Урок по геометрии в 8-м классе по теме "Применение первого признака подобия треугольников"
Цели:
- научить применять признак при решении задач
- доказать свойство медиан треугольников.
- развивать умение работать в парах, группах;
- воспитывать бережное отношение к своему здоровью и здоровью окружающих.
Оборудование:
- компьютер,
- мультимедийный проектор,
- карточки.
Ход урока
Урок сопровождается презентацией «Урок».(Приложение 1).
Учитель: Здравствуйте, ребята! Как видите, у нас сегодня речь пойдет о первом признаке подобия треугольников, но и не только о нем. С его помощью вы сможете сделать для себя
некоторые открытия об элементах треугольника. Как говорил Джордж Пойа математик с мировым именем: «Лучший способ изучить что-либо - это открыть самому». Так будем пробовать делать открытия
самостоятельно. И для этих открытий я вам сегодня желаю вдохновения, ведь «Вдохновение нужно в геометрии не меньше, чем в поэзии». (А.С. Пушкин).
Актуализация знаний
I. Устная разминка:
- Что значит отношение отрезков?
- Какие треугольники называются подобными?
- Что такое средняя линия треугольника?
- Каковы свойства средней линии треугольника?
- Как относятся площади подобных треугольников?
- Как относятся периметры подобных треугольников?
II. У доски доказать первый признак подобия треугольников.
В это время класс работает устно над тестом
Решите задачи и ответ запишите в тетрадь с домашней работой и на листочках. (6 минут)
Решение:

Решение:

Решение:

Решение:

Решение:

Ответы:
|
№ 1
|
№ 2
|
№ 3
|
№ 4
|
№ 5
|
|
15; 12; 18
|
680
|
4
|
16
|
36; 30; 49
|
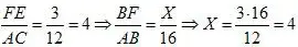
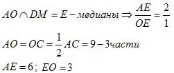
Формируются две группы учащихся для доказательства свойства медиан треугольника.

Заслушать ответ у доски - доказательство теоремы.
Дополнительные вопросы № 553 или задают учащиеся.
Заслушать решение задач двух групп, сделать выводы о точки пересечения медиан.
"Медианы треугольника пересекаются в одной точке и делятся ею 2:1 считая от вершины". Одна из замечательных точек треугольника.
№ 570. На доске решается после вывода, все просто слушают решение.

По группам решают задачи. Решить эти задачи и расшифровать ответы.
- Дано: a=5; b=3; c=7; P1=105
Найти: a1; b1; c1. - Средняя линия равнобедренного треугольника параллельна боковой стороне, равной 13. А медиана, проведенная к основанию равна 24. Найти среднюю линию параллельную основанию.
- Высота треугольника равная 12 см перпендикулярна средней линии треугольника и делит ее на отрезки 4,5 см и 2,5 см. Найти периметр треугольника.
Ответы на слайде:
- 57 - ми
21 - г
48 - ра
35 - о
49 - мо
59 - ло - 10 - тет
15 - сет
18 - кет - 47 - ое
52 - ие
42 - ия
Гомотетия - есть преобразование подобия. (слайд)
Подведение итогов. Кто что для себя сегодня открыл? Было что-то новое? О чем хочется еще узнать?
Домашнее задание №571; 564 ; устно задача №1 стр. 146.
Презентация доказательства второго или третьего признака подобия для желающих.