Решение задач с параметрами в курсе алгебры. 7–9-е классы
Анализируя экзаменационные работы по математике, приходишь к выводу, что за курс математики в общеобразовательной школе учащимися должны быть отработаны умения решения задач с параметрами. Кроме непосредственной подготовки учащихся к экзаменам по данному разделу математики (решение задач с параметрами), главная его задача - поднять на более высокий уровень изучение математики в школе, следующий за развитием умений и навыков решения определенного набора стандартных задач. Ибо, решение задач с параметрами требует наличия определенного уровня математической культуры, навыков обобщения и разделения задачи на элементарные, аргументирования и обоснования своих действий, рассуждения на отвлеченном уровне, т.е. навыков проведения логических операций.
Знакомить учащихся с заданиями с параметрами следует, начиная с 7 класса, постепенно включая их в список задач к общему курсу.
- В 7 классе представляется возможным вводить решение линейных уравнений с параметрами и простейших систем линейных уравнений с параметрами.
- В курсе 8 класса следует разобрать способы решения некоторых типов уравнений второй степени с параметрами.
- В 9 классе - рассмотреть расположение корней квадратного трехчлена в зависимости от параметра и решение связанных с этим вопросом системы заданий.
В курсе алгебры 7 класса в параграфе "Линейное уравнение с одной переменной" следует разобрать решение уравнения ах = в с неизвестным х как уравнение параметрами а и в. Здесь учащихся следует познакомить с понятием "параметры" (те переменные а, в, с, :, которые при решении уравнения считаются постоянными, или те коэффициенты, которые заданы не конкретными числами, а обозначены буквами).
На уроках обобщения, следующих за этим параграфом возможно разобрать решение линейного уравнения ах + в = с с неизвестным х и параметрами а, в, с.
В течение учебного года можно предлагать для решения задания следующего типа.
1. Решить уравнение с неизвестным х. (Решить уравнение с параметрами - значит указать при каких значениях параметров существуют решения и каковы они.)
1) рх =10; 7) ах - 3 = 2х + 5; 2) ах +7=8; 8) 3х + 4 = ах - 8; 3) вх - а = вх; 9) рх - 3 = 3х - р; 4) 3 - вх = 14; 10) к - 5х = -5 + кх; 5) ах + 3 = 3; 11) (а - 1)х + 2 = а + 1; 6) 2ах - 4 = 0; 12) ах + 2х + 3 = 1 - х; 13) а2(х - 5)=25(х - а).
Знакомить учащихся с решением систем линейных уравнений с параметрами следует начинать после изучения параграфа "Системы линейных уравнений с двумя переменными", котором разбирается графический способ решения систем линейных уравнений.
Предлагаются следующие задания.
Подобрать значения параметров а и в, чтобы:
а) система имела единственное решение;
б) система не имела решений
1)
2)
3)
4)
5) ![]()
Работая с последней системой, следует подробнее разобрать ответы на поставленные вопросы.
Решение. 1) если
, то система примет вид
если
т.е.
система имеет единственное решение;
если
=
и
т.е.
и
система не имеет решения;
2) если
система примет вид
и имеет единственное решение.
Ответ: если
система имеет единственное решение;
если
,
, то система не имеет решения.
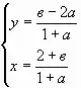
Решите систему уравнений с параметрами к и р, если
:
1)
2) ![]()
Решение первой системы получается из знания взаимного расположения графиков линейных функций ( Ответ: (0;3)), решение второй системы предполагает умение решать системы линейных уравнений аналитическим методом.
![]()
Ответ: (1;3)
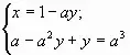
При всех значениях параметра а решить систему уравнений 
Решение.

