Элективное занятие по теме "Утверждения о корнях квадратного уравнения" (10-й класс)
Цель: формировать умения формулировать и обосновывать утверждения о корнях квадратного уравнения.
Учебная задача:
- Научить учащихся самостоятельно формулировать утверждения о корнях квадратного уравнения;
- Применять полученные утверждения для решения задач с параметрами.
Развивающие задачи:
- Развивать творческую сторону мышления;
- Учить осуществлять исследовательскую деятельность.
Воспитательная задача:
- Формировать навыки умственного труда - поиск рациональных путей решения.
Оборудование:
- Персональные компьютеры;
- Презентации для создания проблемной ситуации;
- Презентации для самоконтроля;
- Карточки с заданиями.
Ход урока
1. Информационный ввод.
На предыдущем занятии мы с вами научились использовать теорему Виета для решения задач с параметрами. Сегодня мы посвятим наше занятие исследованию расположения корней квадратного уравнения в задачах с параметрами. А затем, научимся решать задачи с параметрами с помощью компьютера.
2. Проблема.
Можно ли, не находя корней квадратного уравнения, определить их положение относительно некоторого числа М?
3. Актуализация ЗУН.
Сначала повторим необходимые для нас сведения о квадратных уравнениях.
Кластер (что я знаю о квадратном уравнении?) - слайд 1.
- Парабола;
- Старший коэффициент;
- Вершина параболы;
- Точки пересечения параболы с осью Ох;
- Дискриминант;
- Корни квадратного уравнения;
- Теорема Виета.
Ключ к кластеру.
Какую информацию о графике функции f(x) можно получить, зная коэффициенты квадратного трехчлена?
Ответы:
- Если старший коэффициент квадратного трехчлена больше нуля, то ветви параболы направлены вверх;
- Если старший коэффициент квадратного трехчлена меньше нуля, то ветви параболы направлены вниз;
- Если старший коэффициент квадратного трехчлена равен нулю, то графиком функции является не парабола, а прямая; и соответствующее уравнение надо решать не как квадратное, а как линейное;
- Если дискриминант больше нуля, то парабола пересекает ось абсцисс в двух точках;
- Если дискриминант равен нулю, то парабола касается оси абсцисс;
- Если дискриминант меньше нуля, то парабола не пересекает ось абсцисс ;
- Абсцисса вершины параболы равна -В/2А.
4. Исследовательская работа в группах.
Особую роль среди уравнений с параметрами играют задачи, связанные с расположением корней квадратного уравнения. Для решения таких задач можно сформулировать утверждения для каждой конкретной задачи. Для составления таких утверждений нужно не только знание свойств квадратного уравнения, но и умение мыслить одновременно на двух языках - алгебраическом и геометрическом.
КОЗ-1. Проблема.
Можно ли, не находя корней квадратного уравнения, определить их положение относительно некоторого числа М?
Задача: Исследовать различные случаи расположения корней квадратного уравнения в задачах с параметром.
Задание:
1. Выполнить конкретное задание: при каких значениях параметра р.
| 1-я группа | 2-я группа | 3-я группа |
|
Оба корня квадратного уравнения
2х2+5х+р=0 Больше заданного числа М? (х1,х2>М) |
Оба корня квадратного уравнения
2х2-рх+3=0 Меньше заданного числа М? (х1,х2<М) |
Заданное число М лежит между корнями квадратного уравнения
Рх2+3х-2=0? (х1<М<х2) |
2. Составить алгоритм для вашей задачи;
3. Презентация продукта исследования от каждой группы.
Критерии оценки работы в группах:
- Распределение ролей;
- Правильность выполнения задания;
- Умение представить и защитить свою работу.
Задача: Исследовать различные случаи расположения корней квадратного уравнения в задачах с параметром.
Задание:
- Выполнить конкретное задание;
- Составить алгоритм для вашей задачи;
- Презентация продукта исследования от каждой группы.
Класс делится на 3 группы.
На 2-ом слайде сформулированы задания в общем виде для каждой группы:
При каких значениях параметра р.
| 1-я группа | 2-я группа | 3-я группа |
|
Оба корня квадратного уравнения
2х2+5х+р=0 Больше заданного числа М? (х1,х2>М) |
Оба корня квадратного уравнения
2х2-рх+3=0 Меньше заданного числа М? (х1,х2<М) |
Заданное число М лежит между корнями квадратного уравнения
Рх2+3х-2=0? (х1<М<х2) |
Критерии оценки работы в группах (слайд 3):
- Распределение ролей;
- Правильность выполнения задания;
- Умение представить и защитить свою работу.
Вывод после выполнения КОЗ_1.
Итак, вы научились формулировать утверждения о корнях квадратного уравнения и обосновывать их. А сейчас, представьте общий алгоритм, по которому можно сразу определить расположение корней квадратного уравнения в задачах с параметром.
Алгоритм (слайд 4)
- Найти значение Аf(М).
- Найти D.
- Решить неравенство D>0.
- Найти х0=-В/2А.
- Найти решение системы:

