Урок по теме "Приращение функции"
Цели урока:
- Формирование понятий приращения функции и приращения аргумента, секущей, геометрического смысла приращения функции;
- Развитие вычислительных навыков;
- Воспитание познавательного интереса к предмету. (Презентация. Слайд 2.)
Тип урока: формирование новых понятий.
Метод обучения: обучающая беседа.
Оборудование: учебник А.Н. Колмогорова "Алгебра и начала анализа" 10-11 кл.; мультимедийный проектор и экран.
Ход урока
I. Организационный момент:
Взаимное приветствие учителя и учащихся, проверка готовности учащихся к уроку.
II. Анализ контрольной работы по теме: "Решение тригонометрических уравнений и неравенств"/
Сообщение темы и целей урока. (Слайд 1 и 2.)
III. Актуализация знаний:
- Формула периметра прямоугольника;
- Формула площади прямоугольника;
- Определение функции, определение тангенса угла;
- Как найти значение функции в данной точке?
Пример: Найти значение функции f(x) = x2 + 2x в точке x0 = -3.
Решение: f(x0) = f(-3) = (-3)2 + 2∙(-3) = 9 - 6 = 3
Ответ: f(-3) = 3
IV. Изучение нового материала:
Часто нас интересует не значение какой-либо величины, а ее изменение.
Например: Дан график функции у = 4 -х2
![]() |
По графику найти значение функции в точке х1 = 1 и х2 = 2.
Разность х2 - х1 = 2 - 1 = 1; ∆x =1 f (1) = 3; f(2) = 0; f(2) - f(1) = 0 - 3 = -3
|
В приведенном примере мы не только вычислили значения функции f(x) в некоторых точках, но и оценили изменения
При сравнении значений функции f в некоторой фиксированной точке х0 со значениями этой функции в различных точках х, лежащих в окрестности х0, удобно выражать разность f(x) - f(x0) через разность х - х0, пользуясь понятиями "приращение функции" и "приращение аргумента".
Рассмотрим функцию у = f(x). Пусть х - произвольная точка, лежащая в некоторой окрестности фиксированной точки х0. Разность х - х0 называется
приращением независимой переменной (или приращением аргумента) в точке х0 и обозначается
х. Таким образом,
х = х - х0, откуда следует, что х = х0 +
х.
Говорят также, что первоначальное значение аргумента х0 получило приращение
х. Вследствие этого значение функции f
изменится на величину f(x) - f(x0) = f(х0 +
х) - f(x0).
Эта разность называется приращением функции f в точке х0, соответствующим приращению
х, и обозначается
f, т. е. по определению
f = f (х0+
х) - f(x0), откуда f
(х0 +
х) = f(x0) +
f.
Обратите внимание: при фиксированном значении х0 приращение
f есть функция от
х. (Слайд 4.)
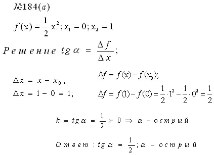
Пример 1:
Найти приращение аргумента и приращение функции в точке х0, если
![]()
Решение: 
(Слайд 5.)
Рассмотрим график функции у = f (x). Геометрический смысл приращения функции можно понять, рассмотрев рисунок. (Слайд 6.) Прямую l, проходящую через любые две точки графика
функции f, называют секущей к графику f. Уравнение прямой на плоскости имеет вид у = кх + в. Угловой коэффициент k секущей, проходящей через точки (х0; f(x0) и
(х; f(x)), равен tga.
ABC - прямоугольный.
![]()

(Слайд 7.)
V. Закрепление материала: № 177 (а,1) - (решение на Cлайде 8), 178(а,в) , 180 (устно)
VI. Домашнее задание: п.12, №177(б), 178(б, г)
VII. Подведение итогов урока.
