Решение текстовых задач. 9-й класс
Цели урока:
- Совершенствование навыков решения текстовых задач.
- Продолжить формирование знаний учащихся по решению систем уравнений с двумя неизвестными.
- Развитие математической грамотности.
Ход урока
1. Актуализация знаний учащихся (5 минут).
Устный счет:
1. Найдите решение системы уравнений:
![]()
Ответы: 1) (1;3); 2) (0;3); 3) (1;2); 4) (2;1).
2. Выразите из уравнения 3х + 2у = 5 переменную х через переменную у.
Ответы:
1) ![]()
2) ![]()
3) х = 3(5 - 2у);
4) х = 3(5 + 2у).
2. Объяснение нового материала (8 минут).
Алгоритм решения задач на движение и на производительность:
- Ввести неизвестные величины.
- Составить краткую запись задачи в таблице (скорость, путь, время) или (производительность, работа, время).
- Исходя из условия задачи, составить систему двух уравнений с двумя неизвестными.
- Решить систему уравнений, исключив те корни, которые не подходят по условию задачи.
- Записать ответ по вопросу задачи.
Задача №475.
Расстояние между двумя пристанями 60 км. Теплоход проходит это расстояние по течению и против течения за 5,5 часов. Найдите скорость теплохода в стоячей воде и скорость течения, если одна из них больше другой на 20 км/ч.
Краткая запись: пусть скорость теплохода х км/ч, а скорость течения реки у км/ч, тогда
| Скорость, км/ч | Путь, км | Время, ч | |
| По течению | х + у | 60 | 60/(х + у) |
| Против течения | х - у | 60 | 60/(х - у) |
Зная, что теплоход проходит это расстояние по течению и против течения реки за 5,5 часов и скорость катера больше скорости течения реки, составим систему двух уравнений с двумя неизвестными:

Ответ: 22 км/ч - скорость теплохода, 2 км/ч - скорость течения реки.
3. Решение задач (30 минут).
Задача №478.
Фермер отправился на машине в город, находящийся на расстоянии 110 км от фермы. Через 20 минут из города на ферму выехал его сын, который проезжал в час на 5 км больше. Встреча произошла в 50 км от города. С какой скоростью ехал фермер?
Краткая запись: пусть скорость фермера х км/ч, а скорость сына у, тогда
| Скорость, км/ч | Путь, км | Время, ч | |
| Фермер | х | 110 - 50 = 60 | 60/х |
| Сын | у | 50 | 50/у |
Зная, что встреча произошла в 50 км от города, и сын выехал на 20 минут позже, составим систему уравнений с двумя неизвестными:

Второе решение не подходит по условию задачи.
Ответ: 45 км/ч скорость фермера.
Задача №494.
Расстояние в 360 км легковой автомобиль прошел на 2 часа быстрее, чем грузовой. Если скорость каждого автомобиля увеличить на 30 км/ч, то грузовой затратит на весь путь на 1 час больше, чем легковой. Найдите скорость каждого автомобиля.
Краткая запись: пусть скорость легкового автомобиля х км/ч, а скорость грузового у км/ч, тогда:
1 случай
| Скорость, км/ч | Путь, км | Время, ч | |
| Легковой | х | 360 | 360/х |
| Грузовой | у | 360 | 360/у |
2 случай
| Скорость, км/ч | Путь, км | Время, ч | |
| Легковой | х + 30 | 360 | 360/(х + 30) |
| Грузовой | у + 30 | 360 | 360/(у + 30) |
Зная, что в первом случае легковой автомобиль приезжает на 2 часа раньше, а во втором на 1 час раньше, составим систему уравнений с двумя переменными:

Ответ: 90 км/ч скорость легкового автомобиля, 60 км/ч скорость грузового автомобиля.
Задача №489.
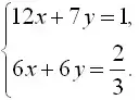
Бассейн наполнится. Если первую трубу открыть на 12 минут, а вторую - на 7 минут. Если же обе трубы открыть на 6 минут. То наполнится 2/3 бассейна. За сколько минут наполнится бассейн, если открыть только вторую трубу?
Краткая запись: пусть весь объем воды в бассейне равен 1, производительность 1 трубы х , а второй - у, тогда:
1 случай
| Производительность | Работа | Время, мин | |
| 1 труба | х | 12х | 12 |
| 2 труба | у | 7у |
2 случай
| Производительность | Работа | Время, мин | |
| 1 труба | х | 6х | 6 |
| 2 труба | у | 6у | 6 |
Зная, что в первом случае бассейн наполнится полностью, а во втором только 2/3, составим систему двух уравнений с двумя неизвестными.
Ответ: за 15 минут вторая труба заполнит весь бассейн.

Задача №492.
Двое рабочих могут выполнить задание за 12 дней. Если сначала один из них сделает половину всей работы, а потом остальное сделает другой, то им потребуется 25 дней. За сколько дней каждый рабочий, работая один, может выполнить задание?
Краткая запись: пусть производительность 1 рабочего х, а второго у, тогда:
| Производительность | Работа | Время | |
| 1 рабочий | х | 1/2 | 1/2х |
| 2 рабочий | у | 1/2 | 1/2у |
Зная, что вместе они сделают работу за 12 дней, а работая по очереди и выполнив по половине работы, им потребуется 25 дней, составим систему уравнений с двумя неизвестными:

Ответ: один рабочий выполнит всю работу за 30 дней, а другой за 20 дней.
4. Подведение итогов урока (2 минуты).
Домашнее задание: п. 22, №476, 479, 491.
Используемая литература:
- Учебник «Алгебра 9», автор Макарычев Ю.Н., Миндюк Н.Г., Нешков К.И., Феоктистов И.Е.