Виды уравнений и способы их решения в 9-м классе
Пояснительная записка
Перед уроком были изучены темы "Уравнения с одной переменной", "Целые рациональные уравнения и основные методы решения целых рациональных уравнений", "Дробно-рациональные уравнения", "Уравнения с модулем и параметрами".
За две недели до обобщающего урока на стенде "Готовься к экзамену" было предложено:
- Прорешать из экзаменационного сборника задания второго раздела (№ 71-101).
- Вопросы по теоретическому материалу.
- Примерное оформление экзаменационного задания.
- Сроки индивидуальных и групповых консультаций.
Вопросы по теоретическому материалу
- Определение уравнения с одним неизменным.
- Корень уравнения.
- Что значит решить уравнение?
- Определение области допустимых значений.
- Когда два уравнения являются равносильными?
- Когда одно уравнение является следствием другого?
- Какие тождественные преобразования приводят к равносильным уравнениям?
- Особенность тождественного преобразования "деление на выражение, содержащее переменную".
- Виды уравнений, их стандартный вид, алгоритм решения.
- Основные методы решения уравнений с одним неизвестным.
Смотри:
а) учебник А-9 под ред. Н.Я. Виленкина, глава X, с. 157-189;
б) конспекты.
Примерное оформление
№ 93(1)
№ 5.60(а)
Галицкий, с. 51

