Урок алгебры и началов анализа в 11-м классе "Применения интеграла"
Цели урока:
-
показать применение интеграла для решения прикладных задач; познакомить учащихся с широким спектром применения интеграла;
-
обобщение и закрепление пройденного материала: повторить понятие интеграла, совершенствовать умение вычислять интегралы.
Оборудование: плакат “Кто смолоду делает и думает сам, тот и становится потом надёжнее, крепче, умнее” (В. Шукшин). Проектор, магнитная доска, справочник по алгебре, раздаточный материал с текстом устной работы.
План урока
1. Организационный момент.
2. Проверка домашнего задания.
3. Устные упражнения (опрос провести с помощью карточек).
4. Решение задач по теме.
5. Итоги урока.
6. Домашнее задание.
Ход урока
I. Организационный момент.
II. Проверка домашнего задания.
Ответить на вопросы учащихся по домашнему заданию. Решить задачи, вызвавшие затруднения при выполнении домашней работы.
Домашнее задание учащиеся готовят на карточке дома. Каждый ученик проверяет свою работу через проектор. Учитель предлагает оценить домашнюю работу самому ученику и поставить оценку в ведомости, сообщая критерий оценки: “5” - задание выполнено верно и самостоятельно; “4” - задание выполнено верно и полностью, но с помощью одноклассников; “3” - во всех остальных случаях, если задание выполнено. Если задание не выполнено, можно поставить прочерк.
III. Устные упражнения.
Опрос провести с помощью карточек.
Карточка 1.
1. Доказать равенство
.
2. Вычислить интеграл
.
Карточка 2.
1. Доказать равенство
.
- Вычислить интеграл
.
Карточка 3.
- Вычислить площадь фигуры, ограниченной линиями у = х4, у = 1.
- Вычислить интеграл
.
Карточка 4.
1. Вычислить площадь фигуры, ограниченной линиями у = 6 – 2х, у = 6 + х – х2 .
2. Вычислить интеграл
.
IV. Решение задач.
Вступительное слово учителя.
Выявлять связь школьного курса математики с жизнью и другими учебными предметами всегда важно и интересно. Интеграл принадлежит к числу математических понятий, происхождение и развитие которых тесно связано с решением прикладных задач. Это понятие и построенный на его основе метод применяются сегодня в самых различных областях
научно-практической деятельности человека, в том числе в физике, химии, биологии, экономике, технических дисциплинах и т.д.
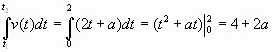
Задача 1. (Устно). Тело движется прямолинейно со
скоростью
(t) = 2t+a (м/с). Найти a, если известно, что за
промежуток времени от t
=0 c до t
=2 c тело прошло путь длиной 40 м.
Решение: так как при прямолинейном движении со скоростью
(t)
путь, пройденный телом за время от t
до t
равен
S =
(м), то 4+2a = 40, 2а=36, а=18.
Ответ: 18.
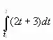
Задача 2. (Устно). Материальная точка движется по окружности с угловой скоростью:
а)
(t)=2 рад/с; б)
(t)=2t+3 (рад/с). На какой угол
повернется
она за промежуток времени от t
до t
секунд?
Решение: а)
(t
)-
(t
)=
2t ¦
=2t
- 2t
(рад);![]()
б)
(t
)-
(t
)=
=
= (t
+3t)¦
=(t
+3t
)-(t
+3t
) (рад).
Задача 3.Серповидная опора изготовлена из 10-миллиметрового плоского стального листа. Какова масса этой опоры, если ее верхний и нижний контуры представляют собой параболы?

