Свойства степени с рациональным показателем
Скачать презентацию (612.86 КБ)
Цель урока: Повторить определение степени с рациональным показателем и свойства степени с рациональным показателем
Форма урока: урок-практикум.
Методы: наглядно-иллюстративный; самостоятельная работа с последующей проверкой.
Средства: компьютер; презентация Power Point; интерактивная доска; дидактический материал для домашней работы (тест).
Используемые технологии:
- информационно-компьютерная технология с использованием презентации к уроку;
- информационно-компьютерная технология с использованием интерактивной доски.
Ход урока
1. Организационный момент.
2. Актуализация целей урока.
Цель нашего урока - повторить определение и свойства степени с рациональным показателем, применение свойств при решении упражнений.
3. Вспомним теорию. [Приложение 1]
1) Определение. Арифметическим корнем n-й степени (n
N, n
2) из неотрицательного числа a называется такое неотрицательное число, n - я степень которого равна а.
![]()
![]()
![]()
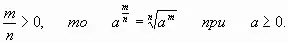
2) Определение. Степень с рациональным показателем
![]()
Если
![]()
3) Свойства степени с рациональным показателем:
При a > 0, b > 0, p и q - рациональные числа:
а) ![]()
б )![]()
в) ![]()
г) ![]()
д)
.
4. Тренировочные упражнения.
1) Базовый уровень.
№1. Вычислить.
![]()
Ответ. -26,5.
№2. Найдите значение выражения.
![]()
Ответ. -2.
№3. Упростите выражение.
![]()
Ответ. 1.
№4. Найдите значение выражения.

Ответ. 4.
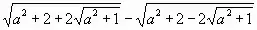
№5. Упростить выражение
![]()
Ответ.
.
1) Повышенный уровень.
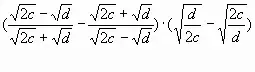
№6. Упростить выражение
![]()
Ответ. 2.
Указание. Преобразовать подкоренные выражения, воспользоваться формулами сокращённого умножения (квадрат суммы и квадрат разности).
5. Задания для самостоятельной работы с последующей проверкой.
Вычислить:
1)
;
2)
;
3)
;
4)
;
5)
;
Упростить:
6)
;
7)
.
Проверка.
1) ![]()
;
2) ![]()

3) ![]()
![]()
4) ![]()
![]()
5) ![]()
![]()
Указание. Использовать формулу разности кубов
;
6) ![]()
;
7) 

6. Подведение итогов урока.
Повторение изученных свойств, выставление оценок.
7. Задание на дом.
Тренировочный тест 3.1. [приложение 2. Тест по теме "Свойства степени с рациональным показателем"из журнала "Математика. Первое сентября" № 19 2008 г.
Используемый учебно-методический комплект:
- Алгебра и начала анализа. Учебник для 10-11 классов общеобразовательных учреждений. А.Н. Колмогоров, А.М. Абрамов, Ю.П. Дудницын и др.
- Москва. "Просвещение" 2010 г.
- Журнал "Математика. Первое сентября" № 19 2008 г., "Подготовка к ЕГЭ".
- Сборники для подготовки к ЕГЭ по математике.
- Интернет-ресурс. Сайт http://www.mathege.ru. Открытый банк задач по математике.