Урок алгебры в 10–11-м классе по теме "Логарифмические уравнения и методы их решения" (два урока)
Образовательные задачи:
- актуализация опорных знаний применения свойств функций при решении уравнений;
- обобщение и систематизация знаний и способов деятельности по теме "Логарифмические уравнения";
- применение обобщенных знаний, умений и навыков в новых условиях - создание проблемной ситуации с целью показать внутри курсовой связи;
- контроль и самоконтроль знаний, умений и навыков(средства: самостоятельная работа, презентация учащихся, графический диктант).
Развивающие задачи:
- развитие логического мышления, умения работать в проблемной ситуации;
- развитие умений применять знания, умения и навыки в нестандартной ситуации;
- развитие умений сравнивать, обобщать, правильно переформулировать условие задачи, излагать мысли, делать выводы;
- развитие самостоятельной деятельности учащихся.
Воспитательные задачи:
- воспитание интереса и любви к предмету через содержание учебного материала урока, методов обучения;
- совершенствование умения работать в группе, в паре, взаимопомощи, культуры общения, умения применять преемственность тем математики;
- воспитание таких качеств характера, как настойчивость в достижении цели, умение не растеряться в сложной ситуации, умения анализировать результат и работу по его достижению, делать выводы.
Метод урока: поисково-исследовательский.
Форма работы: работа в группах, индивидуальная и фронтальная.
Оборудование:
мультимедийный проектор,
презентации учащихся,
листочки с копировальной бумагой,
перфокарты,
презентация к уроку (Приложение 8)
Ход урока
I. Организационный момент (Приложение 8, слайд 1)
Добрый день. Я приглашаю вас к сотрудничеству.
Цель урока - совершенствование навыков решения логарифмических уравнений. Мы знаем, что правильно выбранный метод часто позволяет существенно упростить решение, поэтому все изученные методы всегда нужно держать в зоне своего внимания, но для этого нужно хорошо знать свойства логарифмической функции.
II. Графический диктант. На приз Непера. Дети выполняют диктант под копирку. После выполнения один вариант ответов сдают учителю, а другой на взаимопроверку другой группе учащихся.
Немного об изобретателе логарифмов и создателе логарифмических таблиц (Приложение 8, слайд 2).
Джон Непер - шотландец. В 16 лет отправился на континент, где в течение пяти лет в различных университетах Европы изучал математику и другие науки. Затем он серьезно занимался астрономией и математикой. К идее логарифмических вычислений Непер пришел еще в 80-х годах XVI в., однако опубликовал свои таблицы только в 1614 г., после 25-летних вычислений! Они вышли под названием "Описание чудесных логарифмических таблиц". Неперу принадлежит и сам термин "логарифм", который он переводит как "искусственное число". Таблицы и идеи Непера быстро нашли распространение. "Правило Непера" и "Аналогии Непера" можно встретить в так называемой сферической тригонометрии.
Вопросы диктанта (Приложение 8, слайды 3-5)
- Логарифмическая функция у = logax определена при любом х. (^)
- Функция у = logax логарифмическая при а>0, а ≠ 1, х>0. ( _ )
- Областью определения логарифмической функции является множество действительных чисел. (^)
- Областью значений логарифмической функции является множество действительных чисел. ( _ )
- Логарифмическая функция - четная. (^)
- Логарифмическая функция - нечетная. (^)
- Функция у = logax (при основании большем 1) - возрастающая.( _ )
- Функция у = logax при положительном, но меньшем единицы основании, - возрастающая. (^)
- Логарифмическая функция имеет экстемум в точке (1; 0). (^)
- График функции у = logax пересекается с осью Ох. ( _ )
- График логарифмической функции находится в верхней полуплоскости. (^)
- График логарифмической функции симметричен относительно Ох. (^)
- График логарифмической функции всегда находится в I и IV четвертях. ( _ )
- График логарифмической функции всегда пересекает Ох в точке (1; 0). ( _ )
- Существует логарифм отрицательного числа. (^)
- Существует логарифм дробного положительного числа.( _ )
- График логарифмической функции проходит через точку (0; 0). (^)
Ответ: ^_^_^^_^^_^^_ _ ^_^ (Приложение 8, слайд 6)
Выполнили взаимопроверку, получили свои листочки обратно и выставили результат в лист самооценки (Приложение 1)
III. Экспресс-опрос
А.
