Урок алгебры по теме: "Однородные тригонометрические уравнения" с использованием технологии "Эвристическая беседа". 10-й класс
Тип урока: "Урок изучения, первичного закрепления и применения новых знаний" ( I - II тип ).
Цели урока:
- Образовательные: актуализация знаний об уравнениях, закрепление знаний о равносильных уравнениях, понятий области определений и области значений; повторение тригонометрических уравнений, сводящихся к квадратным; знакомство с однородными тригонометрическими уравнениями и способами отбора корней уравнения; укрепление умений и навыков в работе по образцу и в сходных условиях; перенос знаний в новые условия.
- Развивающие: развитие логического мышления, познавательного интереса, творческой активности; развитие общеучебных навыков и умений - организационных, интеллектуальных и коммуникативных.
- Воспитательные: воспитание взаимопомощи, культуры общения, способствующей созданию благоприятного психологического климата, направленного на личностно-ориентированный подход к обучению и воспитанию.
Технология урока: Эвристическая беседа
Эвристика (от греческого heurisko - нахожу)
- методика обучения, основанная на открытии или догадке;
- система обучения путем наводящих вопросов;
- метод обучения, способствующий находчивости, активности.
БЭС: "Восходящий к Сократу метод обучения (т.н. сократические беседы)"
"Лучшее, что может сделать Учитель для Учащегося, состоит в том, чтобы путем неназойливой помощи подсказать ему блестящую идею … Хорошие идеи имеют своим источником прошлый опыт и ранее приобретенные знания". (Д. Пойя (математик и методист))
|
Этап: |
I |
|
Содержание этапа: |
Организационный |
|
Время выполнения: |
5 минут |
|
ТДЗ (триединая дидактическая задача): |
Подготовка учащихся к работе на уроке, постановка цели, мотивация деятельности. |
|
Примечания: |
Общеучебные умения и навыки:
Учебно-организационные:
Учебно-интеллектуальные:
Учебно-коммуникативное:
Умение проводить доказательства, рассуждать при выполнении аналитических заданий. |
|
Содержание учебного материала |
Деятельность учителя |
Деятельность учащегося |
Методы обучения |
ФОПД
|
|
Приветствие, проверка готовности к уроку, пособий, раздаточного материала, доски и т.д.
Организация внимания, краткий рассказ о новой форме работы на уроке - эвристической беседе, постановка задач урока. |
Учитель рассказывает о сущности эвристического обучения, мотивирует учащихся на работу на уроке. | Учащиеся включаются в активную работу на уроке. | Словесный | ФОПД: Общеклассная |
|
Этап: |
II |
|
Содержание этапа: |
Проверка ДЗ, подготовка учащихся к усвоению новых знаний |
|
Время выполнения: |
15 минут |
|
ТДЗ (триединая дидактическая задача): |
Выявление уровня теоретических знаний, актуализация знаний о равносильности уравнений, области определения и области значений; Развитие математической речи, логического мышления; Воспитание внимания, контроля, умение выделять главное и существенное. |
|
Примечания: |
|
Содержание учебного процесса |
Деятельность учителя |
Деятельность учащегося |
Методы обучения |
ФОПД
|
|
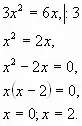
1. Анализ домашнего задания
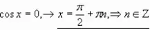
1. Решение уравнения: a) б) в) |
Вопрос (В.)
Почему обе части уравнения можно разделить на 3 и нельзя на х?
Можно ли разделить обе части уравнения на |
Ответ (О.)
При делении на х происходит потеря корня х=0
Да, т.к. |
Репродуктивный, вопросно-ответный
|
ОПД:
Общеклассная + индивидуальная
|
|
2. Найдите ошибку:
а) б)
Ответ: 1; 2. 3. Итог 1. Что значит решить уравнение? 2. Какие уравнения называются равносильными? 3. Область определения (уравнения 2. а) б)) 4. Область значений? (Почему уравнения:
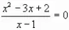
не имеют решений?) 4. Централизованное тестирование Сократить дробь:
Вычислить ее значение при:
|
Сформулируйте условия равенства произведения нулю
Сформулируйте условия равенства дроби нулю. Выделите главное и существенное
Опрос теоретического материала
Найти область определения функции
Каким приемом пользовались?
