Зависимость силы тока от напряжения. Электрическое сопротивление. Лабораторная работа "Определение сопротивления проводника при помощи амперметра и вольтметра"
Урок №16, 17
Зависимость силы тока от напряжения. Электрическое сопротивление.
Лабораторная работа “Определение сопротивления проводника при помощи амперметра и вольтметра”.
Цель:
- Показать зависимость I от U.
- Дать понятие о сопротивлении R.
- Научить измерять сопротивление R.
Ход урока.
1. Повторение:(5 мин)
Что называется напряжением U - ?
Физический смысл 220В.
Каким прибором измеряется напряжение U?
Как он включается?
Как узнать цену деления?
Единицы измерения напряжения U - ?
Формула напряжения U - ?
2. Самостоятельная работа.(10 мин.)
Вариант I
I (1) Величина, равная ... называется электрическим напряжением.
1. произведению мощности на силу тока,
2. отношению мощности к силе тока,
3. отношению работы к силе тока,
II (1) В каких единицах выражается напряжение?
1. Амперах.
2. Вольтах.
3. Джоулях.
4. Ваттах.
III (1) Выразите 0,35 В в милливольтах.
1. 35 мВ;
2. 350 мВ;
3. 3500 мВ;
4. 0,035 мВ.
IV (1) Сколько киловольт в 750 В?
1. 750000 кВ;
2. 0,75 кВ;
3. 75 кВ;
4. 7,5 кВ.
Рассмотрите рисунок 1 и ответьте на вопросы.
V (1) Какой предел измерения вольтметра?
1. До 16 В;
2. До 15 В;
3. До 4 В;
4. До 40 В;
5. До 3 В.
VI (1) Какова цена деления шкалы вольтметра?
1. 4 В;
2. 2,5 В;
3. 0,2 В;
4. 0,25 В;
5. 3 В.
VII (1) Какое напряжение на лампе?
1. 1,2 В;
2. 1,1 В;
3. 1,3 В;
4. 1,5 В;
5. 1,75 В.
VIII (2) Какая из схем, изображенных на рисунке 2, соответствует цепи, изображенной на рисунке 1?
1-я.
2. б.
3. в.
4. г.
5. Такой схемы нет.

Рис. 1

Рис. 2

Рис. 4 Рис. 3
IX (1) Как следует включить амперметр и вольтметр (рис. 3)?
1. Вместо С — амперметр, вместо О — вольтметр.
2. Вместо О — амперметр, вместо С — вольтметр.
X (2) Как следует включить амперметр и вольтметр (рис. 4)?
1. Амперметр к аб плюсом к а, вольтметр к
тп плюсом к п.
2. Амперметр к тп плюсом к т, вольтметр к аб
плюсом к а.
3. Амперметр к аб плюсом к б, вольтметр к тп
плюсом к т.
4. Амперметр к тп плюсом к п, вольтметр к
аб плюсом к б.
Вариант II
На рисунке 1 изображены условные обозначения, применяемые на схемах. Каким номером обозначены ...
I (1) батарея элементов 1. Первым.
или аккумуляторов? 2. Вторым.
II (1) соединение проводов? 3. Третьим.
4. Четвертым
III (1) зажимы для подключения 5. Пятым.
какого-либо прибора?
IV (1) генератор или электродвигатель?
V (1) элемент или аккумулятор?
VI (2) источники электроэнергии?
VII (2) потребители или приемники электроэнергии?
VIII (2) Из каких частей состоит электрическая цепь, изображенная на рисунке 2?
1. Элемент, кнопка, лампа, провода.
2. Батарея элементов, звонок, кнопка, провода.
3. Батарея элементов, лампа, кнопка, провода.
4. Элемент, кнопка, звонок, провода.

Рис. 1

Рис. 2
На доске оформить решение задач упр. 16 (1, 2, 3) из учебника А.В. Перышкина “Физика – 8”
3. Объяснение нового материала.(20 мин.)

Вопрос: Что изображено на схеме?
Какие приборы?
Учитель: Изменяя силу тока, можно регулировать действие тока (химические, магнитные, тепловые). Значит надо знать, от чего зависит сила тока.
На столе собрана цепь по схеме.
Учитель: Замыкаем цепь и отмечаем показания I и U. Чертим таблицу на доске и строим графики. (Учащиеся выполняют таблицы и графики в тетрадях).
I. Дроссельная катушка на 15 В.

II. Дроссельная катушка на 25 В.

III. Дроссельная катушка (15+25)

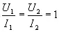
Учитель: Обсудим эти результаты, они интересны: U ~ I. Напряжение на участке цепи пропорционально силе тока на участке цепи.
Однако коэффициент пропорциональности различен. Покажем это. (Учащиеся выполняют действия в тетрадях).
I. ![]()
II. ![]()
III. ![]()
Учитель: Сила тока и напряжение менялись, а коэффициент пропорциональности остается неизменным!
Он изменяется только тогда, когда мы меняем потребитель.
Коэффициент пропорциональности отражает какое-то свойство проводника. Его назвали электрическим сопротивлением R.
Итак, запишите в тетрадях:
Вывод №1. На участие цепи напряжение пропорционально силе тока U ~ I.
Вывод №2. Проводники обладают сопротивлением R.
Вывод №3. Способ определения R – с помощью амперметра
вольтметра R= ![]()
Демонстрируем Омметр (тестер) и объясняем, как им пользоваться, чтобы измерять сопротивление проводника.
Учитель: Ответьте на вопрос. Верно ли утверждение, что сопротивление проводника зависит от напряжения U и силы тока I?
Учащиеся: Нет. Неверно. Сопротивление проводника зависит от свойств самого проводника, а от силы тока и напряжения на участке цепи не зависит.
Учитель: А теперь определим единицы измерения сопротивления и запишем в тетрадях.
![]()
За единицу сопротивления принимают 10м – сопротивление такого проводника, в котором при напряжении на концах 1В сила тока равна 1А.
Вопрос: Как вы понимаете R=100 Ом?
Применяют и другие единицы сопротивления, запишите:
1 мОм = 10-3Ом
1 кОм = 103Ом
1 мОм = 106Ом
Учитель: Сопротивление взрослого человека между кистями рук 15 000 Ом = 15 кОм
Лампочка карманного фонаря
25 Ом.
Учитель: В чем причина сопротивления проводника?
Ответ: Причиной сопротивления является взаимодействие движущихся электронов с ионами кристаллической решетки
- Закрепление:(5 мин.)
Решение устно задач из учебника А.В. Перышкина “Физика – 8” упражнение №18 (1, 2, 3)
- Лабораторная работа (38 мин.)
“Определение сопротивления проводника при помощи амперметра и вольтметра”.
- Задание на дом:(2 мин.)
- Параграф 42, 43 учебник А.В. Перышкина
- Задачник В.И. Лукашик №1030-1038