Целая и дробная части числа
Цели урока: познакомить учащихся с понятием целой и дробной части числа; сформулировать и доказать некоторые свойства целой части числа; познакомить учащихся с широким спектром применения целой и дробной части числа; совершенствовать умение решать уравнения и системы уравнений, содержащих целую и дробную части числа.
Оборудование: плакат "Кто смолоду делает и думает сам, тот и становится потом надёжнее, крепче, умнее" (В. Шукшин).
Проектор, магнитная доска, справочник по алгебре.
План урока.
- Организационный момент.
- Проверка домашнего задания.
- Изучение нового материала.
- Решение задач по теме.
- Итоги урока.
- Домашнее задание.
Ход урока
I. Организационный момент: сообщение темы урока; постановка цели урока; сообщение этапов урока.
II. Проверка домашнего задания.
Ответить на вопросы учащихся по домашнему заданию. Решить задачи, вызвавшие затруднения при выполнении домашней работы.
III. Изучение нового материала.
Во многих задачах алгебры приходится рассматривать наибольшее целое число, не превосходящее данного числа. Такое целое число получило специальное название "целая часть числа".
1. Определение.
Целой частью действительного числа х называется наибольшее целое число, не превосходящее х. Целая часть числа х обозначается символом [x] или Е(х) (от французского Entier "антье" ─ "целый").
Например, [5] = 5, [π] = 3, ![]()
Из определения следует, что [x] ≤ х, так как целая часть не превосходит х.
С другой стороны, т.к. [x] - наибольшее целое число, удовлетворяющее неравенству, то [x] +1>х. Таким образом, [x] есть целое число, определяющееся неравенствами [x] ≤ х< [x] +1, а значит 0 ≤ х ─ [x] < 1.
Число α = υ ─ [x] называют дробной частью числа х и обозначают {х}. Тогда имеем: 0 ≤ {х}<1 и следовательно, х = [x] + {х}.
2. Некоторые свойства антье.
1. Если Z - целое число, то [x+Z] = [x] + Z.
2. Для любых действительных чисел х и у: [x+у] ≥ [x] + [у].
Доказательство: так как х = [x] + {х}, 0 ≤ {х}<1 и у = [у] + {у}, 0 ≤ {у}<1, то х+у= [x] + {х} + [у] + {у}= [x] + [у] + α, где α = {х} + {у} и 0 ≤ α <2.
Если 0 ≤ α <1. ςо [x+у] = [x] + [у].
Если 1≤ α <2, т.е. α = 1 + α`, где 0 ≤ α` < 1, то х+у = [x] + [у] +1+ α` и
[x+у]= [x] + [у]+1>[x] + [у].
Это свойство распространяется на любое конечное число слагаемых:
[x1 +x2 + x3 + ….. + xn] ≥ [x1] + [x2] + [x3] + … + [xn].

Умение находить целую часть величины очень важно в приближенных вычислениях. В самом деле, если мы умеем находить целую часть величины х, то, приняв [x] или [x]+1 за приближенное значение величины х, мы сделаем погрешность, величина которой не больше единицы, так как
≤ х - [x]< [x] + 1 - [x]=1,
0< [x] + 1- x ≤[x] + 1 - [x] =1.
Более того, значение целой части величины позволяет найти ее значение с точностью до 0,5. За такое значение можно взять [x] + 0,5.
Умение находить целую часть числа позволяет определить это число с любой степенью точности. Действительно, так как
[Nx] ≤ Nx ≤[Nx] +1, то

При большем N ошибка будет мала.
IV. Решение задач.

(Они получаются при извлечении корней с точностью до 0,1 с недостатком и избытком). Сложив эти неравенства, получим
1+0,7+0,5+0,5+0,4 < х < 1+0,8+0,6+0,5+0,5.
Т.е. 3,1< x <3,4 и, следовательно, [x]=3.
Заметим, что число 3,25 отличается от х не более чем на 0,15.
Задача 2. Найти наименьшее натуральное число m, для которого

Проверка показывает, что при k = 1 и при k = 2 полученное неравенство, не выполняется ни для какого натурального m, а при к = 3 имеет решение m = 1.
Значит, искомое число равно 11.
Ответ: 11.
Антье в уравнениях.
Решение уравнений с переменной под знаком "целой части" обычно сводится к решению неравенств или систем неравенств.
Задача 3. Решить уравнение:

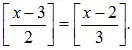
Задача 4. Решить уравнение

По определению целой части полученное уравнение равносильно двойному неравенству

Задача 5. Решить уравнение 
Решение: если два числа имеют одинаковую целую часть, то их разность по абсолютной величине меньше 1, и поэтому из данного уравнения следует неравенство


И поэтому, во-первых, x ≥ 0 , а во-вторых, в сумме, стоящей в середине полученного двойного неравенства, все слагаемые, начиная с третьего, равны 0, так что x < 7.
Поскольку х - целое число, то остается проверить значения от 0 до 6. Решениями уравнения оказываются числа 0,4 и 5.
Ответ: 0; 4; 5.
Задача 7. Решить систему уравнение



Ответ: (4;5)
Самостоятельное решение задач
(Провести проверку с помощью проектора.)
Задача 8.
Найти число корней уравнения

Преобразуем, неравенство к виду
, откуда получим, что искомое количество целых чисел равно 5. Значит, число корней данного
уравнения равно 5.
Ответ: 5.
Задача 9. (Соросовская олимпиада).
Решить уравнение

V. Итоги урока:
а) провести проверку самостоятельных работ с помощью проектора;
б) ответить на вопросы:
- "Дайте определение целой и дробной части числа";
- "При решении, каких задач используется целая и дробная часть числа?";
в) выставление отметок.
VI. Домашнее задание.

Дополнительная задача (по желанию).
Некто измерил длину и ширину прямоугольника. Он умножил целую часть длины на целую часть ширины и получил 48; умножил целую часть длины на дробную часть ширины и получил 3,2; умножил дробную часть длины на целую часть ширины и получил 1,5. Определите площадь прямоугольника.