1) если
, т.е.
, то данная система равносильна 
2) если а=1, то система имеет вид![]()
х=1 - у
3) если а= - 1, то система равносильна уравнению х=1+у.
Ответ: при
(1+а2; -а)
при а=1 (1-у; у)
при а=-1 (1+у; у)
Решите систему уравнений с двумя неизвестными х и у:
1)
Ответ: если b
а, то (-ab; b+a); если b=a, то
(a2-ay; y).
2)
Ответ: если b
?, то x=1 y=b;если b=?,то x=2-3y, y- любое
.
3)
Ответ: при
, то х=а-1, у=а;
при а=1, то х - любое число, у=1-х;
при а=-1, то х - любое число, у=1+х.
Задачи с параметрами для решения в 8 классе предполагают знания по теме "Квадратные уравнения", "Дробные рациональные уравнения", "Неравенства".
Задачи с параметрами, дополняющие список задач из учебника к теме "Квадратные уравнения".
Найдите к и второй корень уравнения:
х2 - 5х + к = 0, если х1=5;
х2 +кх - 15=0, если х1=3.
Найдите все числа р и с такие, что корни уравнения х2 + рх + с =0, равны р и с.
При каких а уравнение (1+а)х2+3ах - 1=0 имеет единственное решение?
Решите уравнение ах2=1.
Задания с параметрами, предлагаемые для выполнения после изучения темы "Неравенства".
1. Найдите все значения параметра а, для которых квадратное уравнение (а+1)х2 + 2(а+1)х+а-2=0 а) имеет два различных корня;
б) не имеет корней;
в) имеет два равных корня.
2. При всех а решите уравнение ах2 - 2х + 4= 0.
3. Решите уравнение ах2 + 2х + 1 = 0.
4. Найдите все значения параметра а, для которых уравнение 4х2 - 2х + а =0
а) имеет два различных корня;
б) не имеет корней.
5. Найдите все значения параметра а, для которых уравнение имеет единственный корень
а) ах2 - (2а+6)х + 3а + 3 = 0;
б) ах2 + (4а+2)х + 3а + 3/2 = 0.
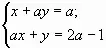
После изучения главы I "Рациональные дроби" можно предлагать учащимся решать более сложные системы линейных уравнений с параметрами.
1. При всех значениях параметров а и в решить систему
1)
2)
3)
4)
5)
6)![]()
Решение 1 системы.
![]()
если
,
, то
;![]()
если 1+а=0, а = -1, то
, чтобы система имела решение, необходимо,
чтобы в = -2, тогда
, если
, то решений нет.
Ответ: если
, то (
;
)
если а = -1, в = -2, то (2+у; у)
если а = -1 , в
-2, то решений нет.
В 9 классе представляется целесообразным после изучения главы I "Квадратичная функция" вернуться к решению уравнений второй степени с параметрами, предлагая учащимся для решения задания следующего типа.
1. Решите квадратные уравнения.
1) 2х2 - (а - 1)х + а + 1 = 0;
2) ах2 + (а + 1)х +а2 +а = 0;
3) ах2 + 2х(а + 1) + а +3 = 0;
4) (а - 2)х2 + ах + 1 = 0;
5) х2 - ах +2а + 4 = 0;
6) (а + 1)х2 - х + (1 - а) = 0.
2. Найдите все значения а, при которых уравнение имеет хотя бы один корень.
1) х2 - 2(а - 1)х + 2а + 1 = 0;
2) (а - 2)х2 - 2ах + 2а - 3 = 0.
3. Найдите все значения а, при которых сумма квадратов корней уравнения х2 - ах + а + 7 = 0 равна 10.
Решение. Так как D
0, a2-4(a+7)?0,
. Если а
такое, что найдутся корни х1 и х2, то х1+х2=а и х1х2=а+7.
х12+х22=(х1+х2)2 - 2х1х2=а2 - 2(а+7).
Решим уравнение а2 - 2а - 14=10, а=6, а = -4, т.к. 6 не принадлежит найденному множеству значений а, то а = -4. Ответ: а = -4.
4. Найдите все значения в, при которых уравнение имеет два различных корня.
1) (в - 1)х2 + 2х
+ 1 = 0;
2) вх2 - 2х
- 2 = 0.
В конце учебного года в 9 классе на уроках "Повторение:" нужно познакомить учащихся с графическим методом решения уравнений 2-ой степени с параметрами, научить распознавать положение параболы на плоскости в зависимости от коэффициентов.
Для этого необходимо напомнить:
прямая х= - в/(2а) - ось параболы, х0= - в/(2а) - первая координата вершины параболы;
Знак коэффициента а показывает направление ветвей параболы;
Дискриминант D=b2 - 4ac определяет, пересекается ли парабола с осью Ох.
Указанные свойства парабол позволяют получить следующие факты, касающиеся расположения корней квадратного трехчлена на числовой оси.
1. Корни квадратного трехчлена х1 и х2 (f(х) = ах2+вх+с) будут строго меньше числа М, если выполняются следующие условия (очевидные, благодаря рисунку).




