Виды самостоятельных работ
Обучающие самостоятельные работы делятся на две группы: работы по формированию знаний и работы по формированию умений. Цель, которую предопределил преподаватель при составлении работы, определяет ее назначение.
Работы по формированию знаний
Работа по формированию знаний проводятся на этапе подготовки к введению нового материала. Необходимо создавать условия для активного восприятия нового материала, которые позволяют учащимся осознать и прочно запомнить новые сведения: определения и теоремы, символы и формулы, последовательность действий.
Цель работ по формированию знаний состоит в том, чтобы в процессе самостоятельной деятельности учащихся довести до сознания ученика содержание нового понятия, раскрыть его необходимые признаки, показать связь с ранее изученным материалом. Эти работы проводятся при первичном закреплении знаний, т.е. сразу после объяснения нового материала.
Задания в работах по формированию знаний, как правило, должны быть репродуктивного характера. При выполнении этих работ деятельность ученика элементарна: происходит простое воспроизведение изученного. Однако эти работы способствуют накоплению опорных фактов, так необходимых в дальнейшем изучении материала, осознанию и прочному запоминанию новых сведений.
На начальном этапе формирования знаний можно разрешать пользоваться учебником, записями в тетради.
Поскольку самостоятельные работы по формированию знаний проводятся сразу после объяснения нового материала, то их проверка своевременно дает учителю картину понимания учащимися нового материала на самом раннем этапе его изучения.
Карточка
1. Вставьте пропущенные слова:
а) Число 5___________ арифметическим квадратным корнем числа 25.
б) Число - 3 ___________ арифметическим квадратным корнем числа 9.
2. Верно ли, что:
а)
25 = 5;
б)- 16= - 4;
в)9 = - 3;
г) -25 = - 5;
д)9 = 3;
е) -9 = -3.
3. Запишите с помощью знака v арифметические квадратные корни из трех различных чисел.
Работы по формированию умений
Работы по формированию умений проводятся на этапе закрепления знаний.
Цель работы по формированию умений состоит в том, чтобы в процессе самостоятельной деятельности совершенствовались приобретенные учащимися навыки выполнения тождественных преобразований, решения уравнений, неравенств, различного рода задач. Эти работы могут проводится на каждом уроке.
Осуществляя подбор заданий для работ по формированию умений, следует учитывать требования к системе упражнений, направленной на формированию умения применять тот или иной прием.
При составлении заданий для таких работ следует исходить из принципа "от простого к сложному". Содержание и порядок вопросов и заданий в работе должны определять течение мысли учащегося, фиксировать внимание на трудных моментах, вырабатывать логику суждений. Каждое предыдущее задание должно помогать выполнять последующее, а последующее - готовить к восприятию новых заданий и закреплять предыдущие.
Карточка
Используя формулы сокращенного умножения, преобразуйте выражение:
а) (а + в) (а - в);
б) (4х - у2) (4х + у2);
в) 100 - х2;
г) 16а2 - в2.
Выполнение первого задания поможет ученику выполнить следующее задание, в котором, помимо знания тождества, необходимо уметь возводить в квадрат одночлены. Предъявление заданий в такой последовательности вряд ли вызовет затруднения у учащихся.
Карточка
1. Представить в виде степени произведение:
а) х 3у2;
б) (2а)3 (2а)7;
в) 34 38;
2. Представить в виде степени с основанием х выражение:
а) х4х7;
б) (- х5)3;
в) (х8)4;
г) (х3)k.
3. Сравните значения выражений:
а) 213 и 46;
б) 56 и 253.
Проверочные самостоятельные работы
Важным и чрезвычайно тонким моментом учебно-воспитательного процесса как для учителя, так и для ученика является контроль за знаниями учащихся.
Контроль за знаниями учащихся имеет обучающее и воспитывающее значение, способствует более глубокому изучению учащимися основ наук, совершенствованию их знаний и умений, развитию их общеучебных умений и навыков.
После того как материал хорошо усвоен и учащиеся без особых затруднений справляются с самостоятельными работами обучающего характера, необходимо проверить и оценить приобретенные ими знания. Контролирующие работы целесообразно проводить после логически завершенных циклов учебного материала, что дает возможности проверить степень усвоения материала учащимися в каждом из этих циклов.
Письменную проверку знаний и умений необходимо проводить на различных этапах усвоения изученного, что дает возможность несколько раз получить информацию об усвоении одного и тогоже материала.
Поскольку проверочные работы проводятся после отработки основных умений и навыков, то нет необходимости включать в эти работы задания только репродуктивного характера. Основа проверочных работ - задания реконструктивного характера. В тоже время в проверочных работах не следует включать задания сложнее тех, которые выполнялись на уроках и дома.
Порядок расположения заданий в проверочных работах не играет такой роли, как в обучающих, так как проверяемые знания и навыки отработаны.
Тема: логарифмические уравнения.
Решите уравнение
|
3) lg (x-1) + lg (x+1)=0
|
|
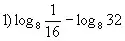
Вычислите:
|
1) 2)
|
|
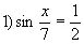
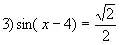
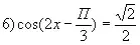
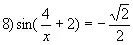
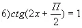
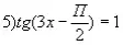
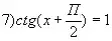
Тема: тригонометрические уравнения
|
Карточка 1
|
Карточка 3
|
|
Карточка 2
|
Карточка 4
|
Тема: прямые и плоскости в пространстве.
|
Вариант 1
1. На рисунке найдите прямые, которые будут параллельными. Дайте определение параллельным прямым в пространстве. Сделайте чертеж.
|
Вариант 2
1. На рисунке найдите прямые, которые будут скрещивающимися. Дайте определение скрещивающимся прямым. Сделайте чертеж.
|
|
2. Дан куб АВСДА1В1С1Д1.
а) Найдите прямую пересечения плоскостей А1В1С1 и ВВ1С1;
|
2. Дан куб АВСДА1В1С1Д1.
а) Найдите прямую пересечения плоскостей АДД1 и АДС.
|
| 3. Плоскость |
3. Плоскость |
|
4. По чертежу определите плоскости, которые будут параллельными. Дайте определение параллельных плоскостей. Сделайте чертеж.
|
4. Дан куб АВСДА1В1С1Д1. Как расположены плоскости АВС и А1В1С1? Дайте определение этим плоскостям.
|
| 5. В пространстве даны три точки М, К, Р такие что, МК = 13с м,
МР = 14 см, КР = 15 см. Найдите площадь треугольника МКР. |
5. В пространстве даны три точки А, В, С такие что, АС = 13 см, АВ = 14 см, ВС = 16 см. Найдите площадь треугольника АВС. |



