Открытый урок "Повторение. Алгебра. 11-й класс. Решение текстовых задач"
Цель урока : повторить основные методы решения задач, остановиться на нестандартных способах решения, обратить внимание на межпредметные связи, используемые при решении задач.
Ход урока:
1. Проверка домашней работы.
2. Устная работа.
3. Решение задач.
4. Задание на дом.
1. Проверка домашней работы.
На доске один из учеников записывает решение № 13.342 (Сканави). В это время проводится устная работа.
2. Устная работа.
2.1. Выберите верный ответ.
Автомобиль ехал первую половину пути со скоростью 100 км/ч, а вторую половину - со скоростью 90 км/ч. Найдите среднюю скорость автомобиля на всём пути.
а) 95 км/ч б) 90 км/ч в) 10 км/ч г) 190 км/ч д) приведённые варианты неверны.

Вопрос: Как можно переформулировать задачу, чтобы один из предложенных вариантов а), б), в), г) являлся ответом?
( Половину времени, затраченного на весь путь, автомобиль ехал со скоростью 100 км/ч, а затем со скоростью 90 км/ч.) Найти среднюю скорость движения.
![]()
2.2. Решите задачу.
Расстояние от А до В 18 км. Из пункта А вышел пешеход со скоростью 4 км/ч. Навстречу ему из пункта В вышел другой пешеход со скоростью 5 км/ч. С одним из пешеходов выбежала собака, которая бежит до встречи с другим пешеходом и поворачивает обратно до встречи с первым пешеходом и т.д., пока пешеходы не встретятся. Найти путь, который пробегает собака до встречи пешеходов, если скорость собаки 8 км/ч.
Рисунок 3.
![]()
3. Решение задач.
3.1. Пешеход, велосипедист и мотоциклист движутся по шоссе в одну сторону с постоянными скоростями. В тот момент, когда пешеход и велосипедист находились в одной точке, мотоциклист был на расстоянии 6 км позади них. В тот момент, когда мотоциклист догнал велосипедиста, пешеход отставал от них на 3 км. На сколько километров велосипедист обогнал пешехода в момент, когда мотоциклист догнал пешехода?
Решение.
I способ(графический, используется подобие треугольников).


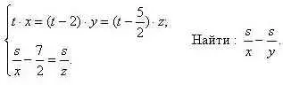
3.2. Составить и решить по данному условию задачу. Известно, что x,y,z,t,s>0 и

(Например. Из пункта А в пункт В выехали три велосипедиста, причём второй выехал на 2 часа позже первого, а третий выехал на 5/2 ч позже первого. Через некоторое время после выезда первого из пункта А они встретились. На сколько позже в пункт В приехал первый велосипедист, чем второй, если известно, что третий приехал раньше второго на 3,5 часа?)
Решение.

3.3. Точка А перемещается по оси Ох, а точка В - по оси Оу. Абсцисса точки А изменяется по закону
, а
ордината точки В изменяется по закону
, где
Найдите
наименьшее значение площади треугольника АВС, где С (0;3).
Решение.
![]()


3.4. По шоссе со скоростью 16 м/с движется автобус. Человек находится на расстоянии 50 м от шоссе и 400 м от автобуса. В каком направлении нужно бежать человеку со скоростью 4 м/c, чтобы выйти на шоссе и не опоздать на автобус?
Решение.

Пусть в момент, когда человек начинает бежать к шоссе, он находится в точке В, а автобус - в точке А. В точке D- кратчайшее расстояние от точки В до шоссе. Точка С - место выхода человека на шоссе.

4. Задание на дом.
Сканави : № 13.348; 13.349; 13.350;13.351.