Методы решения показательных уравнений
Метод решения хорош, если с самого начала мы можем предвидеть - и
в последствии подтвердить это, - что, следуя этому методу, мы достигнем цели
Г. Лейбниц
Тип урока: Закрепление и совершенствование знаний.
Цели:
Дидактическая - Повторить и закрепить методы решения показательных уравнений; совершенствовать применение полученных знаний при решении уравнений повышенного уровня сложности;
Развивающая - Развитие логического мышления, памяти, познавательного интереса, продолжить формирование математической речи и графической культуры, вырабатывать умение анализировать;
Воспитательная - Приучать к эстетическому оформлению записи в тетради, построению графиков, умению общаться, прививать аккуратность.
Оборудование: классная доска, цветные мелки, компьютер, проектор, экран, карточки с заданиями теста, с заданиями для работы в группах.
Формы работы: фронтальная, индивидуальная, групповая, коллективная.
ХОД УРОКА
1. Организационный момент
2. Постановка цели
3. Актуализация знаний
Проводится устная работа с классом
- Какая функция называется показательной?
- Приведите примеры показательных функций.
- Назовите свойства показательной функции.
- Какое уравнение называется показательным?
- Какое уравнение называется показательным?
- Методы решения показательных уравнений.
- Метод приведения степеней к одному основанию
- Вынесение общего множителя за скобки
- Метод замены переменной
- Метод почленного деления
- Метод группировки
- Графический метод
4. Мини-тест
Проводится тест (слайд 2) Показывается через проектор

Ключ к тесту: (слайд 3)
|
1 |
2 |
3 |
4 |
5 |
|
В |
В |
А |
В |
Б |
5. Устная работа
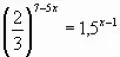
Каким способом можно решить каждое уравнение? (слайд 4)
1. ![]()
2. ![]()
3. 
4. ![]()
5. ![]()
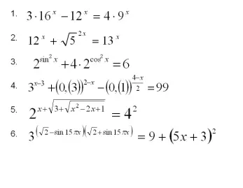
6. Индивидуальная работа (слайд 5)
Учащимся дается карточка с 6-ю уравнениями. Каждый член группы выбирает себе уравнение и метод решения. Возможна помощь членов группы.

К доске вызываются 6 учащихся. На доске постепенно появляются способы решения уравнений.
Решение
1.
(разделим обе части уравнения на
)
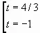
. Пусть ![]()
![]()
, t=-1 не удовлетворяет условию t>0.
Ответ: 1
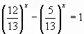
2.
(разделим обе части уравнения на
)
. Функция
сумма двух убывающих функций есть функция убывающая,
следовательно, уравнение имеет одно решение. Видно, что этим решением будет число 2. Ответ: 2.
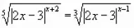
3. ![]()
Пусть
тогда ![]()
Ответ: ![]()
4. ![]()
Т.к. 0,(3)=1/3, а 0,(1)=1/9, то
![]()
х=6. Ответ: 6.
5.
,
, (
)
![]()
При х>1
x=7 и х=2.
При х<1 ![]()
х=4 и х=3.
Т.к.
, то решением исходного уравнения является х=2. Ответ: 2.
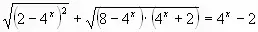
6.
![]()
Оценим значение левой и правой частей уравнения:
![]()
поэтому равенство достигается, если и левая и правая части уравнения
равны 9, т.е. ![]()
5х+3=0, х=-0,6.
![]()
Проверка: верно, поэтому х=-0,6 корень уравнения. Ответ: -0,6.
7. Работа в группах
Определить количество корней уравнения

(слайд 6)
Учащиеся строят график (3 корня)

8. Составить уравнение, решение которого изображено на рисунке (слайд 7).

Учитель вызывает по желанию одного учащегося группы.
Выслушивает ответ, поправляя недочеты
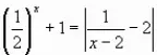
9. Работа в группах (слайд 8)
Решите уравнение ![]()
(Если учащиеся не вызвались решать, показывает решение). Учитель вызывает по желанию учащегося той группы, которая первая закончила работу. Следит за верностью рассуждений.
Решение.
, ![]()
Данное уравнение верно в том случае, если
1.
;
х=3/2.
2. ![]()
![]()
3. 3х+6=5х-5, х=5,5. Ответ: 1; 3/2; 2; 5,5.
10. Найдите ошибку в решении уравнения (слайд 9)

11. ПРОСМОТР ТВОРЧЕСКИХ РАБОТ (слайд 10)
После найденной ошибки в уравнении осуществляется проверка творческого домашнего задания (в виде проекта задачи).
Выясните, при каких значениях а уравнение
имеет решение?

12. Домашнее задание (слайд 11)
Учитель поясняет домашнее задание, обращая внимание на то, что аналогичные задания были рассмотрены на уроке. Учащиеся внимательно прослушав пояснения учителя, записывают домашнее задание.
1. ![]()
2. ![]()
3. ![]()
4. ![]()
13. ПОДВЕДЕНИЕ ИТОГОВ
Сегодня на уроке мы повторили все изученные нами методы решения показательных уравнений, которые предлагаются на ЕГЭ по математике.