Способ II


если D = 0, то x = -3 при a = -3, но x = -3 не удовлетворяет условию, так как (x - 4)(x + 3)
0;
если D > 0, то x1 = -3 (не удовлетворяет условию), x2 = a.
Среди найденных значений может быть появление посторонних корней, так как уравнение x² + (3 - a)x - 3a = 0 следствие исходного уравнения.
Чтобы x2 = a являлся корнем x2 - 4
0, a - 4
0, a
4
x2 + 3
0, то есть a - 3
0, a
-3
Ответ: при a
4, a
-3 корнем уравнения является x =
a.
Задания к уроку подобраны с учетом подготовленности учащихся данного класса.
Цели:
- привести в систему знаний учащихся по теме;
- повторить теорию решения уравнений;
- выработать умение определить вид уравнения;
- выразить наиболее рациональный способ решения данного уравнения;
- формировать наблюдательность учащихся.
Ход урока
I. Организационный момент
Сообщение темы урока и его целей.
II. Повторение теории по решению уравнений
Задаются вопросы.
1. Что называется уравнением?
Ответ: Любое равенство вида
некоторые функции называются уравнением с одной переменной (или с одной
неизвестной).
2. Что называется корнем уравнения?
Ответ: Число a называется корнем (или решением) данного уравнения с одной переменной, если при подстановке числа a вместо x в обе части уравнения, получаем
верное числовое неравенство, то есть при подстановке x = a обе части уравнения определены и их значения совпадают:![]()
3. Что значит решить уравнение?
Ответ: Решить уравнение - это значит найти все его корни или доказать что их нет.
4. Как определяется область определения допустимых значений уравнения?
Ответ: ОДЗ называется пересечение множеств областей определения функций ![]()
5. Какие уравнения называются равносильными (эквивалентными)?
Ответ: Два уравнения называются равносильными, если все корни уравнения первого являются корнями второго и наоборот, все корни второго уравнения являются корнями первого.
6. А как определить уравнение следствие?
Ответ: Если все корни одного уравнения являются корнями второго уравнения, то второе уравнение называется следствием первого уравнения.
7. Какие тождественные преобразования приводят к равносильным уравнениям?
Ответ: Если:
- к обеим частям уравнения прибавить любую функцию, которая определена при всех значениях из ОДЗ. Следствие. Члены уравнения можно переносить из одной части уравнения в другую;
- обе части уравнения умножить на любую функцию, определенную и отличную от нуля при всех допустимых значениях неизвестного. Также можно делить и умножать на число, отличное от нуля;
- в обеих частях уравнения стоят функции, принимающие только неотрицательные значения, то при возведении в одну и ту же четную степень получаем уравнение, равносильное данному. Появлению
"посторонних корней" приводят преобразования:
а) приведение подобных членов - происходит расширение ОДЗ;
б) сокращение дроби на выражение, содержащие неизвестное (тоже происходит расширение ОДЗ);
в) умножение на выражение, содержащее неизвестное;
г) освобождение дроби от знаменателя, содержащего неизвестное. Необходимо обязательно делить проверку или лучше перейти к смешанной системе.
8. Виды уравнений, их стандартный вид, алгоритм решения (в процессе решения).
Ответ:
а) Линейное;
б) квадратное;
в) уравнение высших порядков (биквадратным, возвратное, симметрическое);
г) уравнения содержащие модуль;
д) уравнение с параметром.]
9. Какие общие методы решения уравнений с одним неизвестным?
Ответ: Вынесение общего множителя (разложение на множители), замена переменной, использование ограниченности и монотонности функций, графически.
III. Тест
Понятие равносильности для нас понятие только вводится, и поэтому проведем тест, как же вы этим понятием владеете.
Тест рассчитан на 5-7 минут. Контрольные задания даются в двух вариантах. После окончания работы на доске вывешиваются контрольные ответы. За каждое правильно выполненное задание - 1 балл. После окончания работы ученик оценивает свою работу самостоятельно, затем разбираются неверные ответы (к заданиям предлагаются).
Тест
Вариант 1
Корни всех приведенных уравнений находятся среди чисел -3, -2, 1, 2, 3. Укажите пары равносильных уравнений.
|
(x2 - 6)2 = x2 |
|
(x - 1)(x2 - 6) = (1 - x)x |
(x - 2)(x2 - 6) = -x(x - 2) |
|
|
|
x2 - 6 = x |
|||||
|
(x2 + x - 6)(x2 - x - 6) = 0 |
|||||
|
x + 3 = 0 |
|||||
|
x - 2 = 0 |
|||||
|
(x - 1)(x - 2)(x + 3) = 0 |
Ответы:
|
Равносильные уравнения |
||||
|
+ |
||||
|
+ |
||||
|
+ |
||||
|
+ |
||||
|
+ |
||||
Вариант 2
Корни всех приведенных уравнений находятся среди чисел -2, -1, 1, 2. Укажите пары равносильных уравнений.
|
|
(x2 - 2)2 = x2 |
(x - 1)(x2 - 2) = x(x - 1) |
|
(x - 2)(x2 - 2) = x(x - 2) |
|
|
x2 - 2 = x |
|||||
|
x + 1 = 0 |
|||||
|
(x2 - 1)(x - 2) = 0 |
|||||
|
(x2 - x - 2)(x2 + x - 2) = 0 |
|||||
|
x - 2 = 0 |
Ответы:
|
Равносильные уравнения |
||||
|
+ |
||||
|
+ |
||||
|
+ |
||||
|
+ |
||||
|
+ |
||||
VI. Решение задач
Ученик должен определить вид уравнения, алгоритм решения данного уравнения, обратить внимание на способы его решения, выбрать рациональный способ решения.
Задачи взяты из "Сборника задач по алгебре" для классов с углубленным изучением математики под редакцией М.Л. Галицкого.

