Урок математики на тему: "Решение неравенств с модулем"
Тема:«Решение неравенств с модулем»
Тип урока: закрепление и расширение знаний.
Класс: 8
Цели урока:
- Повторить теоретические знания учащихся по изученной теме;
- Отработать навыки решения линейных неравенств с модулем;
- Расширить знания учащихся по решению более сложных неравенств с модулем;
- Через дидактические игры (подбор упражнений по теме) расширить кругозор учащихся по истории и биологии;
- Прививать навыки самостоятельной работы, оценивания своей работы.
Оборудование: раздаточный материал для каждого ученика (задания устной работы, карточки с заданиями самостоятельной работы).
Ход урока
1. Организационный момент.
2. Устная работа по актуализации знаний.
Решите уравнения:

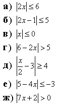
3. Решите неравенства:

Используя полученные ответы и данные в таблицах, заполните пропуски в тексте, записывая слова в нужных падежах.



4. Упражнения по закреплению знаний.
4.1 Учитель читает задание:
«Знаменитые итальянские мастера: Страдивари, Амати, Гварнери свои музыкальные инструменты - скрипки и виолончели - всегда делали из дерева одной породы.
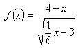
Найдите область определения функции
. Используя полученный ответ и данные таблицы, узнайте, как называется это дерево?

| Итальянская
сосна |
Морёный дуб |
Ель |
Красное дерево |
|
|
|
|
|
4.2
Решить двойные неравенства:

4.3
Решить неравенства:

4.4
Устно:
- Что является решением системы неравенств?
- Найти решение системы неравенств:

Что является решением совокупности неравенств?
- Найти решение совокупности неравенств:
4.5
Вспомним основные тождества для арифметического квадратного корня.
4.6 Решение более сложных неравенств с модулем.
- Для решения первого неравенства «сильный» ученик вызывается к доске.
- самостоятельно с проверкой
- Найдите область определения функции: для нахождения
функции, записанной под А) ученик вызывается к доске.

5. Проверка знаний учащихся.
Мини - самостоятельная работа.

6. Оценка знаний учащихся.
Каждый ученик записывает ответ в виде среднего арифметического чисел, являющихся ответами на задания самостоятельной работы. (Ответ:
). Это и есть
оценка его знаний по теме, если ученик её усвоил хорошо.
Учитель комментирует домашнее задание.

