Интегрированный урок по теме: "Графики функций и их свойства"
|
Учитель информатики |
Учитель математики |
|
Цели и задачи урока: |
|
|
1. Обобщение ЗУН учащихся по темам "Электронные таблицы" и "Графики функций и их свойства" с использованием информационных технологий |
|
|
2. Отработать навыки построения графиков функций, записи формул и копирования |
2. Отработать навык чтения графиков функций |
|
3. Отработать умение переходить от математической записи выражений к записи формул в электронных таблицах. |
|
|
4. Формировать навыки построения математических моделей. |
3. Формировать навык составления уравнения функции по заданному графику. |
|
5. Наглядно продемонстрировать учащимся возможность использования электронных таблиц при изучении темы "Графики функций и их свойства": для самоконтроля, экономии времени при изучении свойств функции. |
|
|
План урока |
|
|
1. Повторение |
|
|
Правила построения графиков на компьютере |
|
|
2. Самостоятельная работа на построение графиков (параболы). |
|
|
3. Определение по графику свойств функции у=-х2+1. Устно. |
|
|
4. Работа с графиком функции. Попробуем по заданному графику составить уравнение, которое задает функцию.
|
|
|
5. Самостоятельная работа на построение графика у=- |
|
|
6. Особенности построения графика "кусочной" функции . |
|
|
7. Самостоятельная работа на построение графика "кусочной" функции |
|
|
7. Определение по графику свойств функции. |
|
| 1. Повторение | |
|
Для того чтобы построить график функции нам необходимо составить таблицу зависимости значений у от х. Повторим основные этапы построения. 1.Какое первое значение х надо взять в задании? 2. Какую формулу для изменения значений х стоит записать, если задан шаг 0,5? 3.Как будет выглядеть формула для нахождения значения функции у=х2 в ячейке В1? 4. Полученные значения каких строк необходимо выделить для получения графика? 5. Что нужно задать на вкладке "Ряд"? |
|
|
2. Самостоятельная работа на построение графиков (параболы). На отрезке [-3;3] построить графики функций у=х2, у=(х+2)2, у=-х2 +1. |
|
|
3.Определение по графику свойств функции у=-х2+1. |
|
|
4.Работа с графиком функции у=6/х. На рабочем столе найдите документ "график" и откройте его. |
|
|
4. Самостоятельная работа на построение графика у=-4/х на отрезке [-4;4] с шагом 0,5. |
|
|
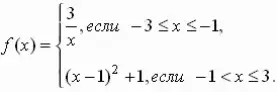
5. Особенности построения графика "кусочной" функции. Как построить график "кусочной" функции? Чем отличается график "кусочной" функции от обычной? Значит для того, чтобы построить график такой функции необходимо задавать значения у в зависимости от указанных интервалов х (пример-таблицу показать на доске). Обратите внимание, что в таблице точка разрыва функции определена для обоих частей. Это необходимое условие для получения корректного изображения графика "кусочной" функции. А теперь попробуйте сами построить график функции. |
|
|
Самостоятельная работа на построение графика "кусочной" функции. |
|
|
7. Определение по графику свойств функции 1. 2. 3.
4.
5. ; 6. ; 7. yнаиб; yнаим. |
|