Решение задач
1. Уравнение третьей степени, в стандартном виде. Метод решения - разложения на линейные множители (теорема Безу):
x³ + x² + 11x - 21 = 0.
Так как это уравнение рациональное целое с целыми коэффициентами, то оно имеет целые корни, являющиеся делителями свободного члена: 21:
1;
3;
7;
21. x1 =
1 является корнем (убеждаемся подстановкой), поэтому многочлен левой части уравнения делится на двучлен х - 1.
(x3 + 9x2 + 11x - 21) : (x - 1) = x2 + 10x + 21;
x3 + 9x2 + 11x - 21 = (x - 1)(x2 + 10x + 21).
Решим уравнение x² + 10x + 21 = 0. По теореме Виета корни: x2 = -3, x3 = -7, x1 = 1.
Ответ: {-7; -3; 1}.
Дополнительный вопрос.
Как еще с помощью теоремы Безу можно было выполнить разложение на множители?
Ответ: Если множитель делится на x - 1 и на x + 3, то он делится и на их произведение.
2. x(x + 1)(x - 1)(x + 2) = 24.
Это уравнение четвертой степени. Метод решения - группировка. Если левая часть уравнения представлена в виде разложения на линейные множители, а в правой - число и выносящиеся: (x + a)(x + b)(x + b)(x + c) = A и a + b = c + d, в этом случае возможна группировка множителей.
(x(x + 1))*((x - 1)(x + 2)) = 24;
(x² + x)*(x² + x - 2) = 24.
Сделаем замену x² + x = t и получим уравнение
t(t - 2) - 24 = 0,
t2 - 2t - 24 = 0.
Корни по теореме Виета: t1 = 6, t2 = -4.

Ответ: {-3; 2}.
3. 5 - 12x³ + 14x² = 12x - 5, 5x² - 12x³ + 14x² - 12x + 5 = 0 - возвратное уравнение членов степени. Так
как x = 0 не является корнем данного уравнения, разделим почленно на x² и сгруппируем: ![]()
Сделаем замену: ![]()

Ответ: {1}.
4.
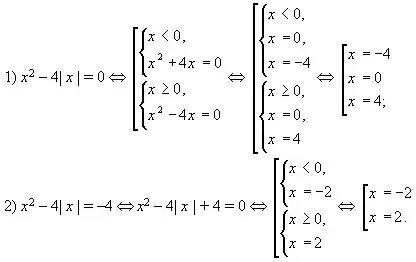
- это дробно-рациональное уравнение, содержащее модуль.

Заменим x2 - 4│х│ = t, получим:


Ответ: {0;
2;
4}
Алгоритм: а) находим нули модуля; б) дискриминант уравнения разбиваем на промежутки; в) раскрываем модуль на каждом из промежутков; г) выбираем ответ, учитывая данный промежуток; д) ответ - совокупность решений.
- это дробно-рациональное уравнение. Выделим квадрат разности:

Введем новую переменную
и получим уравнение вида t² + 2t - 3 = 0. По теореме Виета корни этого уравнения
t = 1 или t = -3.


6. ax² + 3ax - (a + 2) = 0 - это квадратное уравнение с параметром. При решении уравнения с параметрами необходимо выяснить, при каких значениях
параметров уравнение имеет корни и сколько их в зависимости от параметров при которых это выражение действительно определяет корни уравнения, то есть найти при каком значении параметра:
г) x - единственный корень.
Решение:
![]()
При D > 0 уравнение имеет два различных действительных корня, то есть при

![]()
При D < 0 решений нет.
![]()
если![]()
V. Самостоятельная работа
Самостоятельная работа проводится экзаменационному сборнику по алгебре за курс основной школы в двух вариантах. На столах у каждого учащегося лежит "Экзаменационный сборник" ( II раздел, с. 78-81).
Вариант 1: № 95(1), 101(1).
Вариант 2: № 95(2), 101(2).
№ 95. Решить уравнение:

№ 101. при каких значениях k квадратное уравнение имеет два корня? Запишите пример такого уравнения.
1) kx² - 6x + k = 0;
![]()
Итоги работы вывешиваются на стенде "Готовьтесь к экзамену".
VI. Заключение
1. Дается домашняя контрольная работа по теме "Уравнение с одним неизвестным".
Решить уравнение x³ - 5x² + 5x + a = 0, если известно, что один из его корней равен 1.

4. Решить уравнение 78x4 - 133х³ + 48х² - 133х + 78 = 0.
5. Для каждого значения параметра а решить уравнение ax² - (2a + 7)x + a + 3 = 0.
6. Найдите все значения параметра b, при которых уравнение
имеет ровно один корень.
7*. Решить уравнение x4 + 4х + 3 = 0.
2. Дается оценка работы учащихся на уроке, выставляются в журнал. Сообщается дата и время консультации перед итоговой контрольной работой по этой теме.