Методы решения иррациональных уравнений
Я бы почувствовал настоящее
удовлетворение лишь в том случае,
если бы смог передать ученику гибкость ума,
которая дала бы ему в дальнейшем
возможность самостоятельно решать задачи.
У.У.Сойер.
Определение. Уравнение с одной переменной
называют иррациональным, если хотя бы одна из функций
или
содержит переменную под знаком радикала.
При решении иррациональных уравнений необходимо установить область допустимых значений переменных, исходя из условия, что все радикалы, входящие в уравнение, должны быть арифметическими.
1. Метод пристального взгляда
Этот метод основан на следующем теоретическом положении: "Если функция
возрастает в области определения и число
входит в множество значений, то уравнение
имеет единственное решение."
Для реализации метода, основанного на этом утверждении требуется:
а) Выделить функцию, которая фигурирует в уравнении.
b) Записать область определения данной функции.
c) Доказать ее монотонность в области определения.
d) Угадать корень уравнения.
t) Обосновать, что других корней нет.
f) Записать ответ.
Пример 1.
.
Наличие радикалов четной степени говорит о том, что подкоренные выражения должны быть неотрицательными. Поэтому сначала найдем область допустимых значение переменной
.
![]()
Очевидно, что левая часть уравнения не существует ни при одном значении неизвестного
. Таким образом, вопрос о решении уравнения
снимается - ведь нельзя же осуществить операцию сложения в левой части уравнения, так как не существует сама сумма. Каков же вывод? Уравнение не может иметь решений, так как левая часть не существует
ни при одном значении неизвестного
.
Пример 2. ![]()
Рассмотрим функцию
.
Найдем область определения данной функции:
![]()
Данная функция является монотонно возрастающей.
Для
эта функция будет принимать наименьшее значение при
, а далее
только возрастать.
. Число 5 принадлежит области значения, следовательно, согласно утверждению
.
Проверкой убеждаемся, что это действительный корень уравнения..
2. Метод возведения обеих частей уравнений в одну и ту же степень.
Теорема.
Если возвести обе части уравнения
(1) в натуральную степень
, то
уравнение
(2) является следствием уравнения (1).
Доказательство. Если выполняется числовое равенство
, то по свойствам степени выполняется равенство
, т.е. каждый корень уравнения (1) является и корнем уравнения (2), это значит, что уравнение (2) является следствием уравнения (1).
Если
, то справедливо и обратная теорема. В этом случае уравнения (1) и (2) равносильны.
Если
, равенство
справедливо, если выполняется хотя бы одно из
равенств
и
. Значит уравнения (1) и (2) в этом случае не равносильны.
Поэтому, если в ходе решения иррационального уравнения
приходилось возводить обе его части в степень с четным показателем, то могли
появиться посторонние корни. Чтобы отделить их, проверки можно избежать, введя дополнительное требование
. В этом случае уравнение
равносильно системе
. В системе отсутствует требование
, обеспечивающее существование корня степени
, т.к. оно было бы излишним в связи с
равенством
.
Пример 1.
![]()
,
,
.
Ответ:![]()
Если в уравнение входят несколько радикалов, то их можно последовательно исключать с помощью возведения в квадрат, получая в итоге уравнение вида
При этом полезно учитывать область допустимых значений исходного уравнения.
Пример 2.
![]()

Ответ: ![]()
3. Решение уравнений с использованием замены переменной.
Введение вспомогательной переменной в ряде случаев приводит к упрощению уравнения. Чаще всего в качестве новой переменной используют входящий в уравнение радикал. При этом уравнение становится рациональным относительно новой переменной.
Пример1.
![]()
Пусть
тогда исходное уравнение примет вид:
, корни которого
и
Решая уравнение
, получаем
и ![]()
Ответ: ![]()
В следующих примерах используется более сложная замена переменной.
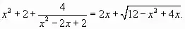
Пример 2
![]()
Перенесем в левую часть все члены уравнения и произведем дополнительные преобразования:
.
![]()
Замена
приводит уравнение к виду
корнями которого являются
и ![]()
Осталось решить совокупность двух уравнений:

Ответ: ![]()
4. Метод разложения на множители выражений, входящих в уравнение.
Теорема.
Уравнение
, определенное на всей числовой оси, равносильно совокупности уравнений ![]()
Пример1.
![]()
При
уравнение принимает вид:
которое равносильно совокупности двух
уравнений: ![]()

