Урок физики "Давление. Давление в природе и технике" (7-й класс)

07.07.2010

Цели урока:

  • формирование понятия давление;
  • знакомство с прикладным значением давления;
  • развитие способностей наблюдать и делать выводы.

Задачи урока:

  • изучение теоретического материала;
  • отработка навыков умения решения задач;
  • организация домашней практической работы.

Основной материал: Давление тел на опору. Единицы измерения давления. Практическое применение полученной закономерности для решения задач и проведения домашнего эксперимента.

Оборудование к уроку: видеопроектор, мультимедийный компьютер, экран, дидактический материал (Приложение 1, выполненное в виде мультимедийной презентации, содержащей кадры и видеофрагменты, Приложение 2).

План урока.

Этап урока Приемы и методы Время (мин)
1 Организационный момент Проблемная ситуация 3
2 Усвоение новых знаний Эвристическая беседа, использование презентации 15
3 Первичная проверка понимания Анализ определения, задание по рисунку, работа с таблицей 5
4 Закрепление новых знаний Решение качественных задач с использованием анимации и расчетных задач 15
5 Пропедевтика темы "Давление в газах" Задание с использованием анимации 3
6 Обобщение и систематизация знаний Использование опорного конспекта (Приложение 2) 2
7 Домашнее задание Запись в дневник, акцент на решение задачи №2 на уроке 2

Ход урока

Организационный момент. Мотивация учебной деятельности.

Лесоруб точит свой топор для работы, брадобрей точит бритву, охотник зимой надевает широкие лыжи, маленький комар достаточно легко прокалывает своим хоботком толстую кожу животного, нежная роза защищает себя острыми колючками, хищник-волк имеет острые клыки, почему гвозди заколачивают острым концом: Какой секрет лежит в основе этих примеров?

Усвоение новых знаний.

В основе приведенных примеров лежит давление твердых тел.

(Приложение 1, кадр 1)

Перед нами обыкновенные гвозди. (Приложение 1, кадр 2)

Проведем с ним некоторые эксперименты:

Демонстрация. Зависимость давления твердого тела на опору от действующей силы и площади опоры (анимация презентации). (Приложение 1, кадр 3)

Вопрос 1: Какие же закономерности смогли мы с вами заметить, просматривая данный эксперимент?

Ответ: При действии одинаковой силы результат получился различным: дощечка, поставленная на шляпки гвоздей, провалилась меньше, нежели поставленная на острия гвоздей. (Приложение 1, кадр 4)

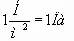
Вывод: Сила одна: F1=F2=mg , а результат разный: S1>S2 => p1<p2

Таким образом, можно записать эту закономерность математическим языком:

Давление - физическая величина, равная отношению силы давления, приложенной перпендикулярно к данной поверхности, к площади этой поверхности. (Приложение 1, кадр 5)

Единица измерения: (Паскаль) в честь французского ученого Блеза Паскаля. (Приложение 1, кадр 6)

Первичная проверка понимания.

Вопрос 2: Анализируя эту формулу, укажите способы увеличения и уменьшения давления.

Ответ: Увеличить p^ => F^ или Sv; уменьшить pv => Fv или S^

Вопрос 3: Внимательно посмотрите на предложенное изображение и укажите "Где и как используются знания о давлении твердых тел"?

(Приложение 1, кадр 7)

Ответ: Широкие шины тяжелых машин и машин-вездеходов, большая площадь лыж, специальные приспособления - "кошки" у альпинистов. (Приложение 2)

Вопрос 4: Используя предложенную таблицу, сравните давления, создаваемые различными твердыми телами.

(Приложение 1, кадр 8)

Ответ: Оказывается, давление тяжелого танка лишь в два раза превышает давление на почву человека, давление на опору лежащего человека меньше, чем когда он стоит:

Закрепление новых знаний.

(Приложение 1, кадр 9, Приложение 1, кадр 10)

Последовательность подборки задач: 1 задача - абстрактно-качественная, 2 задача - расчетная, 3 задача - с опорой на жизненный опыт, 4 задача - без конкретизации вопроса, 5 задача предполагает применение дополнительных предметных знаний, 6 задача - межпредметного содержания.

1. В каком положении брусок оказывает наибольшее давление на поверхность стола? (Приложение 1, кадр 11)

Ответ: В положении №3 давление, оказываемое бруском будет наибольшим, т.к. площадь опоры наименьшая при одной и той же силе тяжести.

