Информационные технологии на уроках алгебры 8-го класса при изучении темы "Уравнение"
Здравствуйте, ребята, уважаемые гости! Одно мгновение, за ним другое. За секундой идёт следующая, так
складываются минуты, часы, дни, месяцы, годы, окружающая нас действительность, плавно подводящая вас к сдаче единого государственного экзамена. И сегодня на уроке вам предстоит большая работа с одним
из выражений, а с каким именно вы скажете сами позже.
Итак, начнём подготовку к успешной сдаче ЕГЭ:
Ваша задача за 7-8 минут выполнеть задания с карточки ЕГЭ № 22 учащиеся решают задания в тетрадях для подготовки к ЕГЭ.
1. х2 = 9
2. 5а - а2=0 первые 2 учащихся, справившихся быстрее демонстрируют
3.
результаты решений на доске.
4. 2х2 = - 4
5. 16 - у2 = 0 затем учащимся предлагается слайд 1 с верными ответами,
6.
происходит обсуждение результатов, решение заданий вызвавших
7. а2 - 7 = 0 затруднение в решении.
8. (3а - 3)(-а + 8)=0
9. - у2 = 11
10. 4х2 - 16 =0
Вопрос классу: с каким выражением вы работали?
Ответ: решали уравнения.
Начинается этап повторения: учащимся предоставляются вопросы, ответы сверяются по слайдам 3, 4, 5, 6, 7.
А с какими уравнениями вы чаще всего встречались на уроках алгебры последнее время? (Квадратными)
Начинает выступать 1-я группа учащихся: Яблунина Нина, Тюпышева Ульяна.
Во время изложения материала по теме " Квадратные уравнения" девочки ещё раз проговаривают виды квадратных уравнений: полные и неполные, способы решения с примерами. Предлагают учащимся в решении отдельных уравнений применить следующий способ решения с использованием коэффициентов: а+в+с=0 .Демонстрируют на слайдах примеры, составленные собственноручно с решением. Предлагают одноклассникам решить несколько уравнений, проверяют ход решений, а затем предлагают свои решения.
2 группа учащихся: Нечаева Ирина, Трошина Евгения предлагают решать уравнения по формуле: а-в+с=0. Демонстрируют на слайдах примеры, составленные собственноручно с решением. Предлагают одноклассникам решить несколько уравнений, проверяют ход решений, а затем предлагают свои решения.
3 группа учащихся: Давыдова Елизавета, Кутепова Евгения предлагают решать квадратные уравнения используя чёность второго коэффициента, демонстрируют на слайдах примеры, составленные собственноручно с решением. Предлагают одноклассникам решить несколько уравнений, проверяют ход решений, а затем предлагают свои решения.
После рассмотрения материала, самостоятельно рассмотренного учащимися учитель задаёт свои уравнения, учащиеся в парах их решают, а затем проверяют ответы.
Цели урока:
обучающие:
- обобщение и систематизация знаний по теме: "Квадратные уравнения";
- ликвидация пробелов знаний учащихся в решении неполных квадратных уравнений.
развивающие:
- расширение кругозора учащихся;
- пополнение словарного запаса;
- развитие мышления, внимания, умения учиться.
воспитательные
- привитие интереса самостоятельного изучения учебного материала с передачей информации учащимся-одноклассникам.
- формирование умения слушать и слышать, понимать объяснение одноклассников, вести дискуссию, отстаивать правильность рассуждений.
Оборудование: мультимедиапроектор, экран; у каждого ученика тетрадь для подготовки к ЕГЭ.
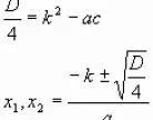
В ходе решения квадратных уравнений, имеющих D > 0, мы громоздкими вычислениями иногда получали один из корней, равный -1, а второй какое-либо число. Исследуя коэффициенты, мы с Женей пришли к
выводу, что применять формулу корней необязательно, а достаточно лишь проверить дискриминант на сравнение с 0 . Если дискриминант больше 0, то х1=-1, а х2 = -
. Мы приведём вам сначало свои примеры уравнений, вычисления корней которых подчиняются данным вычислениям, а потом предложим вам рассмотрение
некоторых самостоятельно, решения постараемся проверить: приводите свои примеры с решениями, рассказываете, обосновываете.
|
Свойство коэффициентов
1. а + b + c = 0, x1 = 1, x2 = 2. а - b + c = 0, x1 =-1, x2 = - 3. b = 2•k
|
Свойство коэффициентов
1. а + b + c = 0, x1 = 1, x2 = 2. а - b + c = 0, x1 =-1, x2 = - 3. b = 2•k
|
Свойство коэффициентов
1. а + b + c = 0, x1 = 1, x2 = 2. а - b + c = 0, x1 =-1, x2 = - 3. b = 2•k
|
|
Свойство коэффициентов
1. а + b + c = 0, x1 = 1, x2 = 2. а - b + c = 0, x1 =-1, x2 = - 3. b = 2•k
|
Свойство коэффициентов
1. а + b + c = 0, x1 = 1, x2 = 2. а - b + c = 0, x1 =-1, x2 = - 3. b = 2•k
|
Свойство коэффициентов
1. а + b + c = 0, x1 = 1, x2 = 2. а - b + c = 0, x1 =-1, x2 = - 3. b = 2•k
|
Презентация 1. Презентация 2. Презентация 3. Презентация 4

