Игра "Морской бой" по теме "Производная"
Цели урока:
Образовательные:
- систематизировать знания учащихся по изученной теме;
- закрепить умения учащихся применять производную к решению задач.
Развивающая: развивать у учащихся логическое мышление, память, внимание.
Воспитательная: воспитание ответственного отношения к учебному труду, умения работать в группе.
Цель игры: найти и уничтожить корабли на игровом поле.
Оборудование: два листа расчерченного ватмана, набор чистых карточек, закрывающих игровое поле, два уменьшенных варианта игрового поля и карточки с заданиями. Второй вариант карточки приведен как задание повышенной сложности.
Игровой лист.

Ребята делятся на 2 команды по 8-10 человек в команде. На каждую команду заранее подготавливается расчерченный лист, в котором располагают "корабли" так, чтобы они не касались друг друга даже углами. В предложенном варианте "четырехклеточный", два "трехклеточных", три "двухклеточных" и четыре "одноклеточных" "корабля". В области, ограниченной клетками А1-Е6 располагается хотя бы 3 "корабля". Листы закрепляются на доске.
Структура урока:
- Организационный момент, объяснение правил. 3 мин.
- Первый этап. "Разведка". 3 мин.
- Второй этап. "Бой". 25-30 мин.
- Третий этап. "Новая стратегия". 5 мин.
- Четвертый этап. "Последний удар". 3 мин
- Подведение итогов.2 мин.
Правила игры.
Ребята делятся на 2 команды по 8-10 человек в команде. На доске перед каждой командой вывешивается расчерченный лист ватмана, игровое поле закрывается чистыми карточками.
Первый этап. "Разведка". Ребятам выдается на 3 минуты карточки с заданиями. Необходимо найти рисунок, полностью совпадающий с образцом. Рисунки нумеруются справа налево. При правильном ответе открывается соответствующая клетка игрового поля.
Второй этап. "Бой". Команда называет номер клетки своего игрового поля, которую хотела бы открыть и получает задание. Время выполнения задания ограничено 1-10 минутами. При правильном его выполнении соответствующая клетка открывается, при неверном - блокируется. У команды есть 8 "выстрелов". Заблокированные клетки открыть нельзя. Если на заблокированной клетке находиться "корабль" или его часть, то "корабль" считается "потерянным", указать на него нельзя, даже если его расположение вычислено. Время раунда ограничено.
Третий этап. "Новая стратегия". Из каждой команды выделяется 1-3 человека. За отведенное время они должны по полученным данным вычислить расположение "кораблей". Им выдается уменьшенный вариант игрового поля, в котором отмечено количество элементов "кораблей", находящихся в каждом столбце и строке. В это время проводится игра с остальными членами команды . Учитель зачитывает в течении 2-х минут вопросы. Учитывается первый прозвучавший ответ. Правильный ответ на 2 вопроса дает возможность открыть любую заблокированную клетку.
Четвертый этап. "Последний удар". Команда объединяется и указывает местоположение всех открытых или вычисленных "кораблей". Если какой-то из "кораблей" или его часть остались заблокированы, то назвать его (их) нельзя.
Подведение итогов. Выигрывает команда, указавшая наибольшее число очков.
"Четырехклеточный корабль" - 4 очка;
"Трехклеточный корабль" - 3 очка;
"двухклеточный корабль" - 2 очка;
"Одноклеточный корабль" - 1 очко;
максимальное количество - 20 очков.
Ход игры
Первый этап. "Разведка". Ребятам выдается на 3 минуты карточки с заданиями (Приложение 1). Необходимо найти рисунок, полностью совпадающий с образцом. Рисунки нумеруются справа налево. При правильном ответе открывается соответствующая клетка игрового поля. Ответы В3 (кленовый лист) и А4 (настольная лампа).
Второй этап. "Бой". Команда называет номер клетки своего игрового поля, которую хотела бы открыть и получает задание. Время выполнения задания ограничено 1}-10 минутами. Время раунда ограничено.
Карточка № 1. Разгадайте ребус. (Приложение 2)
Карточка № 2. Соедините соответствующие элементы столбцов

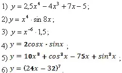
Карточка № 3. (Вариант 1.) Найти производные следующих функций:

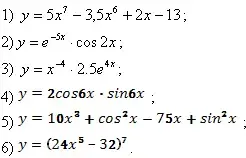
(Вариант 2.) Найти производные следующих функций:

