Урок-практикум по теме: "Тригонометрические уравнения"
Цели урока:
- Закрепление навыка решения тригонометрических уравнений.
- Развитие логического мышления, умение работать в проблемной ситуации.
- Воспитание активности, желания работать до конца, содействовать побуждению интереса к математике.
Девиз: Авось да как - нибудь до добра не доведут.
ХОД УРОКА.
- Сообщение темы и постановка целей урока.
- Индивидуальные задания по карточкам (сильным учащимся).
- Устная работа.
- Проверка работы по карточкам.
- Студенты записывают число, тему занятия.
- Пятиминутка.
- Решение уравнений.
- Практическая работа (работа в группах или парами).
- "Трудная задача".
- Сообщение "Из истории тригонометрических уравнений".
- Подведение итогов. Выставление оценок.
- Домашнее задание.
- Сообщение темы и постановка целей урока
I. Сообщение темы и постановка целей урока.
Лев Николаевич Толстой:
ГЛАВНОЕ УСЛОВИЕ ДЛЯ ДЕЯТЕЛЬНОСТИ ЕСТЬ ПОРЯДОК.
Михаил Васильевич Ломоносов:
МАТЕМАТИКУ УЖЕ ЗАТЕМ УЧИТЬ СЛЕДУЕТ,
ЧТО ОНА УМ В ПОРЯДОК ПРИВОДИТ.
Тема нашего занятия: "Тригонометрические уравнения"
Цели нашей деятельности:
- закрепить навыки решения простейших тригонометрических уравнений;
- научиться решать более сложные тригонометрические уравнения;
- выделить основные методы решений.
II. Индивидуальные задания
Решить уравнения:
1. ![]()
2. ![]()
3. ![]()
4. ![]()
III. Устная работа
1. Какие уравнения называются тригонометрическими? (В которых неизвестные стоят под знаками тригонометрических функций).
2. Какие уравнения называются простейшими тригонометрическими уравнениями?
3. Что значит решить простейшее тригонометрическое уравнение?
4. Как решаются уравнения вида:
,
,
,![]()
5. Сформулировать определение арксинуса числа
.
6. Сформулировать определение арккосинуса числа
.
7. Сформулировать определение арктангенса числа
.
8. Сформулировать определение арккотангенса числа
.
9. Для каких чисел определен:
числа
10. Работа с тригонометром! (таблица)
11. Вычислить:
12. Упростить
Решить простейшее тригонометрическое уравнение - значит найти множество всех значений аргумента, при которых данная тригонометрическая функция принимает заданное значение.
IV. Пятиминутка (работу выполняют на листочках)
Решить уравнения:

! Ответы записать в тетрадях. Листочки сдать. (Самопроверка).
V. Решение уравнений
Рассмотрим, как решаются более сложные тригонометрические уравнения.
- Уравнения, решаемые разложением левой части на множители.
Пример:
,
,
или 
,

не имеет решения, т.к. 
Ответ:
, 
Таблички с алгоритмом решения:
Пример:
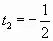
(решить самостоятельно) - Уравнения, сводящиеся к квадратным.
Пример:

Заменив,
, получим:
,
,
,
,
, 
Составим два простейших уравнения:
и 
не имеет решений,

т.к.
, 
Таблички с примером и алгоритмом решения
Знакомятся самостоятельно:
Пример:
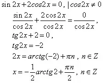
(у доски) - Уравнения, однородные относительно
и
.
Уравнение вида
,
где
числа называются однородными (у всех слагаемых сумма
показателей одинакова) приводятся к алгебраическим относительно
путем деления обеих частей уравнения на
, и
соответственно.
Пример:
![]()
Пример:

Ответ:
,
;
,
![]()
Рассмотрим алгоритмы решения уравнений.
VI. Алгоритмы решения однородных тригонометрических уравнений
![]()
- Разделим обе части уравнения почленно на
, получим:

- Получим простейшее тригонометрическое уравнение:

- Записать ответ:
, где 
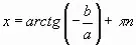
VII. Уравнение вида ![]()
- Если
, то уравнение
решается делением обеих его частей на
:

(квадратное уравнение относительно новой переменной
) - Если
, то
и уравнение
решается методом разложения на множители: за скобки выносится
:
,
или
.
VIII. Практическая работа
Среди уравнений, данных в работе выберите те, которые решаются одним из методов и решите их.
Вариант-1.
1)
![]()
2)
![]()
3)
![]()
4) ![]()
![]()
Вариант-2.
1)
![]()
2)
![]()
3) ![]()
и ![]()
4)
![]()
Вариант-3.
1)
![]()
2)
![]()
3)
![]()
4) ![]()
![]()
Дополнительно: ![]()
![]()
![]()
![]()
![]()
или ![]()
![]()
![]()
Ответ:
;
,
!
, ![]()
IX. Трудная задача.
Решить уравнение:
![]()
![]()
![]()
![]()
или ![]()
![]()
, ![]()
,
, ![]()
Ответ:
;
, ![]()
X. Сообщение "Из истории тригонометрических уравнений"
XI. Подведение итогов
Основные результаты
Мы пополнили свой словарный запас математического языка следующими терминами:
- арксинус
- арккосинус
- арктангенс
- арккотангенс
- тригонометрическое уравнение, простейшие тригонометрические уравнения.
- однородное тригонометрическое уравнение первой степени. второй степени
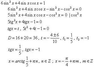
Мы вывели формулы для решения простейших тригонометрических уравнений:
,
(при
);
,
(при
);
,
;
,
(всюду
).
Мы получили соотношения для арккосинуса, арксинуса, арктангенса, арккотангенса.
Мы обсудили два основных метода решения тригонометрических уравнений: разложение на множители и введение новой переменной; в частности, научились решать однородные тригонометрические уравнения.
XII. Домашнее задание