Указание: масса опоры вычисляется по формуле m=
S
,
где
- плотность стали (
=7,8 ·10
кг/м
), S- площадь сечения опоры,
d - ее толщина (d= 0,01 м). Необходимо ввести прямоугольную систему координат и определить уравнения нижнего и верхнего контуров опоры:
у = –
x
+1 , y = –
x
+2.
Далее необходимо вычислить площадь фигуры, ограниченной найденными кривыми.
Ответ: m=7, 8·10
·8·10
=624 (кг).
Задача 4. Сила тока в цепи изменяется по закону
I(t) = 3t
-2t+1 (t измеряется в секундах, I - в амперах). Определить
количество электричества q, прошедшее через поперечное сечение
проводника за время от 2 до 6 с.
Решение: обозначим через q(t) количество электричества (в
кулонах), прошедшее через поперечное сечение проводника за время от
начала отсчета до момента t . Приращение количества электричества
за промежуток времени от t до t+
t соответствует
q = q(t+
t) - q(t)
(Кл). Если
t достаточно мало, то на этом промежутке (поскольку I(t) -
непрерывная функция) значения переменной I будут незначительно
отличаться от значения I(t). Поэтому силу тока на отрезке
условно можно
считать равной I(t) и приближенно вычислять
q по формуле:
q
I(t)·
t. Из
последнего соотношения имеем
I(t).
Переходя к пределу при
t > 0, получаем q
= I(t). Таким образом,
q(t) - первообразная для функции I = I(t) и, значит,
q(6) - q(2) =
-
2t +
1)dt = 180 (Кл).
Ответ: 180 (Кл).
Задача 5. Найти количество теплоты, выделяемое переменным синусоидальным током
I = 3 sin
t (A)
в течение периода T = 0,02с в проводнике с сопротивлением 200 Ом.
Решение: количество теплоты Q, выделяемое в данном
проводнике, является функцией от времени t (0
t
T). За
промежуток времени от t до t+
t приращение этой функции составит
Q =
Q(t+
t) - Q(t). Если
t достаточно мало, то в силу непрерывности
данной функции I(t) значение силы переменного тока на отрезке
мало
отличается от его значения в точке t. Поэтому будем условно считать
на этом отрезке силу тока постоянной, и тогда по закону Джоуля -
Ленца можно приближенно записать, что за
t в проводнике выделится
Q
I
(t)·R
·
t
(Дж).
Отсюда ![]()
I
(t)·R.
Переходя к пределу при
t > 0, получаем Q
(t) =
I
(t)·R,
т.е. Q(t) - первообразная для функции I
(t)·R. Тогда Q(t) - Q(0) = ![]()

Ответ: 18 (Дж)
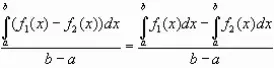
Задача 6. В некоторых исследованиях необходимо знать среднюю длину пробега, или среднюю длину пути при прохождении животным некоторого фиксированного участка. Приведем соответствующий расчет для птиц.

Решение: пусть фиксированным участком будет круг радиуса
R. Будем считать, что R не слишком велико. Тогда большинство птиц
изучаемого вида, будет пересекать этот круг по прямой. И птица под
любым углом в любой точке может пересечь окружность. Обозначим
среднюю длину пролета, через
, которая будет равна любой величине от
0 до 2R.
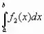
Так как круг симметричен относительно любого своего диаметра, нам достаточно ограничиться теми птицами, которые летят в каком-нибудь одном направлении, параллельном оси Оy (рисунок). Тогда средняя длина пролета
-
это среднее расстояние между дугами АСВ и АС
В, т.е. это среднее значение
функции f
(x) - f
(x), где y= f
(x) - уравнение верхней дуги, а y=
f
(x) - уравнение
нижней дуги, т.е.
=
.
Так как
равен площади криволинейной трапеции
АСВb, а
равен площади криволинейной трапеции
АС
Вb, то их разность равна площади круга,
т.е.
R
. Разность
= 2R, значит
=
.
Ответ:
.
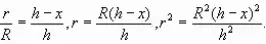
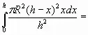
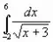
Задача 7. Найти численное значение силы давления на плотину, имеющую форму равнобедренного треугольника с основанием a м и высотой h м.

