Тесты по тригонометрии
Вариант № 1
Часть 1
- Выразить в радианах угол α = 20°
1) π/5 2) π/7 3) π/9 4) π/10
- Выразить в градусах угол α = 4π/45
1) 16º 2) 15º 3) 20º 4) 35º
- Какой четверти числовой окружности принадлежит точка t = 19π/4
1) первой 2) второй 3) третьей 4) четвёртой
- Упростить выражение: 3cos2α - 6 + 3sin2α
1) 1 2) -5 3) 3 4) -3
- Найти значение выражения 4cos2x + 2 , если sin2x = 0,6
1) 4,56 2) 3,6 3) 4,6 4) 8,4
- Упростить выражение: sin4α - sin6α + cos2α + cos4α - cos6α
1) cos10α + cos2α 2) 2cos2α 3) cosα - cos6α 4) cos2α + sin10α
- Упростить выражение

1) sinα 2) -sinα 3) 2cosα + sinα 4) cosα + sinα
- Найти область значений функции y = sin2x
1) [-1;1] 2) [-2;2] 3) [0;-2] 4) [-2;0]
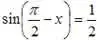
- Найти tgα, если cosα = -2/3 и

- Решить уравнение sin2x = 1/2
Часть 2
- Найти значение выражения
. - Решить уравнение 2sin22x + 7cos2x = 3
- Решить уравнение 6sin2x + sinx - cosx - cos2x = 2
- Найти значение выражения 169sin2x, если cosx = -5/13, -π < x < 0
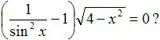
- Сколько корней имеет уравнение

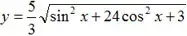
- Найти наименьшее целое значение функции
.
Вариант № 2
Часть 1
- Выразить в радианах угол α = 240°
1) 4π/5 2) 2π/3 3) 4π/3 4) 3π/2
- Выразить в градусах угол α = 5π/36
1) 40º 2) 35º 3) 25º 4) 50º
- Какой четверти числовой окружности принадлежит точка t = -23π/6
1) первой 2) второй 3) третьей 4) четвёртой
- Упростить выражение: 9cos2α - 16 + 9sin2α
1) 2 2) -25 3)-15 4) -7
- Найти значение выражения 3 - 2tg2x · cos2x, если sinx = 0,1
1) 2,8 2) 1,02 3) 2,98 4) 3,02
- Упростить выражение: cos3α - cos2α - cosα - sin3α - sin2α
1) cos5α - cosα 2) 0 3) sinα - cosα 4) cos5α + cosα
- Упростить выражение

1) 3cosα 2) cosα 3) 0 4) 2cosα - sinα
- Найти множество значений функции y = sinx - 3
1) [-4;0] 2) [-4;-2] 3) [-3;3] 4) [-3;-2]
- Найти значение выражения

- Решить уравнение

Часть 2
- Найти значение выражения
. - Решить уравнение 2sin2x + 7cosx + 2 = 0
- Решить уравнение 2sin2x -3sinx · cosx + 3cos2x = 2
- Найти значение выражения 5sin2x, если

- Сколько корней имеет уравнение

- Найти наибольшее целое значение функции

Вариант № 3
Часть 1
- Выразить в радианах угол α = 50°
1) 3π/5 2) 6π/7 3) 4π/9 4) 5π/18
- Выразить в градусах угол α = 49π/36
1) 230º 2) 245º 3) 240º 4) 265º
- Какой четверти числовой окружности принадлежит точка t = 37π/4
1) первой 2) второй 3) третьей 4) четвёртой
- Упростить выражение: -3cos2α + 8 - 3sin2α
1) 5 2) -5 3)3 4) -3
- Найти значение выражения 3 + 2tg2x · cos2x, если sinx = 0,3
1) 3,18 2) 3,6 3) 4,8 4) 4,82
- Упростить выражение: cos5α · cos7α - cosα + sin5α · sin7α
1) cos12α - cosα 2) sin12α - cosα 3) sin2α - cosα 4) cos2α - cosα
- Упростить выражение

1) sin2α 2) cos2α 3) 3cos2α 4) cos3α
- Найти множество значений функции y = 3sinx - 2
1) [-5;1] 2) [-1;1] 3) (-∞; +∞) 4) [-1;5]
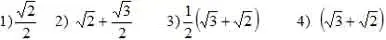
- Найти значение выражения

1) √3 2) √3 + 1 3) 1/2 + 3√3 4) 1
- Решить уравнение 2cos2x - 3sinx = 1/2
Часть 2
- Найти значение выражения

- Решить уравнение 2sin2x + 1 = 5cosx
- Решить уравнение 4sin2x + sinx - cosx + cos2x = 2
- Найти значение выражения 26sin2x, если

