Открытый урок по теме: "Водяной пар в атмосфере. Влажность воздуха"

09.01.2006

Учебно-воспитательные задачи.

  • Дидактическая цель: дать понятие об атмосферной и относительной влажности воздуха и их определений, а так же познакомиться с составом атмосферы Земли и Солнечной системы.
  • Воспитательная цель:
    • рассказать студентам о решении проблемы сохранения природы и, в частности, о недопущении загрязнения атмосферы Земли отработанными газами промышленных предприятий и автомобильного транспорта;
    • напомнить студентам о роли растений в обогащении атмосферы Земли кислородом и об обязанностях каждого человека Земли беречь, охранять и расширять растительный мир нашей планеты.

Основные знания и умения:

  • Знать формулу, определение и единицы абсолютной и относительной влажности воздуха, а также точку росы; строение земной атмосферы.
  • Уметь пользоваться гигрометром и психрометром, психрометрическими таблицами и таблицами плотности насыщенных водяных паров.
  • Уметь решать задачи по определению абсолютной и относительной влажности воздуха.

Последовательность изложения нового материала:

  • Водяной пар в атмосфере.
  • Абсолютная и относительная влажность воздуха. Точка росы.
  • Устройство и принцип действия конденсационного, волосного гигрометров и психрометра.
  • Значение влажности воздуха в природе, технике, с\х и жизни человека.
  • Атмосфера Земли. Парниковый эффект. Атмосферы других планет Солнечной системы. Охрана природы.

Оборудование:

  • конденсационный гигрометр,
  • термометр,
  • эфир,
  • психрометр,
  • волосной гигрометр,
  • телевизор,
  • в/ф,
  • плакаты,
  • таблицы:
    • психрометрическая таблица;
    • давление насыщающих водяных паров и их плотность при различных температурах.

Демонстрации: устройство и принцип действия конденсационного и волосного гигрометров, психрометра; опытное определение точки росы и относительной влажности при помощи психрометра.

Мотивация познавательной деятельности студентов:

– Влажность воздуха является одним из основных факторов, определяющих состояние погоды и климата, а поэтому знания о влажности воздуха необходимы в прогнозировании погоды. Большое практическое значение имеет умение измерять и регулировать содержание в воздухе водяных паров, т.е. влажность воздуха.
Эти знания необходимы в металлургии, различных технологических процессах, архивах, книгохранилищах, при сушке зерна, фруктов и т.п.

Тема урока: “Водяной пар в атмосфере”.

– Если есть какой-нибудь предмет, который представляет интерес для всех, то это, вероятно погода. Говорят, что погода является самым величественным спектаклем на Земле, в котором участвуют только три актера: солнечная радиация, влага и воздух.

Погода не только является темой многих праздных разговоров, но она также часто определяет наше поведение. В зависимости от погоды мы решаем, поехать ли на пикник, пойти ли на каток, покататься ли на лодке, пойти ли поплавать или пройтись на лыжах. По климату можно судить, какую одежду носят люди, что они едят и в каких жилищах живут. В зависимости от погоды каникулы могут быть очень приемлемыми или неудачными. Погода действует на здоровье, самочувствие и благополучие всего населения.

Т.е. по целому ряду соображений нам следует знать о погоде больше, чем необходимо для приятной беседы на эту тему. Более или менее произвольно погоду определяют как атмосферные условия, существующие в определенном месте и в определенное время. Климат включает все виды погоды, которые наблюдались в данном пункте за большой период времени. Климат данного района остается достаточно постоянным из года в год, но погода может резко измениться за день или даже за несколько часов. Что же вызывает эти изменения?

В атмосфере в среднем содержится 24.1016 м3 водяного пара. И хотя его доля составляет меньше 1% от общей массы атмосферы, его влияние на погоду, климат, самочувствие людей очень велико.

Главный источник водяного пара в атмосфере – испарение воды с поверхности океанов, морей, водоемов, влажной почвы, растений, поэтому в атмосфере Земли всегда содержится водяной пар.

В течение года в атмосферу Земли испаряется около 500000 км3 воды, т.е. количество воды, почти равное количеству воды в Черном море, и около 1/4 этой воды выпадает в виде осадков на сушу. При этом образуются облака, туман, осадки, роса.

При конденсации влаги выделяется количество теплоты, равное количеству теплоты, затраченному на испарение. Этот процесс приводит к смягчению климатических условий в холодных районах. Конечно, количество водяных паров в воздухе не везде одинаково. Воздух может быть сухой и влажный.

При одной и той же температуре содержание в нем водяного пара (влажность воздуха) может изменяться в широких пределах: от максимально возможного (насыщенный пар) до нуля (абсолютно сухой воздух). Вблизи водоемов воздух более влажный, чем в глубине материков.

Величина, характеризующая содержание водяных паров в различных частях атмосферы Земли, называется влажностью воздуха.

Степень влажности воздуха имеет большое влияние на многие процессы, протекающие на Земле, например на развитие флоры и фауны.

Существенное влияние оказывает влажность на урожай с/х культур, на урожайность животноводства. Важную роль играет влажность воздуха и во многих отраслях современной техники, например, в процессах сушки изделий, при хранении готовых изделий, а также в книгохранилищах, музеях и т.д. Следовательно, измерение и регулирование влажности имеет большое практическое значение.

Для количественной оценки влажности воздуха используют абсолютную и относительную влажность воздуха.

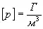
Абсолютную влажность воздуха измеряют плотностью водяного пара , находящегося в воздухе, или его давлением Pa.