- Что такое уравнение? (Уравнение - равенство двух алгебраических выражений)
- Что называется корнем уравнения? (Корень уравнения - такое значение переменной, при котором уравнение обращается в верное числовое равенство).
- Какие уравнения называются равносильными? (Уравнения называют равносильными, если они имеют одни и те же корни или не имеют корней вообще)
- Что значит решить уравнение? (Решить уравнение - это значит найти все его корни или доказать, что корней нет)
Б. (Приложение 8, слайд 7)
1. Какие из чисел 5, 0 и - 3 являются корнями уравнения?
| Уравнение | Ответ |
| 53х = 35х | 0 |
| 0 | |
| ln (х2 - 15) = lnx | ни одно из чисел |
2. Равносильны ли уравнения? (Приложение 8, слайд 8)
| Уравнения | Ответ |
| 2х = 256 3х2 - 24х = 0 | нет |
| 2х = 256 log2x = 3 | да |
| lgx2 = 5 2lgx = 5 | нет |
| lgx2 = 5 2lg׀x׀ = 5 | да |
Самостоятельная работа (Приложение 8, слайд 9)
3. Решите уравнение (Приложение 2)
| Уравнение | Ответ |
| 83 | |
| ±5 | |
| корней нет | |
| lnx = ln3 | 3 |
| log9(х - 1)2 = 1 | 4; - 2 |
| 2x+5∙ |
корней нет |
| x∙log3x - log32x = 0 | 2 |
| lg |
0 |
Рядом с каждым уравнением с 1 по 13 указать номер метода, которым можно решить данное уравнение наиболее рационально (Приложение 3)
| № метода | Уравнение | Методы |
| logx2-1(x3+6) = logx2-1(4x2 -x) |
1. Разложение на множители
2. Введение новой переменной 3. Сведение к однородному уравнению 4. Использование свойств функций, входящих в уравнение:
5. Определение логарифма 6. Логарифмирование 7. Потенцирование 8. Применение логарифмических тождеств
|
|
| log2(9-2x) = 3log3(3-x) | ||
| log3(x2-4x+3) = log3(3x+21) | ||
| log4(x2-15x) = 2 | ||
| xlog3x = 9x | ||
| logx(2x2 - 3x - 4) = 2 | ||
| 7lgx = 9 - xlg7 | ||
| 2x = 18 - log2x | ||
IV. Работа в группах
Класс разделен на 3 группы. Дано 4 уравнения (Приложение 4)
2log2х +
+ log0,5x = 9
log4(x+3) + log4(x - 1) = 2 - log48
log4log2
= ![]()
![]()
Проверка проходит по правилам математического боя.
Команда которая первая отвечает на вопрос, имеет право первого хода.
log8x = -
(Ответ:
)
V. Рецензирование (Приложение 8, слайд 10)
Найди ошибку.
lg2x =
lg(x - 15)4
lg2x =
∙ 4lg(x - 15)
lg2x = lg(x - 15)
2x = x - 15
x = - 15
Ответ: Корней нет.
lg2x =
∙ 4lg ׀x - 15׀
lg2x = lg ׀x - 15
x≥15 2x = x - 15
x = - 15
Решений нет
х< 15 2х = - х =15
3х = 15
х = 5
Ответ: 5
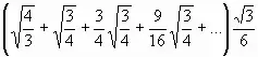
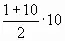
VI. Работа в классе
Решить уравнение (Приложение 8, слайд 11)
= 5,5
log10x + 2log10x + 3 log10x + …+ 10 log10x = 5,5
log10x (1 + 2 + 3 + …+ 10) = 5,5
=
= 55
55 log10x = 5,5
log10x = 0,1
х =
= ![]()
Ответ: ![]()
VII. Презентации учащихся
Доказать, что, если а, в - длины катетов, с - длина гипотенузы прямоугольного треугольника, то
logb+ca + logc-ba = 2logb+calogc-ba (Приложение 5)
Построить график функции у =
(Приложение 6)
VIII. Подведение итога урока.
IX. Домашнее задание (Приложение 8, слайд 12)
1. Решить тренажер (Приложение 7)
Найти х lg
x = 
Приложения
- pril1.doc (37.89 КБ)
- pril2.doc (27.65 КБ)
- pril3.doc (37.38 КБ)
- pril4.doc (20.99 КБ)
- pril5.ppt (693.25 КБ)
- pril6.ppt (446.46 КБ)
- pril7.doc (33.28 КБ)
- pril8.ppt (294.40 КБ)