Что побудило воспользоваться этим приемом?
А.П. Чехов (мотивация учащихся на последующую работу на уроке) |
х=0 не является корнем уравнения
х=1 не является корнем уравнения
Числитель и знаменатель разделим на
Не знаем m и n, но знаем |
Поисковый
Вопросно-ответный
Индуктивный, наглядный (фрагменты на доске)
|
ФОПД: Общеклассная
Индивидуальный (учащийся готовит ответ заранее) |
|
Этап: |
III |
|
Содержание этапа: |
Изучение нового материала |
|
Время выполнения: |
15 минут |
|
ТДЗ (триединая дидактическая задача): |
Восприятие учащимися и первичное осознание нового учебного материала, осмысление связей и отношений в объектах изучения;
Развитие логического мышления, умение работать в проблемной ситуации; Воспитание умения слушать и беседовать, выдвигать гипотезы, конспектировать. |
|
Примечания: |
|
Содержание учебного материала |
Деятельность учителя |
Деятельность учащегося |
Методыобучения |
ФОПД
|
|
1. Постановка проблемной ситуации
1. При изучении тригонометрических уравнений, сводящихся к квадратным: а) б) в) использовали метод введения новой переменной, предварительно преобразовав данное уравнение к уравнению относительно одной тригонометрической функции. |
Какие формулы тригонометрии использовали? |
|
Репродуктивный |
ФОПД: Общеклассная + индивидуальная
|
|
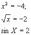
2. Рассмотрим уравнение:
Данное уравнение нельзя свести к уравнению относительно функций sinx или cosx |
В чем проблема в решении этого уравнения? | Уравнение содержит одновременно sinx и cosx | Поисковый | ФОПД: Общеклассная |
|
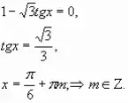
Разделим обе части уравнения на Получим:
Значения переменной х, при которых cosx=0, не являются решениями этого уравнения,, так как, если cosx=0, то должно выполняться равенство Ответ:
Итак, мы научились решать однородное уравнение 2-й степени 3. Изменим ситуацию
|
Попробуем свести это уравнение к уравнению относительно tgx
Деление на выражения, содержащие переменную, обычно приводит к потере корней уравнения. Вопрос: Почему в данной ситуации получаем уравнение, равносильное данному? |
Воспользуемся приемом, который мы применияли в задании: Сократить дробь
( деление на
Учащиеся доказывают, что sinx и cosx не могут быть одновременно равны нулю а) Указав формулы б) Показав на тригонометрической окружности в) Приведя к противоречию с основным тригонометрическим тождеством. |
Словесный |
ФОПД:
|
|
Этап: |
IV |
|
Содержание этапа: |
Первичное закрепление знаний;
Первичная проверка усвоения знаний. |
|
Время выполнения: |
10 минут |
|
ТДЗ (триединая дидактическая задача): |
Проверка осознанности усвоения учащимися нового материала;
Коррекция знаний; Пробное применение знаний в конкретных условиях. |
|
Примечания: |
|
Содержание учебного материала |
Деятельность учителя |
Деятельность учащегося |
Методыобучения |
ФОПД
|
|
| Письменная работа учащихся по книге "Мониторинг качества образования" под редакцией Т.К. Чекмаревой: "Диагностирующие задания для проверки усвоения общеучебных умений и навыков по алгебре и началам анализа, 10 класс" | Учитель заранее раздает распечатанные материалы для самостоятельной работы учащихся и осуществляет выборочный контроль | Учащиеся выполняют самостоятельную работу по первичной проверке усвоения знаний | Практический (самостоятельная работа) | ФОПД:
Индивидуальный ОУУН: I гр. 1), 2) II гр. |
|
|
Этап: |
V | ||||
|
Содержание этапа: |
Применение знаний, умений и навыков в новых условиях | ||||
|
Время выполнения: |
35 минут | ||||
|
ТДЗ (триединая дидактическая задача): |
Проверка полноты и осознанности усвоения знаний, их актуализация, усвоение образца комплексного применения знаний в измененных условиях;
Развитие логического мышления, умений анализировать, выделять главное и существенное; Воспитание грамотной математической речи. |
||||
|
Примечания: |
|||||
|
Содержание учебного процесса |
Деятельность учителя |
Деятельность учащегося |
Методыобучения |
ФОПД
|
|
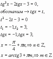
Решить уравнения:
1. Разделим на
|
Вопрос:
Является ли данное уравнение однородным? Можно ли сделать его однородным?