5. Закрепление (КОЗ_2).
Задание: Решите следующие задачи с параметром используя алгоритм.
При каких значениях параметра а корни квадратного уравнения х2 + (а + 1) х + 3 = 0 лежат по разные стороны от числа 2?
При каких значениях параметра а оба корня квадратного уравнения (2 - а)х2 - 3ах + 2а = 0 больше 1/2?
Найти все значения параметра а, при которых оба корня квадратного уравнения х2- 6ах + (2 - 2а + 9а2) = 0 больше 3.
Найти все значения параметра а, которых оба корня квадратного уравнения х2 + 4ах + (1 - 2а + 4а2) = 0 меньше -1.
При каких значениях параметра а оба корня квадратного уравнения (1 + а) х2 - 3ах + 4а = 0 меньше 1.
Найти все значения параметра а, при которых число 3 лежит между корнями квадратного уравнения х2 + ах - 1 = 0.
Критерии оценки данного задания:
- Правильность выполнения задания.
- Умения применять полученные утверждения при решении задач с параметрами.
- Умение грамотно представить свою работу, содержащую аргументацию своих действий.
Алгоритм (слайд 4)
- Найти значение Аf(М).
- Найти D.
- Решить неравенство D>0.
- Найти х0=-В/2А.
- Найти решение системы:

Ключ.
При каких значениях параметра а корни квадратного уравнения х2 + (а + 1) х + 3 = 0 лежат по разные стороны от числа 2?
Решение.
Рассмотрим функцию f(x) =х2+(а+1)х + 3.
f(2) < 0;
f(2) = 4 + 2a + 2 + 3 = 2а + 9 < 0;
2а < -9;
а < -4,5.
Ответ: а (-
;-4.5).
При каких значениях параметра а оба корня квадратного уравнения (2 - а)х2 - 3ах + 2а = 0 больше 1/2?
Решение. Рассмотрим функцию f(x) = (2 - а) х2 - 3ах + 2а


Решений нет.
Ответ: решений нет.
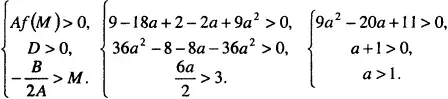
Найти все значения параметра а, при которых оба корня квадратного уравнения х2 - бах + (2 - 2а + 9а2) = 0 больше 3.
Решение. Рассмотрим функцию f(x) = х2 - бах + (2 - 2а + 9а2) = 0.

Решаем первое неравенство системы: D = 400 - 36 - 11=4.

Ответ: ![]()
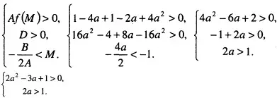
Найти все значения параметра а, у которых оба корня квадратного уравнения х2 + 4ах + (1 - 2а + 4а2) = 0 меньше -1.
Решение. Рассмотрим функцию f(x) = х2 + 4ах + (1 - 2а + 4а2).

Решаем первое неравенство системы: D = 9 - 8 = 1.

Ответ: ![]()
При каких значениях параметра а оба корня квадратного уравнения (1 + а)x 2 - 3ах + 4а = 0 меньше 1?
Решение. Рассмотрим функцию f(x) = (1 + а)х2 - 3ах + 4а - 0.

Решений нет.
Ответ: решений нет.
Найти все значения параметра а, при которых число 3 лежит между корнями квадратного уравнения х2 + ах - 1 = 0.
Решение. Рассмотрим функцию f(x) = х2 + ах - 1.
f(3) < 0;
9 + 3а - 1 = 8 + 3а < 0; 3а < -8;
![]()
Ответ: ![]()
ЗАДАЧИ С ПАРАМЕТРОМ ДЛЯ САМОСТОЯТЕЛЬНОЙ РАБОТЫ (слайд 5)
Решите следующие задачи с параметром.
При каких значениях параметра а корни квадратного уравнения х2 + {а + 1 )х + 3 = 0 лежат по разные стороны от числа 2?
При каких значениях параметра а оба корня квадратного уравнения (2 - а)х2 - 3ах + 2а = 0 больше 1/2?
Найти все значения параметра а, при которых оба корня квадратного уравнения х2- 6ах + (2 - 2а + 9а2) = 0 больше 3.
Найти все значения параметра а, которых оба корня квадратного уравнения х2 + 4ах + (1 - 2а + 4а2) = 0 меньше -1.
При каких значениях параметра а оба корня квадратного уравнения (1 + а) х2 - 3ах + 4а = 0 меньше 1.
Найти все значения параметра а, при которых число 3 лежит между корнями квадратного уравнения х2 + ах - 1 = 0.
6. Итоги урока.
Вопросы:
1) Какую задачу решили на занятиях?
2) При каких значениях параметра р.
- Оба корня квадратного уравнения больше заданного числа М (х1,х2>М)?
- Оба корня квадратного уравнения меньше заданного числа М (х1,х2<М)?
- Заданное число М лежит между корнями квадратного уравнения (х1 <М < х2)?

7. Домашнее задание.
Придумать для каждого случая по 2 примера и решить их.