Урок "Тела вращения". 11-й класс
Цели урока:
образовательные:
- обобщить и систематизировать знания учащихся по теме «Тела вращения»;
- проконтролировать степень усвоения знаний, умений и навыков учащихся.
воспитательные:
- показать, что источник возникновения изучаемой темы – реальный мир, что она возникла из практических потребностей;
- воспитание вычислительных навыков;
- показать связь с историей;
- воспитание самостоятельности;
- воспитание стремления к самореализации.
развивающие:
- совершенствование, развитие, углубление знаний, умений и навыков по теме;
- развитие пространственного воображения;
- развитие мыслительной деятельности: умения анализировать, обобщать, классифицировать.
1 этап – организационный
Тема сегодняшнего урока «Тела вращения».
2 этап
Цель урока: повторить формулы вычисления объемов тел вращения и их площадей поверхностей, рассмотреть практическое применение этих формул. (3 мин.)
3 этап
Ребята! Вначале урока мы с вами просмотрим видеофильм, который напомнит нам, как получаются тела вращения.
Запуск видеофильма.
Теперь вспомним формулы объемов тел вращения и площадей поверхностей.
На экране вы видите названия тел вращения и формулы объемов. Поставьте в соответствие формулы объемов тел и названия фигур.
Закончили сопоставление, а теперь сравните свои ответы с таблицей.
Высвечивается слайд с таблицей соответствия по объемам тел вращения.
Аналогично, проведите работу по сопоставлению формул вычисления площадей поверхностей и названий фигур.
Высвечивается слайд с таблицей соответствия по площадям поверхностей тел вращения.
4 этап – самостоятельная работа
Высвечивается слайд с самостоятельной работой. Учащиеся решают задачи самостоятельной работы.

Проверка работы (самопроверка). Высвечивается слайд с ответами к самостоятельной работе.

5 этап – решение задач
1. Практическое применение объемов тел вращения. (10 мин.)
А сейчас, рассмотрим задачи на практическое применение формул объемов тел вращения.
Высвечивается слайд с текстом задачи. На ваших столах лежат листы с текстами задач. Оформите решение задач на этих листах. Высвечивается слайд с формулами объемов тел вращения.
Вызвать к доске двух учащихся по желанию на решение этих задач. Ребята работают за закрытой доской.
Задача №1.
Для проведения посевной руководству хозяйства нужно закупить горюче смазочные материалы, а именно дизельное топливо в количестве 45000 литров. Сколько цистерн дизельного топлива нужно заказать хозяйству, если тело цистерны состоит из цилиндрической поверхности, а боковые части - две полусферы и имеет следующие размеры: диаметр полусферы – 1,5 м, длина цилиндрической части – 4 м. (π≈3,14).
Ответ: 10 цистерн.
Задача № 2.
Для содержания одной коровы фермеру требуется заготовить на зиму 3 т сена. Он заготовил стог сена в виде конуса с радиусом основания 5 м и образующей 7 м. Хватит ли корове сена на зиму, если плотность сена равна 0,03 г/см3.
Ответ: хватит.
Прослушать учащихся у доски. Учащимся сравнить решение задач с решением на доске.
2. Нахождение отношения объема или площади поверхности цилиндра к объему или площади поверхности вписанного в него шара. (10 мин.)
Эпиграфом к видеофильму, который мы с вами просмотрели в начале урока, были слова Лейбница о том, что внимательно читая сочинения Архимеда, перестаешь удивляться новым открытиям геометров. Именно Архимед, живший в 3 веке до нашей эры, вывел формулы вычисления объема и площади поверхности шара, цилиндра и в честь этого на его могиле в Сиракузах установлена надгробная плита, на которой изображен цилиндр с вписанным в него шаром. Конечно, им было сделано много открытий в математике, и мы сегодня с вами попробуем сделать некоторые из этих открытий.
Но вначале нам необходимо вспомнить при каком условии шар можно вписать в цилиндр? (Ответ: если осевое сечение цилиндра – квадрат)
Ребятам предлагается найти отношение объема цилиндра к объему вписанного в него шара и отношение площадей поверхностей этих фигур.
Вызвать к доске двух учащихся по решению этих задач.
1 вариант.
Найти отношение объема цилиндра к объему вписанного в него шара.
Ответ: 3/2.
2 вариант.
Найти отношение площади поверхности цилиндра к площади поверхности вписанного в него шара.
Ответ: 3/2.
Спросить у учащихся ответы, которые они получили, сравнить полученные результаты и сделать выводы.
Вывод: найденные отношения не зависят ни от размеров фигур, а только зависят от условия, что шар вписан в цилиндр.
А теперь, основываясь на полученный результат, ответьте, пожалуйста, на следующий вопрос: Из деревянного равностороннего цилиндра выточили наибольший возможный шар. Сколько процентов материала сточено?
Ответ: 33
%.
6 этап – домашнее задание с комментариями
Задача 1:
Найти отношение объемов тел, полученных при вращении ромба вокруг каждой из его диагоналей.
Ответ: ![]()
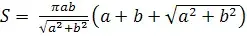
Задача 2:
Найти площадь поверхности тела вращения, полученного вращением
прямоугольного треугольника с катетами
и
вокруг прямой, параллельной гипотенузе и проходящей через вершину
прямого угла.
Ответ: ![]()
7 этап – выставление оценок и подведение итога урока
Объявить оценки за урок.
Подвести итог урока: На сегодняшнем уроке мы с вами повторили формулы вычисления объемов тел вращения и их площадей поверхностей, выяснили, что данные тела имеют широкое практическое применение и сделали небольшое открытие, которое еще в 3 веке до нашей эры сделал Архимед.
Высвечивается слайд с формулами и слайд с изображением на надгробной плите на могиле Архимеда.
Спасибо вам ребята за работу на уроке. До свидания.