2. Если М I R, то х1< М < х2, в том и только в том случае, когда а*f(М) < 0.
a<0, f(M) >0
a>0, f(M) <0.
3. Оба корня х1 и х2 квадратного трехчлена f(х)=ах2+вх+с принадлежат интервалу(М;N), если и только если выполняются условия:




Задания, соответствующие другим случаям расположения корней квадратного трехчлена (оба корня больше некоторого числа М; если отрезок [М; N] целиком лежит на интервале (х1;х2) и другие) решаются, следуя аналогичным требованиям, проиллюстрированным на рисунке, который отвечает конкретному заданию.
1. При каких значениях а оба корня уравнения х2 - 6ах + 2 - 2а + 9а2= 0 больше трех?


![]()
.
2. При каких значениях а оба корня уравнения х2 - ах +2 = 0 лежат на интервале (0;3)?

![]()

Ответ:
.
3. При каких значениях а один корень уравнения ах2 +х +1 = 0 больше 2, а другой меньше 2?
Ответ:
.
4. При каких значениях m оба корня уравнения (m+2)х2 - 2mх +3m = 0 положительны?
Ответ: -3
m < -2.
5. Найдите все значения а, при которых один из корней многочлена (а2+а+1)х2+(а -1)х +а2 больше 3, а другой меньше 3.
f(3)*a<0?, т.е.(10a2+12a+6) * (а2+а+1)<0.
Ответ: решений нет.![]()
6. При каких значениях а один корень уравнения (а2+а+1)х2 +(2а - 3)х +(а - 5) = 0 больше 1, а другой меньше 1?
Ответ:
.
7. При каких значениях а оба корня уравнения х2 +4ах + (1-2а+4а2) = 0 меньше -1?
Ответ: a>1.
8. Существуют ли такие а, что корни уравнения х2+2х+а=0 различны и лежат между числами -1 и 1?
Ответ: таких а не существует.
9. При каких значениях а оба корня уравнения (2 - а)х2 - 3ах +2а = 0 больше 1/2?
Ответ:
.
10. При каких значениях а оба корня уравнения ах2 - (а+1)х +2 = 0 по модулю меньше 1?




Ответ:
.
11. Найдите все значения а, при которых уравнение 4х2 - 2х + а = 0 имеет два корня, каждый из которых принадлежит интервалу (-1;1).
Ответ:
.
12. Найдите все значения а, при которых корни уравнения х2 - 2ах + а2 - 1 = 0 заключены между числами 2 и 4.
Литература.
- Д.К. Фадеев и др. "Задачи по алгебре для 6-8 классов", М., Просвещение, 1988
- В.В. Ткачук "Математика - абитуриенту", МЦНМО, ТЕИС, 1996
- С.А.Шестаков, Е.В.Юрченко "Уравнения с параметрами", СЛОГ, 1993
- Г.Я. Ястребинецкий "Задачи с параметрами", М., Просвещение, 1986
- В.В. Вавилов и др. "Задачи по математике. Алгебра", М., Наука, 1987
- Н.Я. Виленкин и др." Алгебра 8", М., Просвещение, 1995
- Л.И. Звавич др. "Задания для проведения письменного экзамена по математике в 9 классе", М., Просвещение, 1994
- В.В. Мочалов, В.В. Сильвестров "Уравнения и неравенства с параметрами", Чебоксары, Издательство Чувашского университета,2000
- А.Х. Шахмейстер "Уравнения и неравенства с параметрами",С.-Петербург, Москва, 2006