Косинус и синус суммы и разности аргументов
Скачать презентацию (782.85 КБ)
Цели урока:
- Разработать и закрепить вывод формул для косинуса и синуса суммы и разности аргументов;
- Способствовать формированию умений в применении нового и ранее изученного материала, при выполнении различных преобразований тригонометрических выражений;
- Воспитание навыков самоконтроля и взаимоконтроля.
Оборудование: компьютер, проектор, экран, доска, мел, указка.
ХОД УРОКА
1. Организационный момент - 1 мин.
2. Устная работа - 3 мин. (Слайды 3-5)
2.1.Упростить:

2.2. Вычислите:
![]()
б) cos 60o + 2sin 30o + 1/2 tg260o - ctg 45o
2.3. Выразите тригонометрические функции через тригонометрические функции положительных углов меньших 90o:
sin100o; cos70o; tg165o; cos(-215o); sin(-70o); tg (-130o)
3. Изучение нового материала - 13 мин. (Приложение 1)
3.1. Рассмотрим ∆АВС (рис 1. Cлайд 6), ∟А = α;|AC| = b; |AB | = c, тогда S∆ABC = 1/2bc sinα
3.2. Рассмотрим произвольный ∆АВС (рис. 2, слайд 7)
Проведем высоту AD; обозначим ∟BAD = α, ∟DАC = β; |AB| = c, |AC| = b
S∆ADB = 1/2 ch sinα
S∆ADC = 1/2 bh sinβ
S∆ABC = S∆ADC + S∆ADB, где S∆ABC = 1/2 bс sin (α + β)
получим: 1/2 bс sin (α + β) = 1/2 сh sinα + 1/2 bh sinβ, или bc sin(α + β) = ch sinα + bh sinβ
разделим обе части равенства на bc:
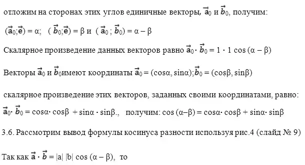
sin (α + β) = h/b sinα + h/c sin β, т.к. h/b = cosβ, h/c = cosα; то sin(α + β) = sinα · cosβ + cosα · sinβ
3.3. Заменив β на - β получим: sin(α - β) = sinα · cosβ - cosα · sinβ
3.4. Формула косинуса суммы аргументов может быть выведена из полученной:
cos (α + β)= sin (90o - (α + β)) = sin ((90o - α) - β) = sin (90o - α) sinβ - cos (90o - α) sinβ = cosα · cosβ - sinα · sinβ
3.5. Используя скалярное произведение векторов, введем формулу косинуса разности аргументов (рис. 3 слайд №8)
В плоскости XOY с единичным вектором возьмем угол ( [0A) [0x)) = α и ( [0С) [0у) ) = β
![]()
4. Закрепление нового материала - 20 мин.
4.1. Работа у доски - 10 мин.
а) Вычислите:
cos 75o = (cos 45o + 30o) = cos 45o · cos30o - sin 45o · sin 30o =
б) Доказать, что:
sin (
+ х) = - sinx
cos (+ х) = - cosx
Решение:
sin (
+ х) = sin
· cosx + cos
· sinx = 0 · cosx + (- 1) · sinx = - sinx
cos (+ х) = cos
· cosx + sin
· sinx = (- 1) · cosx - 0 · sinx = - cosx
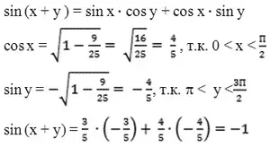
в) Вычислите: sin (x + y), если известно, что
sin x = 3/5, 0 < x <
/2 ; cos y = - 3/5,
< y < 3
/2
Решение:
Oтвет: -1
4.2. Самостоятельная работа по вариантам - 10 мин. (Приложение 2; слайд 10)
5. Практическое применение теорем сложения - (Приложение 3)
Задача №1 (рис.5 слайд № 11)
На практике часто приходиться двухфазный или трехфазный ток направлять в один проводник. При этом возникает, как показал опыт, "суммарный" переменный ток, мгновенная сила которого равна сумме
мгновенных сил слагаемых токов. Точную величину амплитуды "суммарного" тока, его частоту и фазу смещения не найти, не рассмотрев предварительно свойств тригонометрических функций, связанных со
сложением аргументов.
При частоте гармонического тока ν = 50 Гц его круговая частота равна 2
ν, т.е. 314 1/с. Если данный процесс происходит в единой ветви, то
результирующий ток, например в фазе
, будет складываться из токов: i1, i2, i3.
Задача №2 (рис. 6 слайд № 12)
При переходе светового луча из одной среды в другую происходит его преломление (рис.5), т.е. отклонение от первоначального направления, причем коэффициент преломления равен отношению sin
α1' sin α2 , где α1 - угол падения луча на границу сред, α2 - угол отклонения.При конструировании оптических приборов приходится решать задачи подобные
следующей: как надо направить луч на границу двух сред, чтобы угол падения луча превышал угол преломления на данную величину?
Если коэффициент преломления равен n, а угол падения больше угла преломления на αо, то отыскание искомого угла падения х сводится к решению уравнения sinx/sin(x - α) = n , которые нельзя
решить без знания теорем сложения.
6.Домашнее задание - 1 мин. (Слайд 13)
Учебник А.Г. Мордкович: § 21 стр. 107 - 111
7. Подведение итогов урока - 2 мин.
- Какую тему изучили на уроке?
- Результаты самостоятельной работы (решение и ответы заранее подготовлены).
- Комментирование и выставление оценок.
