Как построить графики функций y = f(x + m), y = f(x) + k и y = f(x + m) + k на основе графика y = f(x) (2010 / 2011 учебный год)
Изучаемый материал "Построение графиков с помощью преобразований. Построение графиков функций у=f(x+m), у=f(x)+k и у=f(x+m)+k на основе графика функции у=f(x)". 8 класс.
УМК. Алгебра. 8 класс. В 2 ч./А.Г. Мордкович. - М.: Мнемозина, 2008.- 215с.
Характеристика урока:
Интегрированный урок математика - информатика.
Тип урока - урок изучения нового материала.
Оборудование: персональные компьютеры с возможностью работы в Advanced Grapher, выхода в Интернет, мультимедиапроектор, интерактивная доска или проекционный экран.
Материалы к уроку: карточки с заданиями в бумажном и/или электронном варианте (на рабочем столе каждого ПК) для каждой пары учащихся.
Цель урока:
Дидактическая - в ходе урока, используя возможности программы Advanced Grapher, Интернет-ресурсов узнать (догадаться, придумать, открыть для себя...), как можно построить графики функций у=f(x+m), у=f(x)+k и у=f(x+m)+k, имея график функции у=f(x), выработать алгоритм построения, систематизировать полученные знания (в виде схемы, иллюстраций, таблицы…).
Развивающая - развивать у учащихся наблюдательность, навыки логического мышления, умение делать выводы.
Воспитательная - формировать навыки продуктивного взаимодействия при выполнении коллективной работы, ориентация обучающегося на саморазвитие, самообучение.
План урока:
- Актуализация знаний и постановка цели - 5 мин.
- Изучение нового материала - 20 мин.
- Анализ, озвучивание, оценивание и обсуждение полученных результатов - 7 мин.
- Обобщение и систематизация полученных выводов - 5 мин.
- Применение полученных знаний - 5-7 мин.
- Подведение итогов - 2 мин.
Ход урока
1. Актуализация знаний и постановка цели на основе проверки и обсуждения домашнего задания заданного накануне (№ № 19.1 (в), 19.3 (в), 20.2 (в), 20.3 (в) - УМК А.Г. Мордкович)
Вопросы учителя:
1. Назовите формулы функций, графики которых вы строили в домашней работе, которые отличались друг от друга числом, прибавляемым к аргументу функции. Назовите это число.
2. Назовите формулы функций, графики которых вы строили в домашней работе, которые отличались друг от друга числом, прибавляемым к функции. Назовите это число.
3. Как расположены графики в первом случае относительно друг друга при построении их в одной системе координат? На сколько единиц один из графиков сдвинут относительно другого?
4. Как расположены графики во втором случае относительно друг друга при построении их в одной системе координат? На сколько единиц один из графиков сдвинут относительно другого?
5. Имея график одной из функций, вы могли бы построить график второй функции? Что для этого вам было бы нужно знать?
Учитель направляет учебный диалог, добиваясь произнесения учащимися идей "сдвиг", "направление", "количество единичных отрезков". На данном этапе уместно уделить внимание формированию у учащихся навыков целеполагания через озвучивание цели урока: узнать (догадаться, придумать, открыть для себя...), как можно построить графики функций у=f(x+m), у=f(x)+k и у=f(x+m)+k, имея график функции у=f(x), выработать алгоритм построения, систематизировать полученные знания. В зависимости от уровня подготовки класса возможна формулировка цели учителем, привлечение учащихся к постановке цели, конструирование цели учащимися под руководством учителя.
2. Изучение нового материала строится на основе проектного метода. (Работа в парах).
Учитель предлагает учащимся разбиться на пары, которые будут работать самостоятельно за ПК, объясняет, что для каждой пары задание различное.
1 пару назовём "аналитики". Эта пара будет выполнять следующее задание:
1) создаёт электронный почтовый ящик, адрес которого записывает на доске (можно воспользоваться существующим),
2) добывает, анализирует и систематизирует информацию о построении графиков функций у=f(x+m), у=f(x)+k и у=f(x+m)+k имея график функции у=f(x), используя ресурсы сети Интернет,
3) просматривает электронную почту, прочитывает сообщения остальных пар (их 10-12) участников проекта, анализирует и оценивает их ответы (верно, неверно, полный ответ, неполный,…)
Текст карточки с заданием для "аналитиков" (в электронном виде имеется на рабочем столе:
Задание для аналитиков
http://www.ref.by/refs/49/32061/1.html http://fgraphiks.narod.ru/kvadratichnaya.html найдите ответ на вопросы
Ответы на эти три вопроса систематизируйте в виде слайдов c иллюстрациями в программе PowerPoint (3-4 слайда). 3) Просмотрите почтовый ящик электронной почты, прочтите сообщения остальных пар участников проекта, анализируя их ответы (верно, неверно, полный ответ, неполный,…) |
Задание для остальных пар - "практиков":
Учитель объясняет: каждая пара "практиков" будет строить графики функций с помощью программы Advanced Grapher, отвечать на вопросы, заданные в карточке, выдвинет гипотезу, проверит её с помощью программы Advanced Grapher, сделает вывод, оформит его и перешлёт в виде сообщения от имени своей пары на электронный адрес, указанный на доске.
