Интегрированный урок (математика + информатика) по теме "Решение квадратных уравнений". 8-й класс
Цели урока.
Образовательные:
- обобщить и систематизировать знания учащихся по теме "Решение квадратных уравнений";
- закрепить умения и навыки решения квадратных уравнений разными методами;
- закрепить практические умения учащихся в программировании и работе на координатной плоскости.
Развивающие:
- содействовать быстрой актуализации и практическому применению ранее полученных знаний, умений и способов действий в нестандартной ситуации;
- создать условия для развития логического мышления, математической речи;
- содействовать развитию у учащихся умений осуществлять самоконтроль, самооценку и самокоррекцию учебной деятельности.
- расширить знания учащихся используя межпредметные связи.
Воспитательные:
- помочь самореализоваться личности в процессе создания проектов из различных предметных областей.
Оборудование: экран, проектор, компьютер, презентация к уроку, карточка в форме звездочек с домашними заданиями, карточки-задания рабочим группам для самостоятельной работы. Программное обеспечение: Qbasic - язык программирования, офисное приложение - PowerPoint, графические редакторы Paint, Adobe Photoshop, интернет, "Координатная плоскость из пакета прикладных программ "Страна Фантазия". На классной доске размещены плакаты с изображением планет солнечной системы.
Технология: традиционная и личностно-ориентированная педагогическая технология в сочетании с элементами проектной деятельности.
Ход урока
I. Актуализация. Постановка целей и задач урока.
1. Какое уравнение можно решить извлечением квадратного корня?
| Р | 3x2 - 4x - 5 = 0 |
| Г | X2 = 5 |
| А | 7x2 + 14x = 0 |
| И | X2 + 5x + 4 = 0 |
| А | 2x2 - 11x + 5 = 0 |
| Г | X2 + 4x + 4 = 0 |
| Н | X2 - 4 = 0 |
2. Какое уравнение решается вынесением общего множителя за скобки?
3. Какое уравнение можно решить, представляя в виде квадратного двучлена?
4. В каком уравнении надо применять общую формулу корней?
5. Какое уравнение решается по формуле используя четный второй коэффициент?
6. Какое уравнение удобно решать по теореме Виета?
7.Какое уравнение можно решать разложением разности квадратов?
После ответов учащихся должно получиться слово ГАГАРИН.
Ребята, 50 лет тому назад, когда вас еще не было на свете, впервые в истории человечества на специальном летательном корабле поднялся в космос наш соотечественник Юрий Алексеевич Гагарин. 2011 год считается юбилейным и поэтому объявлен годом космонавтики. И как вы уже наверное поняли: целью нашего урока является закрепление темы "Решений квадратных уравнений разными способами". А так как урок представляет собой интеграцию математики и информатики, свяжем свои умения в вычислениях с умениями работать с вычислительной техникой, коммуникационными технологиями. А в целом посвятим урок юбилейному событию. Давайте послушаем маленькое информационное сообщение о первом космонавте.
(Можно предоставить слово учащемуся с презентационным сообщением на 3-4 слайда)
II. Практическое занятие. Работа в группах.
Задание: Представим, что мы все работники Научно-исследовательского института космонавтики и полетов. Сейчас предлагается поделиться на группы-отделы и получить алгоритмы работ.
Будем работать по такой схеме:

Рис. 1
Алгоритм выполнения работы Проектной группы (распределители работ):
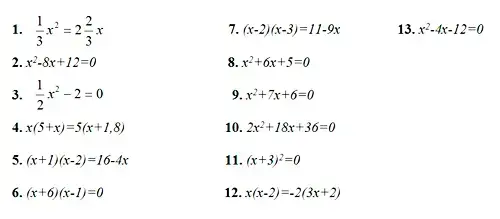
Из предложенного набора уравнений выбрать:
- решаемые методом вынесения общего множителя за скобки;
- решаемые методом извлечения квадратного корня;
- по первой формуле корней;
- по второй формуле корней.

Рис. 2
Алгоритм выполнения работы Расчетной группы.
1. Группа должна поделиться на подгруппы для решения уравнений, которые им представит проектная группа.
2. Первая подгруппа решает уравнения по методам (а) и (б).
3. Вторая подгруппа решает уравнения по методу (в) и (г).
4. Полученные корни уравнений следует записать в виде координат точек.
Например: если корни х1=3, х2=-2, то координату надо записать в виде (-2;3), то есть первая координата по модулю должна быть меньше или равна второй;
5. Решенные уравнения передать в отдел Контроля качества.
Алгоритм выполнения работы отдела Контроль качества.
1 Отдел занимается проверкой ответов решенных уравнений и записи координат.
2. Передает проверенные данные в Конструкторский отдел.
Алгоритм выполнения работы Конструкторского отдела:
- Загрузить на компьютере пакет прикладных программ "Страна Фантазия", "Координатная плоскость-2".
- После загрузки программы нажать <F9> - перейти на лист 2.
- отметить на координатной плоскости точки, полученные из отдела Контроль качества.
- По окончании работы нажать клавишу <F1> (Должна получиться ракета).
После правильного выполнения задания должно получиться приблизительно так:

Рис.3
(Можно использовать другой прикладной пакет в котором можно наносить координаты и залить полученную замкнутую поверхность)
Алгоритм выполнения работы группы программистов.
- Загрузить на компьютере Qbasic.
- По полученной картинке составить программу "Ракета".
- Цвет фона и изображения выберите самостоятельно.

