Урок математики по теме "Свойства степени с рациональным показателем"
Цели урока:
- Обобщить теоретические знания по теме “Свойства степени с рациональным показателем”.
- Рассмотреть решение типовых заданий.
- Закрепить и усовершенствовать навыки применения свойств степени с рациональным показателем.
- Формировать навыки самоконтроля.
Ход урока
1) Организационный этап.
Приветствие. Сообщение темы урока и целей урока.
2) Повторение теоретического материала по теме “Определение и свойства степени с рациональным показателем”.
Проверка знаний теоретического материала проводится по карточкам: на доске в одном столбике находятся левые части равенств, а во втором столбике – правые части в произвольном порядке. Учащиеся должны правильно соотнести части равенств. Если учащиеся не называют какое-либо свойство, то его напоминает учитель. После завершения опроса учащиеся заносят полученные равенства в тетрадь.
| 1. an * am = a n+m | 4. |
6. a o =1 |
| 2. an : am =
|
5. (aв)n = an * an | 7. a 1 = a |
| 3. (a n) m = an* m | 8. a –n = |
3) Устная работа.
№1 Вычислите:
| 1) -5-6 | 4) -9+9 | 7) -5 * 4 | 10) -1,2 * (-5) | 13) |
| 2) -5-(-6) | 5) -56+49 | 8) -4 * (-9) | 11) -5,2+2,9 | 14) |
| 3) -6+4 | 6) 7-19 | 9) 0,3 * 4 | 12) 3,6-1,9 | 15) |
№2 Упростите выражение: 1) 5а+4а 2) 3в-5в 3) -2с-с
4) Решение задач по теме “Свойства степени с рациональным показателем”.(учащиеся записывают решение в тетради, один ученик работает у доски)
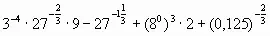
№1 Вычислите:
| 1) 32
2) 63 3) 40 4) 51 |
5) 7-2
6) 9 7) 8 |
8) 25 9) 10) |
№2. Вычислите:
1) 5 * 64
+0,70;
2) -17 * 125
+18; 3)
* 125
.
5) Решение упражнений: (учитель записывает решение на доске с подробным объяснением)
1. Представьте в виде степени выражение: ![]()
![]()
![]()
2. Представьте в виде степени выражение:
:![]()
:![]()
![]()
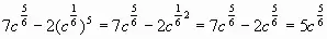
3. Упростите выражение: ![]()
![]()
4. Упростите выражение: ![]()
![]()
5. Упростите выражение:
:![]()
:![]()
6. Упростите выражение: ![]()
![]()
7. Упростите выражение: ![]()
![]()
8. Упростите выражение: ![]()
![]()
9. Найдите значение выражения:
при
а =![]()
![]()
Если а =
, то ![]()
10. Найдите значение выражения:
:
при p= ![]()
: ![]()
![]()
Если
, то ![]()
6) Самостоятельная работа с самопроверкой.
( Учащимся выдаются тренировочные упражнения в виде теста, которые необходимо подробно решить за 15-20 минут. После завершения работы учащиеся проверяют правильность по предложенному эталону с подробным решением. Эталон можно изготовить в виде карточки или вывести на демонстрационный экран через проектор. Учащиеся, выполнившие даны упражнения раньше остальных, получают дополнительное задание.)
Тренировочные задания.
1. Упростите выражение: ![]()
| 1) |
2) |
3) |
4) |
2. Упростите выражение: ![]()
| 1) 6 |
2) 2 | 3) 0,7 | 4) |
3. Упростите выражение: ![]()
| 1) |
2) |
3) |
4) |
4. Найдите значение выражения:
при ![]()
| 1) 256 | 2) 32 | 3) 8 | 4) 4 |
5. Найдите значение выражения:
при n = 8
| 1) |
2) 64 | 3) 16 | 4) |
6. Представьте в виде степени выражение: ![]()
| 1) |
2) 32 | 3) |
4) |
7. Представьте в виде степени выражение:
:
![]()
| 1)1-3 | 2) |
3) |
4) 6-3 |
Дополнительные задания:
1. Упростите выражение: (![]()
2. Упростите выражение: (
:![]()
3. Найдите значение выражения:
при х = -0,5
4. Найдите значение выражения:
при х = -0,5.
7) Итог - проверочный тест ( 15 -20 минут)
Критерии оценивания:
- “5” - 9 заданий
- “4” - 7-8 заданий
- “3” - 5-6 заданий
| I вариант | II вариант |
| 1. Упростите выражение: |
1. Упростите выражение: |
| 1) 1,6 2) 9 3) |
1) 2,7 2) 134 3) 132,7 4) 4 |
| 2. Найдите значение выражения:
|
2. Найдите значение выражения:
|
| 1) |
1) |
| 3. Упростите выражение: |
3. Упростите выражение: |
| 1) 16 |
1) 8 |
| 4. Упростите выражение:
|
4. Упростите выражение:
|
| 1) |
1) 2,5 2) 5 3) 25 4) 625 |
| 5. Представьте в виде степени выражение:
|
5. Представьте в виде степени выражение:
|
| 1) |
1) |
| 6. Представьте в виде степени выражение:
|
6. Представьте в виде степени выражение:
|
| 1) 43 2) |
1) 100-1 2) 10-1 3)
|
| 7. Упростите выражение: |
7. Упростите выражение: |
| 1) |
1) |
| 8. Упростите выражение: |
8. Упростите выражение: |
| 1) 14 |
1)24 |
| 9. Упростите выражение: |
9. Упростите выражение: |
| 1) |
1) |
8) Домашнее задание: ( распечатать задание для каждого ученика на отдельных листах)
1. Упростите выражение: ![]()
| 1) |
2) |
3) |
4) |
2. Упростите выражение: ![]()
| 1) 7 |
2) 1,8 | 3) 3 | 4) 7 1,8 |
3. Упростите выражение: ![]()
| 1) |
2) |
3) |
4) |
4. Найдите значение выражения:
при ![]()
| 1) 27 | 2) 4,5 | 3) 3 | 4) 81 |
5. Найдите значение выражения:
при с = 4
| 1) |
2) |
3) 8 | 4) 16 |
Дополнительные задания:
Вычислите:
1) ![]()
2) 