Задания для "практиков" (имеется в бумажном и/или электронном виде).
Образец текста карточки с заданием для "практиков":
Задание для практиков. Пара №1
Внимание! В сообщении указывайте имя пары. Например "Смирнов В.- Захаров К." |
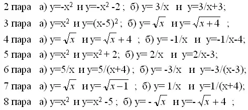
Таким образом, каждой паре "практиков" даётся по две пары функций, графики которых нужно построить:

…
3. Анализ, озвучивание, оценивание и обсуждение полученных результатов.
На данном этапе учащиеся вернувшись за парты:
- заслушивают презентацию, созданную "аналитиками";
- задают вопросы, уточняют, приходят к выводу о том, что построить график функции у=f(x+m)+k имея график у=f(x), можно последовательно двумя операциями.
- получают оценку правильности выводов, сделанных ими в ходе исследования. (Сообщения каждой пары можно вывести на экран)
4. Обобщение и систематизация полученных выводов.
Учитель предлагает обобщить результаты, полученные в ходе проекта, ответив на вопросы, поставленные в цели урока: как можно построить графики функции у=f(x+m), у=f(x)+k и у=f(x+m)+k, имея график функции у=f(x)?
Ключевым моментом на данном этапе урока должна стать выработка идеи о возможности сдвига не графика, а соответствующей оси координат (если такая идея не была выдвинута ранее).
На открытие этой идеи могут подтолкнуть следующие вопросы:
"При сдвиге графика вправо (влево) в какую сторону сдвигается ось ординат?", "При сдвиге графика вниз (вверх) в какую сторону сдвигается ось абсцисс?".
Итогом данного этапа может служить систематизированная таблица, розданная каждому обучающемуся (в целях экономии времени и поощрения учащихся за проделанную работу).
| Вид функции | График может быть получен из графика функции у=f(x) с помощью сдвига исходного графика | График может быть получен из графика функции у=f(x) с помощью сдвига координатной оси |
| у = f(x + m), m> 0 | вдоль оси абсцисс на m единиц масштаба влево | ординат на m единиц масштаба вправо |
| у = f(x - m), m> 0 | вдоль оси абсцисс на m единиц масштаба вправо | ординат на m единиц масштаба влево |
| у = f(x) + k, k> 0 | вдоль оси ординат на к единиц масштаба вверх | абсцисс на к единиц масштаба вниз |
| у = f(x) - k, k> 0 | вдоль оси ординат на к единиц масштаба вниз | абсцисс на к единиц масштаба вверх |
5. Применение полученных знаний. № и № (Учебник "Алгебра 8 класс. Часть 2 - ЗАДАЧНИК". Под редакцией А.Г. Мордковича. Издательство Мнемозина. Москва).
В ходе ознакомления с условием задачи учащиеся отвечают на вопросы:
- Назовите число m, прибавляемое к аргументу функции (или вычитаемое из аргумента).
- Назовите число k.
- График какой функции вы предлагаете построить?
- Какие действия вы предлагаете выполнить для того, чтобы график данной функции преобразовался в график заданной функции?
- На сколько единичных отрезков и в какую сторону вы предлагаете сдвинуть координатные оси?
- Получен ли нами искомый график?
6. Подведение итогов, рефлексия, домашнее задание - 2 мин.
Рефлексивные вопросы:
- Смогли ли мы достичь цели урока?
- Благодаря какой организации нашей деятельности мы смогли достичь этой цели? (разделения выполняемых функций, применение ИКТ-ресурсов, применения возможностей программы построения графиков…)
- Что нового вы узнали сегодня на уроке?
Итоговое слово учителя должно акцентировать, что на уроке учащиеся получили (добыли, открыли для себя…) не только новые знания, но и навыки эффективных способов организации совместной деятельности и продуктивного взаимодействия.