Искусственные спутники Земли. Первая космическая скорость. Методическая разработка урока физики
Тема урока:
ИСЗ. Первая космическая скорость.
Тип урока: комбинированный
Цели урока:
- Закрепление и применение полученных знаний для вывода первой космической скорости.
- Изложение материала, расширяющего кругозор учащихся.
- Обсуждение вопросов и решение задач, требующих творческой инициативы и активности учащихся.
- Воспитание чувства патриотизма по отношению к городу и стране, побуждение к творческой деятельности, направленной на изучение истории города и градообразующего предприятия.
- Выработка работоспособности, внимательности учащихся, умения излагать и воспринимать новый материал.
Технические средства:
- персональный компьютер
- мультимедиапроектор
- фото- и видеоматериалы на магнитных и оптических носителях информации
- демонстрационный экран
Раздаточный материал:
Опорные конспекты-таблицы по темам "Движение по окружности" и "Искусственные спутники Земли"
Карточки с индивидуальными заданиями
Информационные технологии:
- мультимедийные демонстрации
- мультимедийные проекты учащихся
Ход урока:
| Этапы | Время | Деятельность учащихся | Деятельность учителя |
| Организация работы | 1-2 минуты | Подготовка к работе на уроке | Объявление темы урока и порядка работы на уроке |
| Повторение изученного (актуализация знаний) | 10 минут | Дифференцированная: - работа по индивидуальным заданиям - участие во фронтальной беседе | Распределение индивидуальных заданий по карточкам и проведение фронтальной беседы с использованием дидактического материала |
| Приобретение новых знаний | 15 минут | Восприятие и запись нового материала | Изложение нового материала в форме диалога с учащимися |
| Закрепление новых знаний | 5 минут | Решение задач по новой теме | Контроль работы учащихся у доски и на местах |
| Изложение материала развивающего характера | 10 минут | Дифференцированное: - сообщения и использованием информационных технологий - восприятие материала сообщений | Оказание необходимой технической помощи учащимся, делающим сообщения |
| Подведение итога урока, выставление оценок, задание на дом | 2-3 минуты |
1. Организация работы.
Преодолев земное притяженье,
Ракета от Земли оторвалась…
И не было счастливее мгновенья -
Здесь новая эпоха началась.
Ступень… вторая… Третья отделилась,
Сгорая в атмосфере без следа…
А над Землей внезапно появилась
Стремительно летящая звезда.
И Человечество застыло в изумленье:
Летящий в небе серебристый шар -
Рук человеческих великое творенье -
Был послан от Земли Вселенной в дар.
Объявление темы урока, порядка работы на уроке:
- работа по карточкам и фронтальная беседа
- изучение и закрепление нового материала
- сообщения учащихся по теме урока
2. Повторение изученного (актуализация знаний)
- работа по индивидуальным заданиям
для слабых учеников - работа с учебником, опорными конспектами по карточкам. Один из слабых учеников работает у доски по карточке с опорным конспектом.
Один из учащихся решает задачу, заданную на дом, на доске, чтобы впоследствии можно было использовать это решение для изложения нового материала.
(Период обращения первого космического корабля "Восток" - спутника Земли - равнялся 90 минутам. Средняя высота спутника над поверхностью Земли 320 км. Радиус Земли 6400 км. Вычислить линейную скорость космического корабля и записать ее в км/с. (7,8 км/с))
- фронтальная беседа с использованием опорных таблиц
1. С помощью каких опытов можно убедиться, что мгновенная скорость тела, движущегося по окружности, направлена по касательной к окружности?
2. Куда направлено ускорение тела при его движении по окружности с постоянной по модулю скоростью? Как называется это ускорение?
3. Можно ли считать движение по окружности с постоянной по модулю скоростью равномерным? Почему?
4. Можно ли считать движение по окружности равноускоренным? Почему?
5. По какой формуле можно вычислить модуль вектора центростремительного ускорения?
3. Изложение нового материала. (приложение 1 - презентация)
1 КАДР
Вопрос:
Как будет двигаться тело, если бросить его в горизонтальном направлении? (По параболе)
2 КАДР
Вопрос:
Какой моделью мы пользуемся, когда рассматриваем такое движение?
(Плоская Земля и однородное гравитационное поле)
3 КАДР
Вопрос:
Можно ли пользоваться такой моделью, если рассматривать движение тела вокруг Земли?
(Нет, так как в этом случае нельзя пренебрегать размерами и формой земли, а ускорение свободного падения в разных точках имеет различное значение и направление)
4 КАДР
Вопрос:
Какая сила вызывает вращение тела вокруг Земли? (Сила тяготения)
5 КАДР
Вопрос:
А что нужно сделать, чтобы тело стало искусственным спутником Земли?
Писатели-фантасты уже несколько веков рисуют нам картины создания искусственных спутников Земли. И один из таких проектов вовсе не кажется безнадежным. Вообразите себе пушку, стоящую на высокой башне. Если из пушки выстрелить, то ядро, описав дугу, упадет на землю. Если же в пушку положить побольше пороху, то ядро получит бoльшую скорость и упадет дальше. При этом Земля вследствие вращения как бы "убегает" от ядра. Если продолжать увеличивать начальную скорость, ядро будет падать все дальше и дальше.
Наконец, можно выстрелить так, что ядро никогда не упадет. Оно будет кружить вокруг нашей планеты, то есть превратится в искусственный спутник Земли. Для этого нужно подобрать такую начальную горизонтальную скорость, чтобы поверхность Земли из-за ее шарообразности удалялась от тела как раз на столько, на сколько тело приближается к Земле благодаря притяжению к ней.
Рассчитаем, с какой скоростью должно вылететь ядро, чтобы стать искусственным спутником Земли, то есть обращаться вблизи Земли по круговой орбите.
6 КАДР
Модель: 1. Земля является однородным шаром с радиусом 6400 км.
2. На тело не действуют никакие силы, кроме силы тяготения, направленной к центру Земли.
3. Спутник будем считать материальной точкой.
7 КАДР
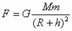
Гравитационная сила, действующая на спутник 
М - масса Земли
m - масса спутника
R - радиус Земли
h - высота спутника над поверхностью Земли.
Сила тяготения сообщает спутнику центростремительное ускорение

