Общественный смотр знаний по теме: "Действия с обыкновенными дробями"

07.02.2006

Цели:

  • cистематизировать знания и умения по теме: “Действия с обыкновенными дробями”;
  • развивать вычислительные навыки; прививать интерес к предмету.

Ход урока:

I. Вступительное слово учителя.

    • На предыдущих уроках вы уже открыли для себя удивительный мир обыкновенных дробей. Многие ученые во все времена занимались вопросами их изучения. Современное обозначение обыкновенных дробей /однако без дробной черты/ было принято в Индии в VIII веке. Чертой для отделения числителя от знаменателя пользовались еще Герон Александрийский /I век/ и Диофант /III век/.
    • Вы знаете, чтобы хорошо освоить математику, надо решать много задач.
    • Сегодня проведем общественный смотр знаний по теме: “Действия с обыкновенными дробями”.

II. Общественный смотр знаний

1. Гимнастика ума

a) Приведите дроби , к знаменателю 12;

Приведите дроби , к знаменателю 18.

б) Представьте в виде неправильной дроби.

; ; /Правило/

в) Сократите дробь:

; ; /Правило/

г) Клоун объявил, что сейчас найдет наибольший общий знаменатель чисел, не успел он назвать числа, как публика засмеялась, все поняли, что клоун не сможет этого сделать. Объясните почему?

- Приведите дробь к наименьшему общему знаменателю:

и ; и

д) Решите уравнение:

; .

- Как называются такие числа?

е) Прочитайте пропорцию и назовите их крайние и средние члены.

3:7 = 6:14; :2 = 5:40.

ж) Найдите значения выражения.

; ; ; 1 - ;

з) Задание для любознательных.

- Найдите, закономерность заполнения клеток квадрата и допишите недостающее число в пустую клетку.

        4
        ? 1

2. “Прочитайте мои мысли”

1. Произведение двух дробей равно дроби …

2. Числа при делении называются так …

3. Пропорцией называют …

4. Взаимно обратными числами называют числа …

5. Чтобы разделить дробь на дробь, надо …

6. Если произведение крайних членов …

3. “Найдите ошибки”

        /По вариантам/

4. Практическая работа

У каждого ребенка на парте круг /синий, красный, желтый/, разного радиуса.

Задание: Вычислите площадь круга?

5. Самостоятельная работа

Задания на “3”

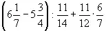
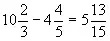
Вычислите:

= ;  ;
;
;   ;

Задания на “4”

1. Выполните действия: 1 2 3

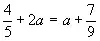
2. Решите уравнение:

3. На 20 км пути автомобиль расходует литра горючего. Сколько литров горючего автомашина израсходует на 50 км.? 18 л., 10 л., 8 л.

Задания на “5”

1. Найдите значение выражения:

а) б) в)

2. Вычислите:

а) 9 б) 4 в)

3. Представьте 0,12 в виде обыкновенной несократимой дроби

а) б) в)

4. Номер обуви равен длине ступни. Какого размера туфли должен носить человек, длина ступни которого 24 см.

    а) 16 б) 36 в) 12

III. Подведение итогов


aid: 312094