- Сколько корней имеет уравнение

- Найти наибольшее целое значение функции

Вариант № 4
Часть 1
- Выразить в радианах угол α = 315°
1) 7π/4 2) 4π/7 3) 5π/9 4) 3π/10
- Выразить в градусах угол α = 13π/9
1) 245º 2) 250º 3) 275º 4) 260º
- Какой четверти числовой окружности принадлежит точка t = 27π/4
1) первой 2) второй 3) третьей 4) четвёртой
- Упростить выражение: 1,5cos2α - 6,5 + 1,5sin2α
1) 1 2) -5 3)3 4) -3
- Найти значение выражения 7sin2x - 3, если cos 2x = 0,7
1) 1 2) -0,9 3) -1,2 4) -1
- Упростить выражение: 2cosα - cosα + sin2α - sinα - sin(α - 6π)
1) cos3α + sinα 2) 2sinα 3) 0 4) cos3α - sinα
- Упростить выражение

1) sin2x 2) -sin2x 3)
4) cos2x
- Найти множество значений функции y = cosx - 3
1) [-1;1] 2) [2;4] 3) [-4;-2] 4) [-3;-2]
- Найти значение выражения

1)1,5 2) 2√3 3) 1 - √3 4) 0,5
- Решить уравнение 2cos 2x - 3sinx = 0
Часть 2
- Найти значение выражения

- Решить уравнение 2cos 2x + 9sinx = 6
- Решить уравнение 4sin2x - 4sinx - cosx + 6cos2x = 3
- Найти значение выражения 7tg2α, если

- Сколько корней имеет уравнение

- Найти наименьшее значение функции

Вариант № 5
Часть 1
- Выразить в радианах угол α = 210°
1) 7π/5 2) 5π/7 3) 7π/6 4) 4π/5
- Выразить в градусах угол α = 19π/9
1) 320º 2) 365º 3) 380º 4) 375º
- Какой четверти числовой окружности принадлежит точка t = 31π/3
1) первой 2) второй 3) третьей 4) четвёртой
- Упростить выражение: 10cos2α - 7 + 10sin2α
1) 1 2) -5 3)3 4) -3
- Найти значение выражения 6sin2x - 3, если cos2x = 0,3
1) -1,4 2) -0,2 3) 1,2 4) 0,8
- Упростить выражение: sin3α - cos2α + sin2α - cos3α - cos(2π -α)
1) cos3α + sinα 2) 2sinα 3)0 4) cos3α - sinα
- Упростить выражение

1) -6sinx 2) 2sinx 3) 3cosx - sinx 4) -2sinx
- Найти множество значений функции y = sinx + 2
1) [-1;1] 2) [0;2] 3) [1;3] 4) [2;3]
- Найти значение tgα, если

1) -2 2) 2 3) 0,5 4) -0,5
- Решить уравнение 1 + 2cosx - sin2x = 0
Часть 2
- Найти значение выражения

- Решить уравнение 2cos2x = 11sinx + 7
- Решить уравнение sin2x - 2sinx - cosx = cos2x + 1
- Найти значение выражения

- Сколько корней имеет уравнение

- Найти наибольшее целое значение функции

Вариант № 6
Часть 1
- Выразить в радианах угол α = 330°
1) 11π/6 2) 11π/5 3) 10π/9 4) 9π/10
- Выразить в градусах угол α = 2π/5
1) 72º 2) 75º 3) 65º 4) 52º
- Какой четверти числовой окружности принадлежит точка t = -41π/3
1) первой 2) второй 3) третьей 4) четвёртой
- Упростить выражение: 13cos2α - 15 + 13sin2α
1) 2 2) -2 3) 0 4) 28
- Найти значение выражения 5cos2x - 3, если sin2x = 0,2
1) 1,2 2) 2,1 3) -1 4) 1
- Упростить выражение: sin2,5α - cos1,5α + sin1,5α - cos2,5α + cos(4π - α)
1) sin4α - cosα 2) sinα + cosα 3) sinα - cosα 4) cosα + sin4α
- Упростить выражение

1) sinα 2) cosα 3) cosα + 2sinα 4) 2cosα + sinα
- Найти наибольшее значение функции y = 2cosx - 14
1) -16 2) 2 3) -14 4) -12
- Найти значение выражения

- Решить уравнение

Часть 2
- Найти значение выражения

- Решить уравнение cos2x + 2 sinx = 2
- Решить уравнение 8sin2x + 3sinx - cosx + cos2x = 3
- Найти значение выражения

- Найти сумму корней уравнения
принадлежащих промежутку [0; -2π] - Найти наименьшее целое значение функции