но по II закону Ньютона
![]()
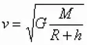
Отсюда получаем равенство:

или:

то есть имеем выражение для скорости:

8 КАДР
Выводы:
- Скорость спутника зависит от его высоты над поверхностью Земли
- Скорость не зависит от массы спутника
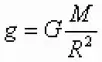
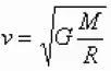
Если принять h = 0, то вблизи поверхности Земли
и 
и тогда

Вычисляя, получаем, что скорость равна приблизительно 8000 м/с (сравним эту скорость с той, которую получил ученик, решавший задачу у доски)
9 КАДР
Тело, скорость которого равна 7,9 км/с и направлена горизонтально относительно поверхности Земли, становится искусственным спутником, движущимся по круговой орбите на небольшой высоте над Землей.
10 КАДР -1,2 и 3 космические скорости
11 КАДР оставить
|
Космическая скорость |
Значение км/с |
Вид траектории |
Движение тела |
|
Первая |
7,9 |
окружность |
Спутник Земли |
|
11,2>v>7,9 |
Эллипс |
||
|
Вторая |
11,2 |
парабола |
Покидает пределы Солнечной системы |
4. Закрепление новых знаний
1. По группам решаются задачи. Карточки с названиями планет раздаются заранее. Ученики до получения задания не знают об их назначении. Данные о планетах содержатся на карточках.
Ваш космический корабль произвел вынужденную посадку на одну из планет Солнечной системы. Определить скорость космического корабля для запуска его на круговую орбиту планеты. Атмосферы планет разреженные (можно пренебречь силами сопротивления).
| Планета | Масса планеты | Радиус планеты, км | 1-я космическая скорость |
| Земля | Мз = 5,976·1024кг | 6 370 | |
| Меркурий | 0,056 Мз | 2 435 | |
| Марс | 0,11 Мз | 3 395 | |
| Плутон | 0,18·Мз | 3000 |
После решения задачи заполняется таблица, куда вносятся вычисленные значения 1-й космической скорости
5. Сообщения учащихся с использованием мультимедийных презентаций.
Темы сообщений:
"Первый, второй и третий искусственные спутники Земли"
"Вклад НПО машиностроения в создание современной ракетно-космической техники"
"Автоматические и пилотируемые космические аппараты, созданные НПО машиностроения"
Подведение итогов урока и домашнее задание.
----------------------------------------------------------------------------------------------------
Ниже приводится вариант задания для индивидуальной работы слабых учеников
Фамилия, имя
| Укажите на рисунке направление вектора ускорения в точке А при равномерном движении тела по окружности | ![]() |
| Укажите на рисунке направление вектора скорости в точке А при равномерном движении тела по окружности | |
| Запишите формулу центростремительного ускорения | |
| Запишите Закон всемирного тяготения | |
| Как двигалась бы Луна, если бы на нее не действовала сила тяготения? |
Приложение 2. Искусственные спутники Земли.