-"-"-"-"-"-" Вопрос: Как найти корни данного уравнения? |
Ответ:
Используем основное тригономнтрическое тождество:
-"-"-"-"-"-" Ответ: По теореме, обратной теореме Виета |
Поисковый, индуктивный |
ОУУН: III гр.
ОУУН: III гр. |
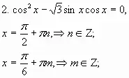
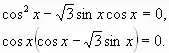
2.
Условия равенства нулю произведения двух множителей:
Или:
Разделим обе части уравнения на cosx:
Ответ: |
Вопрос:
Является ли данное уравнение однородным? Почему нельзя разделить обе части уравнения на Как решить уравнение?
Какое уравнение в скобках? Можно ли обе части уравнения разделить на sinx?
|
Ответ:
Ур-е однородное (неполное). При делении на
Вынести cosx как общий множитель за скобку. Это однородное ур-е 1-й степени. Да, получим уравнение относительно ctgx/ |
ФОПД:
Общеклассное ОУУН: III гр. |
|
|
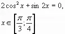
4. Решение уравнений с выборкой решений (отбор корней уравнений) 1. Рассмотрим уравнение:
и выберем корни, принадлежащие промежутку:
Из (1): а) I группа б) Из (2) а) Три корня: II группа
Тригонометрическая окружность
Нули функции y=cosx
|
Вопрос: Когда мы выполняем отбор корней уравнений?
Какими способами можно осуществить отбор корней? |
Ответ: Должен быть указан конкретный промежуток принадлежности корней 1) Перебор целых значений 2) Тригонометрическ. Окружность 3) Графики тригонометрических функций |
_________, вопросно-ответный, наглядный (чертежи на доске) |
ФОПД: Групповой
ОУУН: III гр. |
|
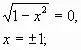
Рассмотрим уравнение:
Условие равенства нулю произведения трех множителей:
Уравнение не имеет решений, так как
3. Но ! Следовательно,
Ответ: |
Вопрос:
Промежуток принадлежности корней не указан. Надо ли проводить отбор корней? Выделите главное и существенное при решении уравнения. Главное: Условие равенства нулю. Существенное: Проверка корней |
Ответ:
Да, т.к. произведение множителей равно нулю, если один из множителей равен нулю, а другие при этом не теряют смысла. |
Проблемно-поисковый |
ФОПД: Общеклассное
ОУУН: III гр.
ОУУН: II гр. |
|
Этап: |
VI |
|
Содержание этапа: |
Информация о домашнем задании |
|
Время выполнения: |
3 минуты |
|
ТДЗ (триединая дидактическая задача): |
Закрепление СУН и самоконтроль |
|
Примечания: |
|
Содержание учебного процесса |
Деятельность учителя |
Деятельность учащегося |
Методы обучения |
ФОПД
|
|
Учебник А.Н. Колмогорова "Алгебра и начала анализа 10-11 классы"
№ 169(а, в), № 170(г), № 171(а). Дополнительное задание: Решить уравнение: 1) 2) 3) (резерв) 4) (РЭА им. Плеханова) |
Учитель дает дифференцированное домашнее задание | Учащиеся выбирают задание, соответствующее их уровню обученности | Словесный | ФОПД:
Общеклассный + индивидуальный |
|
Этап: |
VII |
|
Содержание этапа: |
Подведение итогов урока, рефлексия |
|
Время выполнения: |
5 минут |
|
ТДЗ (триединая дидактическая задача): |
Обобщение знаний, полученных на уроке,
анализ овладения способами деятельности |
|
Примечания: |
|
Содержание учебного материала |
Деятельность учителя |
Деятельность учащегося |
Методы обучения |
ФОПД
|
|
Повторили вопросы, связанные с решением уравнений: равносильность, область определения, область значений;
Научились решать однородные тригонометрические уравнения; Отбор корней уравнения. |
Учитель дает установку на рефлексию | Учащийся осуществляет рефлексию | Аналитико-синтетический | ФОПД:
Общеклассный |

















