Урок математики "Введение понятия функции" (7-й класс)
Цели уроков:
- Обобщение знаний учащихся по числовым выражениям;
- Изучение понятия функции;
- Совершенствование умений вычислений алгебраических выражений;
- Развитие устных вычислительных навыков, математической речи учащихся, формирование аналитических и логических способностей, расширение кругозора;
- Воспитание самостоятельности, интереса и уважения к изучаемому предмету.
Задачи уроков: подготовка учащихся к изучению темы “Функции”.
Оборудование: таблицы, плакаты, карточки.
Ход урока
I. Организационный момент.
II. Проверка домашнего задания. Рассмотрение неясных вопросов домашнего задания.
III. Сообщение темы, целей и задачи урока.
На предыдущих уроках, мы с вами уже встречались с некоторыми видами зависимости одной величины от другой, так например, мы вычисляли площади прямоугольника, квадрата. Определяли длину пути в зависимости от скорости или времени. Теперь мы можем сделать существенный шаг вперед и перейти к рассмотрению одного из важнейших понятий в математике – к понятию функции.
Вы давно знакомы с числовыми функциями. Более того, вам приходилось немало работать с различными числовыми функциями, не задумываясь над тем, что данная зависимость является функцией. Начнем с того, что попробуем выяснить, какой образ соответствует в вашем сознании этому понятию. Иначе говоря, как вы представляете себе функцию.
Если вы представляете функцию как некую зависимость между двумя меняющимися величинами (например, S и t). Еще в начальной школе вы рассматривали зависимость пройденного пути от времени. В старших классах мы называем переменные, зависимой и независимой. Так в нашем примере переменная t является независимой переменной, а S зависимой. Почему? Потому, что t мы выбираем сами, и потом подсчитываем значение S. А что же такое переменная величина?
В учебнике понятие переменной величины вводится уже после того, как дано определение понятия функции. Между тем “сконструировать” образ числовой функции совсем нетрудно. Причем я имею ввиду именно образ, а не математическое определение, о котором речь пойдет позднее.
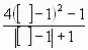
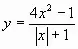
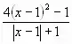
Дело в том, что числовую функцию можно представлять себе как некий “аппарат”, который по числу дает число. Вы закладываете в этот “аппарат” некоторое число (число х на условном рисунке); “аппарат” срабатывает и выдает новое число (число у на указанном рисунке). Возьмем, например функцию у = 4х2 – 1. Если заложить в этот “аппарат” число х = 2, то на выходе получится число у = 15; если заложить число х = 3, то получится у = 35; если заложить число х = 10, то получится у = 399 и т. д.

А как же может выглядеть такой “аппарат”? Ведь данный рисунок –
это условный рисунок. В принципе это неважно. Можно изобразить
функцию таким образом:
. Здесь скобочки есть “окошко”, куда надо
закладывать числа. Надо заметить, что таких “окошек” может быть и
несколько. Например:
.Это и есть функция
. В данном случае каждое
конкретное число надо закладывать в оба “окошка” одновременно.
Между прочим, весьма важно мысленно видеть в формуле, задающей
функцию, такое “окошко” (или “окошки”). Предположим, например, что
требуется перейти от некоторой функции
к функции
(такой
переход соответствует смещению графика функции вдоль оси х
на единицу в положительном направлении). Если четко представлять
себе упомянутые “окошки”, то достаточно попросту заменить в них
х на х – 1. Например: функция
. В
результате замены х на х – 1 мы приходим к новой
функции (к новому “аппарату”):
; у =
. Таким образом, мы можем
представить любую функцию виде некоторого “аппарата”, который по
числу дает число. Но возникает вопрос: существуют ли в математике
иные “аппараты”? Да, они существуют. Наряду с числовой функцией
рассмотрим также понятия “оператор” и “функционал”. Мы практически
редко встречаемся с этими понятиями, но они позволят глубже понять
понятие функции.
Следующий рисунок позволит вам без особого труда составить себе общее представление об указанных понятиях и, кроме того, позволит лучше уяснить место и роль числовой функции в аппарате математики.

Из рисунка видно:
- Числовая функция есть “аппарат”, который по числу дает число (в этот “аппарат” закладываются числа; на “выходе” получаются числа);
- Оператор есть “аппарат”, который по числовой функции дает числовую функцию (в этот “аппарат” закладываются функции; на “выходе” получаются функции; как принято говорить, оператор действует на функцию, в результате чего возникает новая функция);
- Функционал есть “аппарат”, который по числовой функции дает число (в этот “аппарат” закладываются функции; на “выходе” получаются числа – конкретное число “в ответ” на конкретную функцию).