Ответ: ![]()
Выделить общий множитель часто бывает очень трудно. Иногда это удается сделать после дополнительных преобразований. В приведенном ниже примере для этого рассматриваются попарные разности подкоренных выражений.
Пример 2.
![]()
Если внимательно посмотреть на уравнение, то можно увидеть, что разности подкоренных выражений первого и третьего , а также второго и четвертого членов этого уравнения равны одной и той же
величине ![]()
В таком случае далее следует воспользоваться тождеством:
![]()
Уравнение примет вид:
или
![]()
Корень уравнения
т.е. число
при подстановке в исходное уравнение дает
верное равенство.
Уравнение
не имеет решений, так как его левая часть положительна в своей области определения.
Ответ:![]()
5. Метод выделения полных квадратов при решении иррациональных уравнений.
При решении некоторых иррациональных уравнений полезна формула ![]()
Пример 1.
![]()
Преобразуем уравнение следующим образом:
![]()
или
![]()
Обозначим
и решим полученное уравнение
методом интервалов.
![]()
Разбирая отдельно случаи
, находим,
что решениями последнего уравнения являются
.
Возвращаясь к переменной
, получаем неравенства
![]()
![]()
![]()
Ответ:![]()
6. Метод оценки.
Этот способ применим в том случае, когда подкоренные выражения представляют собой квадратный трехчлен, не раскладывающийся на линейные множители. Поэтому целесообразно оценить левую и правую части уравнения.
Пример 1.
![]()
Оценим обе части уравнения:
,
,
![]()
Левая часть уравнения существует при всех значениях переменной
, не меньших 5, а правая - при всех значениях, не больших 5, следовательно, уравнение
будет иметь решение, если обе части уравнения одновременно равны 5, т. е. справедлива следующая система:

Корнем второго уравнения системы является число ![]()
Проверим, является ли это число корнем второго уравнения:
.
Ответ:![]()
Пример 2.
![]()
Для всех
имеем
![]()
![]()
Используя неравенство Коши, можем записать:
![]()
причем равенство достигается при
и ![]()
Таким образом,
-корень исходного уравнения.
Ответ: ![]()
7. Иррациональные уравнения, содержащие степени выше второй.
Если уравнение имеет вид
то его можно решить , возводя обе части этого уравнения в степень
. Полученное уравнение
при нечетном
равносильно данному уравнению, а при четном
является нго следствием, аналогично рассмотренному выше случаю при ![]()
Пример 1
![]()
Возведем обе части уравнения в куб:
или
которое равносильно совокупности двух уравнений:


Ответ: ![]()
При решении иррациональных уравнений очень часто пользуются следующим приемом.
Если
то ![]()
В последнем равенстве
заменяют на
и получают ![]()
Далее легко избавиться от кубической иррациональности , возводя обе части в куб.
Пример 2.
Здесь, очевидно, ![]()
Возведем в куб обе части уравнения, получим:
,
или
![]()
или
![]()
или
![]()
или
![]()
Проверка подтверждает, что это корень уравнения.
Ответ: ![]()
Замечание.
Замена в конкретном примере левой части на правую, вообще говоря , неправомерна -ведь нам неизвестно ни одно значение
, при котором это уравнение
превращается в верное числовое равенство. Возможно, таких решений нет вообще. Допуская в практических действиях такую замену, мы фактически расширяем возможное множество решений. Поэтому все
найденные решения следует проверять и только те, которые превращают исходное уравнение в верное равенство, следует записать в ответ.
От того, что школьник решит лишний десяток задач, умнее и сообразительнее он не станет, Результат обучения оценивается не количеством сообщаемой информации, а качеством ее усвоения. Это качество будет выше, если на один и тот же пример посмотреть с разных сторон. Решение задач разными способами способствует развитию активного мышления учащихся. Хорошую почву для этого дает решение примеров разными способами.
Пример 3. Способ 1.
(1)
Возведем обе части уравнения в куб:
![]()
Группируя, получаем:
![]()
Используя равенство (1) имеем:
![]()
или
![]()
или
![]()
или
корни которого ![]()
Ответ: ![]()
Способ 2.
Иногда полезно ввести не одну вспомогательную переменную, а несколько, сводя исходное уравнение к системе уравнений.
![]()
Пусть
Тогда ![]()
Таким образом справедлива следующая система:


Возвращаясь к переменной
находим ![]()
Ответ: ![]()
В следующем примере введение вспомогательной переменной сводит исходное уравнение к однородному.
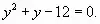
Пример 4.
![]()
Положим ![]()
Тогда исходное уравнение примет вид:
![]()
Поскольку
при котором переменная
обращается в нуль, не является
решением исходного уравнения ( в чем можно убедиться подстановкой), делим обе части уравнения на ![]()
решая которое , находим: ![]()
Осталось решить уравнения
и ![]()
Корнями этих уравнений являются числа ![]()
Ответ: ![]()
Пример 5.
![]()
Область допустимых значений задается неравенством ![]()
Преобразуем уравнение следующим образом:
![]()
Один корень этого уравнения ![]()
Для решения второго уравнения положим ![]()
и решим ![]()
Корни этого уравнения ![]()
Последний корень не принадлежит указанному промежутку, поэтому, решая уравнение
, получим ![]()
Ответ : 