Открытый урок по теме "Аркфункции". 10-й класс
Скачать презентацию (390.66 КБ)
Цели урока:
- Определить аркфункции и их значение в решении тригонометрических уравнений.
- Повторить тригонометр в его новой интерпретации.
- Закрепить табличные значения аркфункций.
- Приступить к решению простейших тригонометрических уравнений.
- Подвести итоги.
Ход урока
(По ходу урока используется GeoGebra. Скачать ее можно по ссылке www.geogebra.org/cms/ru/installers Программа бесплатна. Рисунки для этого урока находятся в Приложении.)
I. Вводная часть.
(По ходу объяснения показывается презентация).
На протяжении всего школьного курса математики мы рассматривали прямые и обратные действия над числами. Например, действие, обратное сложению – есть вычитание; действие, обратное умножению – есть деление; действие, обратное возведению в степень – есть извлечение корня.
Обратные действия, как правило более сложные и приводят к конфликтным ситуациям из-за невозможности их выполнить в рамках того множества чисел, которое изучается на данный момент. Например, в начальной школе мы решаем примеры и задачи на множестве натуральных чисел. Сложение возможно с любой парой натуральных чисел, а обратное действие – вычитание невозможно, если уменьшаемое меньше вычитаемого. Учитель в начальной школе говорит, что нельзя от 1 вычесть 3. С умножением-делением такая же картина. Выполнить умножение можно с любой парой натуральных чисел, а вот с делением большие проблемы: нельзя поделить 5 на 2; 1 на 3. Делимое не только должно быть больше или равно делителю, но и поделится нацело!
В 6 классе происходит уточнение: вас не то, чтобы обманывали, говоря о невозможности таких действий, а о невозможности таких действий в рамках натуральных чисел. От 1 отнять 3 нельзя во множестве натуральных чисел, а во множестве целых чисел можно!, это будет -2. 1 можно поделить на 3, но уже во множестве рациональных чисел, будет1/3.
Расширение понятия числа дает нам возможность развиваться, решая все более сложные задачи. В 8 классе мы приходим к понятию иррационального числа.
При решении уравнения
![]()
возникает необходимость нового математического действия, которое по квадрату числа определяло бы его основание. Это действие мы назвали извлечением квадратного корня, которое не всегда возможно в рамках рациональных чисел, но всегда возможно в рамках действительных чисел.
Сегодня мы находимся в похожей ситуации. Мы научились выполнять новые математические действия над числами: находить синус, косинус, тангенс и котангенс действительного числа, а в некоторых ситуациях и выполнять обратное действие: находить числа по значению их синуса, косинуса, тангенса или котангенса.
Например, если
![]()
то вы можете найти чему равен х. Сможете определить х и в следующем уравнении:
![]()
А в уравнении
![]()
определить x без нового знания будет трудновато, хотя по всему видно, что такие числа существуют!
II. Новый материал.
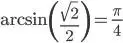
Арксинус.
Возьмем функцию синус, графиком которой является синусоида. (В геогебре строю график, ребята делают чертеж в тетрадях). Как вы помните, функция является кусочно-монотонной, а значит обратимой только на промежутках монотонности. Принято брать промежуток от минус пи/пополам до пи/пополам, где функция пробегает все свои значения от -1 до 1. (Выделяю на графике кусок синусоиды). Найдем обратную функцию. Для этого во-первых, вспомним, что при обращении область определения и область значений меняются местами.
На обычной доске:(разделив доску пополам):
| функция возрастающая | функция возрастающая |
| функция нечетная | функция нечетная |
| функция непрерывная | функция непрерывная |
График функции y=arcsinx будет симметричен графику y=sinx относительно прямой y=x. В геогебре строю график y=arcsinx.

Определение арксинуса.
Поскольку нахождение арксинуса это новое математическое действие над числами, дающее число, то мы должны дать четкое определение этому действию. Итак, (на доске и в тетрадях)
![]()
![]()
В геогебре строю полуокружность арксинусов, отрабатываем табличные значения.

Прописываем в тетрадях:
Учим наизусть!
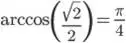
Арккосинус.
Возьмем функцию y=cosx и выполним аналогичные действия.
В геогебре строим график функции y=cosx. На промежутке от 0 до пи функция монотонная, убывающая, пробегает все свои значения от-1 до 1, обратимая. Назовем обратную функцию y= arccosx.
Ее основные свойства:
| функция убывающая |
| функция не является ни четной ни нечетной |
| функция непрерывная |
График функции:

Строим в тетрадях и в геогебре.
Определение арккосинуса.
![]()
![]()
На тригонометре (в геогебре) берем полуокружность арккосинусов, отрабатываем табличные значения.

|
|
|
|
|
|
|
|
|
|
|
|
|
|
|
Учим наизусть!
Упражнения.
Упражнения на закрепление табличных значений арксинуса и арккосинуса. По задачнику №21.15-21.19 по 1-2 примера.
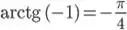
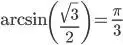
Арктангенс.
Рассматриваем функцию y=tgx. На промежутке от минус пи/2 до пи/2 она является монотонной, значит обратимой. Назовем обратную функцию y=arctgx.
| функция возрастающая |
| функция нечетна |
| функция непрерывная |
График функции:

Строим в тетрадях и в геогебре.
Определение арктангенса.
![]()
![]()
На тригонометре отрабатываем табличные значения арктангенса:

Учим наизусть!
Арккотангенс.
Функцию y=ctgx обратим на промежутке от 0 до пи. Назовем обратную функцию y=arcctgx.
| функция убывающая |
| функция не является ни четной ни нечетной |
| функция непрерывная |
График функции (в геогебре и в тетрадях).

Определение.
![]()
![]()
На тригонометре отрабатываем табличные значения арккатангенса:

Учим наизусть!
Закрепление нового материала, упражнения по учебнику: №21.33-21.36 по 1-2 примера из каждого номера.
III. Релаксация.
Использование ресурсов ЦОР: school-collection.edu.ru/catalog/rubr/ef89b829-d575-4668-84e3-20f8abf11bcf/112987/?interface=pupil&class=53&subject=17
IV. Домашнее задание.
§21, выучить определения аркфункций, табличные значения;
№21.15-21.19; 21.33-21.36 (остальные примеры).