2. Рассчитать давление, производимое на пол мальчиком, масса которого 45 кг, а площадь подошв его ботинок, соприкасающихся с полом, равна 300 см2. (Приложение 1, кадр 12)

Решение:

F=P, P=mg, вес тела

,

Ответ:

3. Почему дед Мороз проваливается при ходьбе по снегу? (Задачу можно развить вопросами, связанными с перемещением кролика и поиском физических ошибок в предложенном сюжете.) (Приложение 1, кадр 13)

Ответ: Площадь опоры ступней деда Мороза для ходьбы по рыхлому снегу мала.

4. Какое применение давления твердого тела в природе вы заметили в данном сюжете? Объясните его. (Приложение 1, кадр 14)

Ответ: В сюжете изображен лесной доктор - дятел, который своим крепким, острым клювом в древесине, которая начинает загнивать, выдалбливает лесных вредителей деревьев.

5. Почему можно бежать по тонкому льду, хотя стоять на нем не проваливаясь, невозможно? (Приложение 1, кадр 15)

Ответ: Разрушение кристаллической решетки льда под давлением движущегося оленя происходит не мгновенно, времени может быть достаточно, чтобы покинуть опасное место.

6. Знаете ли вы, почему деревья не растут до неба? (Приложение 1, кадр 16)

Известно, что высота деревьев зависит от многих факторов: породы, возраста, характера почвы, степени затененности данного места, климатических условий. Тем не менее, она не может быть сколь угодно большой. Наибольшая высота многих пород деревьев 20:25 м. В отдельных случаях она доходит до 30:40 м. Самыми высокими деревьями являются эвкалипты - их высота достигает 100 м. но это уже предел - выше деревья уже не растут.

Ответ: Оказывается, на это имеются, по крайней мере, две основные причины:

  • непропорциональное увеличение (рост) площади опоры по сравнению с высотой растущего дерева, его объемом и массой; дерево просто начинает под собственным весом проваливаться в почву;
  • природные насосы - капилляры могут поднять влагу из почвы максимум на высоту 10:100 м.

Дополнительные задачи

7. Не забывая о теме урока, объясните, почему мишка Вини Пух так легко лез по дереву. (Приложение 1, кадр 17)

Проверим вашу наблюдательность. Заметили ли вы еще фрагменты, связанные с темой урока?

Ответ: Медведь легко забирался на дерево благодаря своим длинным и острым когтям.

В конце сюжета медведю в нос впились колючки:

8. Сравните давление, оказываемое волком на снег и лед в случаях, когда он на лыжах, без лыж и на коньках. (Приложение 1, кадр 18)

Ответ: Самое большое давление на лед и снег волк оказывает стоя на коньках, самое маленькое, когда стоит на лыжах.

Пропедевтика темы "Давление в газах".

Задача: Найдите проявление давления в предложенном сюжете. (Приложение 1, кадр 19)

Ответ: Давление пробковой пули на тело Вини Пуха, на воздушный шар, давление газа внутри воздушного шара.

Обобщение и систематизация знаний.

Краткое повторение изученного по опорному конспекту. Акцентуация внимания на основных связях и отношениях в объекте изучения. (Приложение 2)

Домашнее задание.

32, 33, по описанию учебника выполнить Экспериментальное задание стр. 85 учебника "Физика 7" Громова С.В., Родина Н.А. (Приложение 1, кадр 20, Приложение 2)

Литература:

  1. Аляев Ю.А., Стадник Н.М., Калинин И.Ю., Физика. Мультзадачник. Учебное пособие. Пермь: Изд-во ПРИПИТ, 2004. (CD-ROM).
  2. Громов С.В. Программа авторского курса. Газета "Физика". Приложение к газете "Первое сентября" - 2001 - №31.
  3. Громов С.В., Родина Н.А. Физика: Учебник для 7 класса общеобразовательных учреждений. - М.: Просвещение, 1999 - 2001.
  4. Гутник Е.М., Рыбакова Е.В. Тематическое и поурочное планирование к учебнику А.В. Перышкина "Физика. 7 класс". - М.: Дрофа, 2000.
  5. Методический справочник учителя физики / Сост.: М.Ю. Демидова, В.А. Коровин. - М.: Мнемозина, 2003.
  6. Перышкин А.В., Физика. 7 класс: Учебник для общеобразовательных учебных заведений. - М.: Дрофа, 1999 - 2001.
  7. Физика. Библиотека наглядных пособий. 7 - 11 классы. Министерство образования РФ, ГУРЦ и ЭМТО, ООО "Дрофа", ЗАО "1С", ЗАО МТКЦ "Формоза-Альтаир", РЦИ Пермского ГТУ. 2004. (CD-ROM).

aid: 582834