Рис. 4
Вспомогательная информация
Таблица соответствия номеров и цветов.

Рис. 5
Некоторые операторы:
SCREEN 9 - перевод экрана в графический режим:
WINDOW (0,0) - (640,350) - перевод начало координат в левый нижний угол монитора;
PSET (X,Y), C - вывод на экран точки с координатами (X,Y) цветом С;
LINE (X1,Y1) - (X2,Y2), C - рисует на экране отрезок от точки с координатами (X1,Y1) до точки с координатами (X2,Y2) цветом С;
PAINT (X,Y), CF, CK - (X,Y) - координаты любой точки, находящейся внутри замкнутой области; CF - цвет, в который будет закрашена замкнутая область; CK - цвет линий, образующий контур;
LINE (X1,Y1) - (X2,Y2), C, В - выводит на экран прямоугольник.
На уроке создается эвристичесий момент как результат создание программы. Все рабочие группы видят на экране готовый продукт в виде Ракеты. Сложность выполнения работы заключается в том, что все зависит от правильности выбора координат, особенно при закрашивании замкнутых поверхностей.
После правильного выполнения задания должно получиться приблизительно так:

Рис. 6
Алгоритм выполнения работы Центра управления полетом.
- Загрузить на компьютере офисное приложение Power Point.
- При помощи любого графического редактора, имеющегося на компьютере, осуществить обрезку фотографий всех участников урока, желательно в форме окружности.
- Оформить слайд в виде звездного неба.
- Вставить картинку ракеты (нарисовать самому, изготовить при помощи автофигур панели Рисования, использовать Интернет ресурсы).
- Вставить звук взлетающей ракеты.
- При помощи настроек анимации, осуществить эффект взлета ракеты по нажатию кнопки.
- После проведения Викторины, вставить обрезанную фотографию победителя.
- Осуществить запуск Ракеты.
Учитывая возрастные особенности класса учителем создается сюрпризный момент. Который является успешным итогом урока. После проведение викторины и определения лидера урока. Завершающий этап работы Центра управления полетом может выглядеть как на данных скриншотах.

Рис. 7

Рис. 8
III. Физминутка.
IV. Интеллектуальная викторина.
И так ребята, наши ракеты сконструированы и построены. Остается их только запустить и передать работу специалистам Центра управления полетом. Чтобы запустить ракету, нам необходим опытный экипаж, во главе которого должен быть самый интеллектуально развитый капитан. Для отбора достойного кандидата проведем отборочный тур - Викторину. Участвуют все. За каждый правильный ответ участник получает жетон. Набравший наибольшее количество жетонов, имеет право называться командиром экипажа и вылететь на построенной ракете в космос.
Вопросы викторины:
1. Генеральный Конструктор ракетных систем?
Сергей Павлович Королев
2. Основоположник космонавтики и ракетостроения?
Константин Эдуардович Циолковский
3. Первый космонавт Земли, совершивший полет в неведомый космос?
Юрий Алексеевич Гагарин
4. Первая в мире женщина-космонавт?
Валентина Владимировна Терешкова
5. Первое живое существо, побывавшее в космосе?
Собака Лайка
6. Главный космодром, с которого стартовали первые космические корабли?
Байконур
7. Человек, который испытывает космическую технику?
Космонавт
8. Когда мы отмечаем день космонавтики?
12 апреля
9. Спутник Земли, обращенный к ней одной и той же стороной?
Луна
10. Название первого космического корабля?
Восток
V. Подведение итогов.
Работа отборочного тура завершена, определен победитель. И в данный момент завершается работа Центра управления полетами. Космонавт занимает свое место в кабине. Идет отсчет времени нажимается кнопка "Пуск". Ура! Ракета уносится в звездное небо.
Учитель оценивает деятельность всего класса и отдельных учащихся. Элементы эвристики, сюрпризный момент, а так же визуальное восприятие результата своей деятельности при решении квадратных уравнений, ответов на вопросы викторины, групповая работа, создают ситуацию успеха на уроке, т.е. стимулируют активность учащихся.
VI. Информация о домашнем задании и особенностях его выполнения.
- П.24. учебника Ю.Н.Макарычев.
- Выполнить полученные индивидуальные задания (задания записаны на листочках в форме звездочек).