Математическая игра-занятие "Арифметические действия на множестве комплексных чисел"
Цели и задачи:
- Повторить с учащимися правила сложения, вычитания, умножения и деления.
- Проконтролировать умение учащихся применять их при решении заданий.
- Показать связь математики с другими предметами.
- Развивать интерес и любовь к математике.
Форма занятия: Игра в сказку.
Ход занятия:
- Организационный момент - 1 минута.
- Сказка - 24 минуты.
- Самостоятельная работа - 13 минут.
- Подведение итогов - 2 минуты.
Оформление доски.
Тема: "Арифметические действия на множестве комплексных чисел".
Устный счет:

Ход занятия:
Организационный момент.
Здравствуйте ребята, сегодня мы с вами продолжаем работу по теме: "Арифметические действия на множестве комплексных чисел", а поможет нам в этом сказка, автора которой попробуем определить, расшифровав числовой ребус. Для этого нам необходимо вычислить примеры (устно), записанные на доске, и ответ каждого примера соответствует букве, а номер - номеру буквы в слове, которое нам надо расшифровать.
Е 1) -(-3,5 + 4,8i) - 3,5 = 3,5 - 4,8i - 3,5 = -4,8i
Как называется это число? - Мнимое (при решении объясните всё подробно, чтобы все кто присутствует на уроке, смогли понять эту тему и в конце вместе с вами смогли решить самостоятельную работу).
Р 2) -4i + 13 - 8i-27 = -14 -12i
Ш 3) 8i(1,5 - 1/8i) = 12i + 1
Почему получилось 1, а не -1?
О 4) 1,7/9i + 2,6/7 - (-3 + 1,7/9i)=1,7/9i + 2,6/7 + 3 - 1,7/9i = 5,6/7
В 5) ? - 5/6i - (3/4 - 5/6i) = ? - 5/6i - ? + 5/6i = 0.
И что у нас получилось? - Ершов.
Это знаменитая сказка Ершова, может кто-нибудь помнит её название?
Правильно, " Конёк-горбунок".
Это присказка, а сказка? Сказка будет впереди.
" За горами, за лесами,
За широкими морями,
Не на небе, на земле
Жил старик в одном селе.
У старинушки три сына:
Старший умный был детина,
Средний сын и так, и сяк,
Младший вовсе был дурак.
Братья сеяли пшеницу.
Да возили в град столицу:
Знать столица та была,
Недалече от села".
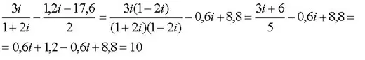
Давайте узнаем, на каком расстоянии находилось село от города?
-2(3 i-1,5) -12(17/3i - 5/2) - (15 - 74i) = -6i + 3 - 68i + 30 - 15 + 74i = 18 км.
А теперь вернёмся к сказке:
"Там пшеницу продавали,
Деньги счётом принимали,
И с набитою сумой
Возвратилися домой.
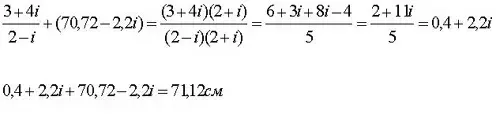
А сколько золотых монет они привозили домой, мы узнаем, вычислив задание.
(-3 + 4i)(2 - I) + 2i(-43i - 5,5) = -6 + 3i + 8i + 4 + 86 -11i = 84 монеты.
"В долгом времени аль вскоре
Приключилося им горе
Кто-то в поле стал ходить.
И пшеницу шевелить.
…Ночь настала, месяц всходит
Поле всё Иван обходит…
Вдруг о полночь конь заржал…
Караульщик наш привстал,
Посмотрел под рукавицу
И увидел кобылицу.
Ну, Иван ему сказала,
Коль умел ты усидеть,
Так тебе мной и владеть.
По исходе же трех дней
Двух рожу тебе коней-
Да таких, каких поныне
Не бывало и поныне:
Да еще рожу конька
Ростом только в три вершка,
На спине с двумя горбами
Да с аршинными ушами".
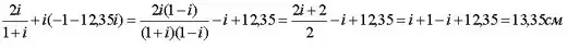
Давайте, вычислим рост конька в три вершка:
Вычислим чему равняется один вершок:
13,35/3 = 4,45 см
Вершок- русская единица длины - ширина ладони на уровне пальцев.
И длину его ушей:

Уши приблизительно в пять раз длиннее самого конька.
Аршин - расстояние от кисти руки до плеча. У каждого человека был свой аршин. Позже был введён "казённый аршин" Петром I.
" Но теперь мы их оставим,
Снова сказкой позабавим.
Словом: наша речь о том,
Как Ваня сделался царём.
Что, Иванушка, не весел?
Что головушку повесил?
Говорит ему конёк.
Помоги мне, горбунок!
Видишь, вздумал царь жениться,
Знать на тоненькой царице,
Так и шлет на окиян,
Говорит коньку Иван.
- Подъезжая к окияну,
Говорит конек Ивану:
… Мы приедем на поляну
Прямо к морю-окияну;
Поперек его лежит
Чудо - юдо рыба - кит".
Давайте, вычислим, сколько лет лежит чудо-юдо рыба-кит.

"Десять лет уж он страдает,
А доселева не знает,
Чем прощенье получит".
"…он за то несет мученье,
Что без божия веленья
Проглотил среди людей
Очень много кораблей".
Нам остается узнать, сколько кораблей необходимо выпустить в море, чтобы получить свободу.

"Пал Иван к коньку на шею,
Обнимал и целовал.
Ох, беда, конек! - сказал
Царь вконец меня сбывает;
Сам подумай, заставляет
Искупаться мне в котлах
В молоке и в двух водах.
…Там котлы уже кипели;
Подле них рядком сидели
Кучера и повара,
И служители двора;
Дров усердно прибавляли,
Об Иване толковали
"Ну, Ванюша, раздевайся,
И в котлах, брат, покупайся!"
Я предлагаю каждому из вас также окунуться в котлы проверки знаний, которые лежат на краю ваших парт и продемонстрировать свои знания. Желаю, чтобы каждый из вас сделал эту работу на отлично.
Самостоятельная работа.
![]()
Вот и сказочке конец, а кто слушал - молодец!