Если температура низка, то данное количество водяного пара в воздухе может оказаться близким к насыщению, воздух будет сырым. При более высокой температуре то же количество водяного пара далеко от насыщения, воздух – сухой.

Для суждения о степени влажности важно знать близок или далек водяной пар, находящийся в воздухе от состояния насыщения.

Для этого вводят понятие относительной влажности – ведь она дает более ясное представление о степени влажности воздуха.

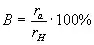
Относительная влажность воздуха измеряется числом, показывающим, сколько процентов составляет абсолютная влажность от давления водяного пара PН, насыщающего воздух при имеющейся у него температуре.

или

При вычислении относительной влажности значения PН и rН надо брать из таблицы VIII стр. 313. Задачник под редакцией Гладковой Р.А.

Пусть абсолютная влажность воздуха в нашей ситуации при t0 = 220.

t0 = 220 упала t0 до 100 t0 = 100 если t0 = 60 (ночью)




пар далек от насыщения пар насыщен водяным парами

0,110-3 кг/м3 сконденсируется, т.е. выпадет роса.

Из примеров видно, что ненасыщенный пар превращается в насыщенный при понижении температуры.
Температура, при которой воздух в процессе своего охлаждения становится насыщенным водяными парами, называется точкой росы.
В нашем примере чему равна точка росы?
Верно! 100С

Оказывается, по известной точке росы абсолютную влажность воздуха r А можно найти по этой же таблице, т.к. она равна плотности насыщающего пара r Н при точке росы.
Найдя затем по этой же таблице r Н для данной температуры воздуха, можно по формуле найти абсолютную влажность.

Напоминаю, что при отсутствии центров конденсации, пар может стать пересыщенным. Поэтому чистый воздух может охлаждаться ниже точки росы, а находящийся в нем пар конденсироваться не будет.

Вставка:

Относительная влажность влияет не только на условия погоды, но также и на здоровье и самочувствие.
Так, например, можно чувствовать себя вполне хорошо при t0 = 25–300C и относительной влажности 25%.
С другой стороны, при той же температуре можно иметь плохое самочувствие, ощущая жару и чувствуя подавленность, при B = 80% или
B = 90%.
Или например, если температура воздуха 180С, а B = 25%, можно ощущать холод, хотя при той же температуре и влажности в 60% можно иметь вполне хорошее самочувствие.

Как объяснить различное самочувствие вследствие различия относительной влажности при одинаковой температуре?

Если воздух сухой и B  мала – испарение, а потому и охлаждение, происходят быстро. Но если воздух влажен, т.е. B высока – испарение происходит очень медленно, так что охлаждение незначительно.

Экспериментами установлено, что для хорошего самочувствия и здоровья необходимо, чтобы относительная влажность была в пределах от 40% до 60%.

Порою в зимние месяцы в наших домах, техникумах B часто не превышает 10% или 20%. Такие условия вызывают быстрое испарение и высыхание слизистой оболочки носа, горла и легких, что приводит к простудным и другим заболеваниям органов дыхания.

– Как поддерживать в жилом помещении достаточную для хорошего самочувствия относительную влажность? (Чаще делать влажную уборку)

Если воздух сухой (B мала), то испарение, а, следовательно, и охлаждение происходят быстро. Если воздух влажный (B велика), то испарение происходит медленно и охлаждение незначительно.

Тема урока: “Влажность воздуха”.

Под влажностью воздуха понимается содержание водяных паров в воздухе. (За 1 год на Земле испаряется 4,25·1014 т воды).

1. Абсолютной влажностью воздуха называется количество водяных паров, содержащихся в единице объема воздуха (1м3), т.е. плотность паров воды, содержащихся в воздухе.

 

2. Относительной влажностью воздуха называется отношение абсолютной влажности к тому количеству водяного пара, которое необходимо для насыщения 1 м3 воздуха при данной температуре.

или

(В метеорологии влажность оценивается по давлению водяного пара в мм.рт.ст.)

3. Температура, при которой ненасыщенный ранее воздух становится насыщенным, называется точкой росы (tp).

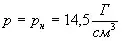
Днем температура воздуха 200С, к вечеру при температуре 170С на почве появилась роса, так как при 170С абсолютная влажность воздуха стала равной плотности насыщенности пара (), а относительная влажность стала равна 100%.

4. Приборы для определения влажности и точки росы:

а) гигрометры: волосяной (); конденсационный (tр и р),
б) психрометр (;р).

5. Субъективное ощущение влажности воздуха человеком

6. Использование и учет:

а) в метеорологии;
б) при хранении продуктов и материалов;
в) в хранении произведений искусств;
г) в проектировании строительных сооружений, машин, механизмов, подвергающихся воздействию влаги.

Приборы для определения влажности воздуха

Большинство приборов для определения влажности воздуха называется гигрометрами (от греческого “гигрос” – влажный)

1. Конденсационный гигрометр состоит из укрепленной на подставке металлической круглой коробочки с отполированной плоской поверхностью.

2. Волосяной гигрометр состоит из обезжиренного человеческого волоса, один конец которого закреплен на стойке, а другой перекинут через небольшой блок.

3. Психрометр (от греческого прихриа – холод) сделан из двух одинаковых термометров.

Фронтальный опрос           Приложение 1
Решение задач         Приложение 2
Башкирские приметы и физика          Приложение 3
Задание на дом         Приложение 4


a_id: 310866