Более подробно об операторе и функционале мы поговорим на следующих уроках, а пока ограничимся общим взглядом на указанные понятия и вернемся к основному предмету разговора – к числовой функции.
Поставим вопрос: что надо задать для того, чтобы возник “аппарат”, называемый числовой функцией? Очевидно, надо задать какой-то закон или какое-то правило, согласно которому мы могли бы всякий раз предвидеть, какое именно число появится на “выходе” в ответ на то или иное число, поданное на “выход”. Заметим, что такой закон естественно назвать законом числового соответствия. Однако одного только закона числового соответствия недостаточно для того, чтобы задать числовую функцию. Давайте подумаем, а всякое ли число можно закладывать в тот или иной аппарат-функцию? Надо задать числовое множество, из которого можно брать числа, подаваемые на “вход” данной функции. Это числовое множество принято называть областью определения функции.
Таким образом, чтобы задать числовую функцию, надо задать две “вещи”:
- Область определения (некоторое числовое множество),
- Закон числового соответствия.
Согласно этому закону каждому числу из области определения функции ставится в соответствие некоторое число, называемое значением функции.
Фактически, мы имеем здесь дело с двумя числовыми множествами. С одной стороны – множество, называемое областью определения функции; с другой стороны – множество значений функции. Вот тут-то мы и подошли вплотную к математическому определению понятия функции, которое позволит нам обходиться впредь без немного таинственного понятия – аппарат.
Множество D есть область определения функции. Множество Е есть множество значений функции. Каждому числу из множества D ставится в соответствие одно число из множества Е (каждому числу на “входе” функции ставится в соответствие одно число на “выходе” функции). Следует отметить, что нескольким числам из D может соответствовать одно число из Е. Запрещена лишь обратная ситуация. Нельзя, чтобы одному числу из D соответствовало несколько разных чисел из Е.
Теперь мы можем сформулировать математическое определение числовой функции.
Пусть даны два числовых множества D и Е и пусть каждому
элементу х из множества D (сокращенно записывают
)
однозначно поставлен в соответствие некоторый элемент у из
множества Е. Тогда говорят, что задана функция у = f(х) на
множестве D со значениями в множестве Е. Говорят, что аргумент х
функции пробегает множество D, а ее значения принадлежат множеству
Е.
Впрочем, определение функции можно переформулировать немного иначе, используя термин “отображение”. Можно сказать, что числовая функция есть отображение некоторого числового множества D (являющегося областью определения функции) на другое множество Е (множество значений функции).
Отмечу следующее: далее мы будем иметь дело с числовыми функциями , область определения которых есть числовая прямая, либо ее промежуток (промежутки). Именно такие числовые функции мы будем подразумевать всякий раз, когда будем использовать понятие числовой функции.
В связи с этим уместно напомнить классификацию промежутков. Прежде всего различают промежутки конечной длинны:
- Замкнутый промежуток (иначе говоря, отрезок) с
началом а и концом в (его обозначают так:
; числа
х из этого промежутка удовлетворяют неравенствам:
); - Открытый промежуток (интервал) с началом а
и концом в (его обозначают так:
; числа х из этого
промежутка удовлетворяют неравенствам: a < x <
в); - Полуоткрытый промежуток (полуинтервал) (его
обозначают так:
, либо
в превом случае числа х из
полуинтервала удовлетворяют неравенствам: a <
, а во
втором случае – неравенствам
< в).
Различают также бесконечные промежутки:
(
< x
<
) – числовая
прямая;
(a < x <
);
(
<
);
(
< x <
в);
(
<
).
Мы рассматривали примеры функций, которые были заданы формулой. Существуют и другие способы задания функций. О них мы поговорим позже. Наиболее распространенным способом является задание функции с помощью формулы. Формула позволяет для любого значения аргумента находить соответствующее значение функции путем вычислений. Если же функция задана формулой и ее область определения не указана, то считают, что область определения функции состоит из всех значений аргумента, при которых формула имеет смысл.
IV. Закрепление изученного материала.
На уроке выполняются задания №252, №253, №257, №261, №263, №265, №267, №268, №270 (Учебник для 7 класса Алгебра под редакцией С.А.Теляковского) М, Просвещение, 2003г.
V. Подведение итогов урока.
Итак, на сегодняшнем уроке мы с вами рассмотрели понятие числовой функции. Выяснили, что числовая функция – это некий “аппарат” позволяющий по числу находить другое число. Мы с вами выяснили, что является областью определения функции, и областью значений функции. Дали несколько математических определений числовой функции. На последующих уроках мы более подробно остановимся на способах задания функции, графиках различных функций, их свойствами и многое другое.
VI. Задание на дом: П.10, П.11; №254, №256, №262, №264, №269.