Карточка № 4. (Вариант1.) При каких значениях параметра а функция f(x) = 3ax² + 9ax - 2 убывает на всей числовой оси?
(Вариант 2.) Для произвольной точки графика функции
рассмотрим сумму расстояний от этой точки до осей координат. При каких
значениях х эта сумма принимает наименьшее значение.
Карточка № 5. Подчеркните ошибки в нахождении уравнения касательной к графику функции у = 1/х в точке х0 = 4
Решение:
Так как у'=1/х2 , то у'(4) = 0,0625 и у(4) = 0,25. Подставим найденные значения в формулу:
у = f(х0) - f'(х0)(x - х0). Получаем у = 0,25 - 0,0625(х - 4) или у = -0,0625х + 0,5
Карточка № 6. Разбейте графики функций на пары "функция - ее производная.

Карточка № 7. Функция определена на интервале(-4; 6). На рисунке изображены графики производной функции. Найдите число промежутков, на которых функция y = f(x) возрастает и укажите число точек максимума функции для каждого рисунка.

Карточка № 8. (Вариант 1.) Для монтажа оборудования необходима подставка объемом 162 дм в форме прямоугольного параллелепипеда. Квадратное основание подставки будет вмонтировано в пол, а ее задняя стенка - в стену цеха. Для соединения подставки по ребрам, не вмонтированным в пол или стену используется сварка. Определите размеры подставки, при которых общая длина сварочного шва будет наименьшей.
Ответы: 6 × 6 × 4,5.
(Вариант 2.) Требуется разметить на земле участок площадью 3400 м который состоит из трех прямоугольных частей и имеет форму многоугольника АВСDFGНМ, изображенного на рисунке, где ВС = 20м, СD = 15м,GН = З, HM 40 м. Найдите наименьшее значение параметра такого участка и какие-либо значения длин АК, АL и НМ, при которых периметр является наименьшим.
Ответ: 280. 70. 70. 40

Третий раунд. "Новая стратегия". Из каждой команды выделяется 1-3 человека. За отведенное время они должны по полученным данным вычислить расположение "кораблей". В это время проводится игра с остальными членами команды . Учитель зачитывает в течении 2-х минут вопросы. Учитывается первый прозвучавший ответ. Правильный ответ на 2 вопроса дает возможность открыть любую заблокированную клетку.
Вопросы для первой команды:
- Процесс нахождения производной называется…(дифференцированием).
- Термин "производная" ввел…(Луи Арбогаст).
- Производная функции sinx равна…
- Сколько десятков в тысяче?
- Кто автор первой печатной работы по дифференциальному исчислению? (Лейбниц)
- Производная функции f в точке х0 это число или функция? (Число.)
- Производная функции tgx равна…
- Горело 7 свечей, три погасли. Сколько осталось? (3)
- Внутренние точки области определения функции, в которых производная равна нулю называются… (стационарными).
- Верно ли, что производная произведения равна произведению производных? (Нет.)
- Производная от координаты по времени это … (скорость).
- Назовите производную от числа 892 (0)
Вопросы для второй команды:
- Кто ввел обозначения f'(x)? (Лейбниц)
- Производная функции cosx равна…
- Дифференцирование - это процесс … (нахождения производной).
- Производная функции ctgx равна…
- Назовите наименьшее натуральное число.
- Назовите производную от числа 657 (0).
- Что легче6 килограмм пуха или килограмм железа? (9).
- В каком веке была опубликована первая печатная работа по дифференциальному исчислению? (17 век.)
- Производная и дифференциал - это тождественные понятия. (Нет.)
- Внутренние точки области определения функции, в которых функция непрерывна, а производная не существует называются… (критические).
- Производная суммы равна … (сумме производных).
- Производная от скорости по времени… (ускорение).
Четвертый этап. "Последний удар". Команда объединяется и указывает местоположение всех открытых или вычисленных кораблей. Если какой-то из кораблей или его часть остались заблокированы, то назвать его (их) нельзя.
Подведение итогов. Выигрывает команда, указавшая наибольшее число очков.
"Трехклеточный корабль" - 3 очка;
"Двухклеточный корабль" - 2 очка;
"Одноклеточный корабль" - 1 очко;
максимальное количество - 10 очков.
- Алтынова М.В. Конспект урока по математике на тему: "Наибольшее и наименьшее значение функции" / https://urok.1sept.ru/
- Справочник практического психолога. Психодиагностика/ под общ. ред. С.Т. Посоховой. - М.: АСТ; СПб.: Сова, 2006.