Решение: величина силы давления жидкости в ньютонах на
горизонтальную площадку вычисляется по формуле P = g
Sx, где S
м
-
площадь площадки, х м - глубина погружения площадки , g=9,807
м/с
-
ускорение свободного падения, а
кг/м
, - плотность жидкости, причем в данном
случае
= 1000 кг/м
.
Если площадка, испытывающая действие силы давления жидкости, не горизонтальна, то давление на нее будет различным на разных глубинах, следовательно, сила давления Р на площадку есть функция от глубины ее погружения х.
Рассмотрим плотину применительно к прямоугольной системе
координат и выделим площадку EKMT, верхний и нижний края которой
погружены соответственно на глубину х и х+
х.
При достаточно малых значениях
х глубина погружения любой точки этой площадки
незначительно отличается от х, а площадь
S площадки - от площади прямоугольника
EKK
E
, т.е.
S
f(x)·
x,
где f(x) - длина основания EK выделенного прямоугольника. В данной
задаче f(x) = a(h-x)/h. Приращение
Р силы давления при переходе от х к х+
х есть сила давления,
действующая на площадку EKMT, поэтому имеем:
Р
g·
·
S·x
g·
·f(x)·
x·x. Отсюда
![]()
g·
·f(x)·x.
Переходя к пределу при
х>0, получаем Р
(х) = g
f(x)x, откуда
Ответ: 1634,5
(H).
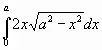
Задача 8. Определить давление воды на вертикальную стенку
щита, имеющую форму полукруга радиуса
, диаметр которого находиться
на поверхности воды.
Решение: проведем на щите горизонтальную полоску на
глубине x. Пусть ширина полоски равна
x, а длина её
, тогда из теоремы Пифагора
x
+
R
или
x
+
=
, откуда
=2
.
Значит, площадь полоски равна S=
·
x=2
•
x, а так
как давление воды на малую площадку равно площади этой площадки,
умноженной на глубину её погружения, то dP =
.
Отсюда P =
=
.
Ответ: Р=
.
V. Итоги урока.
1. Провести проверку устных работ с помощью проектора.
2. Ответить на вопрос: “При решении каких задач используется интеграл?”
3. Выставление отметок.
VI. Домашнее задание.
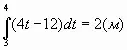
Задача 1. Скорость прямолинейно движущего тела изменяется по закону
(t)=4t-12 (м/с). Найти путь, пройденный телом:
а) за четвертую секунду;
б) за промежуток времени от 5 до 7 секунд;
в) за промежуток времени от t = 0 с до момента остановки тела.
Указание: если в течение промежутка времени
тело движется
вдоль координатной прямой в положительном направлении (
(t)>0), то
его путь численно равен приращению координаты x(t) тела на этом
промежутке; если же в отрицательном (
(t)<0) - модулю указанного
приращения. В момент остановки тела
(t)=0.
Ответ: а) х(4) - х(3) =
; б) 24 м; в) 18 м.
Задача 2. Углекислый газ массой 200 г нагревают при
постоянном объеме от 20 до 400
С. Как определить количество поглощаемой
при этом теплоты Q; если теплоемкость С
выражается формулой
С
=A(B+DT)
(Дж/моль
С), где A ,B,
D - константы, Т - температура газа? Вычислить Q, если А=4,19 ,
В=6,5 ,D=0,00193.
Указание: теплоемкость тела при температуре Т = Q'(Т).
Отсюда количество теплоты, необходимое для повышения температуры от
Т
до
Т
для
одного моля выражается формулой Q(t)=
.
Известно, что молярная масса углекислого газа равна 44 г/моль, т.е. в 200 г углекислого газа содержится 200/44 молей, отсюда
Q=
, Q=49976 (Дж).
Ответ: 49976 (Дж).
Задача 3. Рост численности насекомых некоторого вида
происходит со скоростью
=
(t) единиц/ год. На сколько возрастет численность N насекомых
этого вида за 5 лет, начиная с момента отсчета?
Указание: если
t достаточно мало, то на отрезке ![]()
скорость роста незначительно
отличается от
(t).
Поэтому
N![]()
(t)·
t, отсюда легко получить, что N
(t)=
(t), тогда
N(5) - N(0) =
.
Задача 4. Цилиндрический стакан наполнен маслом.
Вычислить силу давления масла на боковую поверхность стакана, если
высота его Н=0,08 м и радиус основания R=0,04 м. Плотность масла
=900
кг/м
.
Указание: в данном случае f(x)=2
R, тогда
Р=
f(x)xdx=9,807![]()
9,807![]()
RH![]()
7,1 (H).
Задача 5. Силой 180 Н пружина растягивается на 0,02 м. Первоначальная длина пружины 0,2 м, какую надо совершить работу, чтобы растянуть пружину до 0,25 м?
Указание: обозначим через х величину растяжения пружины и
через F(x)- силу растяжения. Тогда по закону Гука F(x) = kx,
0
х
0,05 (м).
Имеем: 180= k•0,02, откуда находим k=9•10
, поэтому F(x)= 9•10
х (н).
Значит,
А=
.
Ответ: 11,25 (Дж).
Задачи по желанию:
Задача 1. Вычислить силу давления Р воды на плотину, имеющую форму трапеции, верхнее основание которой равно а=300 м, нижнее b=150 м, высота Н=20 м, предполагая, что поверхность воды достигает верхнего края плотины.

Указание: чтобы записать функцию S(x), надо найти
(x):
(x) =
b+MN.
FDB
MNB,
поэтому MN = ![]()
и
(x) = a-
. Следовательно, функция S(x) имеет вид:
S(x) = (a-
. Значит, P=g![]()
=g![]()
![]()
392•10
(H).
Задача 2. Вычислите работу, которую необходимо затратить, чтобы выкачать воду из резервуара, имеющего форму конуса, обращенного вершиной вниз. Высота конуса h, радиус основания R.
Решение: рассмотрим слой воды, имеющий толщину
х и
находящийся на глубине х. При достаточно малом
х работа А по
поднятию воды из резервуара на высоту х вычисляется по формуле А=
g
, где
х - глубина погружения, V(x) - объем слоя воды, который
вычисляется по формуле: V(x) =
r
•
х, где r - радиус слоя. Из подобия треугольников следует,
что ![]()
Тогда работа равна
А =
g
?g•
?g•
.
Ответ: А =
g•
.