = FK = MK = MN = х. 2) 3) воспользоваться решением задачи № 543, то есть утверждением: в подобных треугольниках сходственные стороны пропорциональны сходственным высотам. |
4) Имеем
;
; hx = ah - ax,
x =
.
5. Самостоятельная работа (проверочная).
Вариант I
-
Высота CD прямоугольного треугольника АВС делит гипотенузу АВ на части АD = 16см и ВD = 9см. Докажите, что
АСD 
CВD и найдите высоту СD. -
Точки М и N лежат на сторонах АС и ВС треугольника АВС соответственно, АС = 16см, ВС = 12см, СМ = 12см, СN = 9см. Докажите, что MN || ВС.
Вариант II
-
Высота CD прямоугольного треугольника АВС отсекает от гипотенузы АВ, равной 9см, отрезок АD, равный 4см. Докажите, что
АВС
АCD и найдите АС. -
Диагонали АС и ВD четырехугольника АВСD пересекаются в точке О, АО = 18см, ОВ = 15см, ОС = 12см, ОD = 10см. Докажите, что АВСD - трапеция.
Вариант III
(для более подготовленных учащихся)
-
Диагональ АC трапеции АВСD (АВ || СD) делит ее на два подобных треугольника. Найдите SАВCD, если АВ = 25 см, ВС = 20см, АС = 15см.
-
Угол В треугольника АВС в два раза больше угла А. Биссектриса угла В делит сторону АС на части АD = 6 см и СD = 3см. Найдите стороны треугольника АВС.
6. Итоги урока.
7. Домашнее задание: подготовиться к контрольной работе; №№ 555(б), 605; вопросы 1-7, с. 160.
Для желающих: №№ 611, 563.

.
.
, поэтому
.
