Активизация познавательной деятельности на уроках математики

Страшная эта опасность - безделье за партой; безделье шесть часов ежедневно, безделье месяцы и годы. Это развращает, морально калечит человека, и ни школьная бригада, ни школьный участок, ни мастерская - ничто не может возместить того, что упущено в самой главной сфере, где человек должен быть тружеником, - в сфере мысли.

В.А. Сухомлинский.

В настоящее время в России идет становление новой системы образования. Этот процесс сопровождается существенными изменениями в педагогической теории и практике учебно-воспитательного процесса. Традиционные способы передачи информации уступают место использованию информационно-коммуникативным технологиям. В этих условиях учителю необходимо ориентироваться в широком спектре инновационных технологий, идей, школ, направлений. Увеличение умственной нагрузки на уроках математики заставляет задуматься над тем, как поддержать интерес к изучаемому материалу у учащихся, их активность на протяжении всего урока. В связи с этим ведутся поиски новых эффективных методов обучения и таких методических приёмов, которые бы активизировали мысль школьников, стимулировали бы их к самостоятельному приобретению знаний. Возникновение интереса к математике у значительного числа учащихся зависит в большей степени от методики её преподавания, от того, насколько умело будет построена учебная работа. Необходимо позаботиться о том, чтобы на уроке включать каждого ученика в деятельность, обеспечивающую формирование и развитие познавательных потребностей - познавательные мотивы. Это особенно важно в подростковом возрасте, когда ещё формируются, а иногда и только определяются постоянные интересы и склонности к тому или иному предмету. К тому же в современных условиях важное значение приобрела проблема профессиональной подготовки специалистов, способных мыслить и действовать творчески, самостоятельно, нетрадиционно. Немаловажная роль отводится информационным и телекоммуникационным технологиям, так как они позволяют решить проблему перехода от традиционной формы обучения, направленной на усвоение учеником фиксированной суммы знаний, к новой, где основной упор сделан на освоение способов деятельности. В понятие же "новое качество" образования вкладывается, прежде всего, способность самостоятельно учиться и добывать знания, ведь перед школой встала непростая задача: подготовить новых граждан к жизни в новом информационном обществе, подготовить их к продуктивной деятельности в новых экономических условиях.

В своей педагогической деятельности я ставлю цель, чтобы с помощью средств новых педагогических и информационных технологий увеличивать свой дидактический потенциал, позволяющий оперативно осуществлять обратную связь, открывать ученику возможность продвигаться в адекватно его способностям в темпе. Это способствует и выдвигаемой сегодня концепции школы, провозгласившей личностно-ориентированный принцип главным, в которой особая роль отводится дифференцированному обучению.

Современное информационное общество ставит перед учителем задачу подготовки выпускников, способных: - ориентироваться в меняющихся жизненных ситуациях, самостоятельно приобретая необходимые знания, применяя их на практике для решения разнообразных возникающих проблем, чтобы на протяжении всей жизни иметь возможность найти в ней свое место; - самостоятельно критически мыслить, видеть возникающие проблемы и искать пути рационального их решения, используя современные технологии; - четко осознавать, где и каким образом приобретаемые ими знания могут быть применены; быть способными генерировать новые идеи, творчески мыслить; - грамотно работать с информацией (собирать необходимые для решения определенной проблемы факты, анализировать их, делать необходимые обобщения, сопоставления с аналогичными или альтернативными вариантами решения, устанавливать статистические и логические закономерности, делать аргументированные выводы, применять полученный опыт для выявления и решения новых проблем); - быть коммуникабельными, контактными в различных социальных группах, уметь работать сообща в различных областях, в различных ситуациях, предотвращая или умело выходя из любых конфликтных ситуаций; - самостоятельно работать над развитием собственной нравственности, интеллекта, культурного уровня.

Личность каждого человека наделена только ей присущим сочетанием черт и особенностей, образующих ее индивидуальность. Под влиянием возрастающих требований жизни увеличивается объем и усложняется содержание знаний подлежащих усвоению в школе. Но при традиционной системе обучения не каждый школьник способен освоить программу. По своим природным способностям, темпу работы и т.д. учащиеся сильно отличаются друг от друга. Нередко в одном классе можно наблюдать школьников как с очень высоким так и с очень низким уровнем развития. Учитель обычно выбирает методы, формы обучения, ориентированные на среднего ученика. При этом слабым и сильным ученикам уделяется мало внимания. В этих условиях учащиеся с хорошими способностями работают без особого напряжения, а слабые испытывают возрастающие затруднения.

Как заинтересовать математикой? Дело непростое. Многое зависит от того, как поставить даже очевидный вопрос, и от того, как вовлечь всех учащихся в обсуждение сложившейся ситуации. Творческая активность учащихся, успех урока целиком зависит от методических приемов, которые выбирает учитель. Как сформировать интерес к предмету у ребенка? Через самостоятельность и активность, через поисковую деятельность на уроке и дома, создание проблемной ситуации, разнообразие методов обучения, через новизну материала, эмоциональную окраску урока.

О некоторых средствах повышения эффективности обучения и приемах активизации познавательной деятельности учащихся, которые используются мною, я хочу рассказать. Не все, представленное вашему вниманию, является моим "изобретением", многое есть результат перенятого опыта у коллег, а также из источников полезной информации.

Сообщить готовое быстрее, чем открывать его вместе с учениками. Но от "прослушанного", как известно, через две недели в памяти остается только 20%. Важно сделать учащихся участниками научного поиска: рассуждая вслух, высказывая предположения, обсуждая их, доказывая истину. Учащиеся включаются в деятельность, которая носит исследовательский характер. В реализации проблемного обучения существенную роль играет создание на уроке учебной проблемной ситуации. Это оправдывающий себя дидактический прием, с помощью которого учитель держит в постоянном напряжении одну из внутренних пружин процесса обучения - детскую любознательность. Выдающийся немецкий педагог А.Дистервег убеждал, что развитие и образование ни одному человеку не могут быть даны или сообщены. Этого можно достичь собственной деятельностью, собственными силами, собственным напряжением.

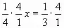
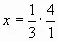
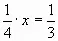
Рассмотрим пример. Начинаем изучать "Деление обыкновенных дробей" (6 класс). Как добиться, чтобы ученики получили возможность участвовать в выводе правила деления? Этой цели служит специальное домашнее задание. На уроке, предшествующем данной теме, предлагаю решить уравнение.

. Конечно, чтобы получить ожидаемое, необходимо вести целенаправленную работу на предыдущих уроках. В результате вариантов решений несколько. Все рассматриваем, но внимание обращаем на следующий способ:

Вывод: Чтобы разделить одну дробь на другую, надо делимое умножить на число, обратную делителю.

Каждый учитель знает индивидуальные особенности своих детей и может определить степень помощи ученикам в виде наводящих вопросов, в виде подборки устных упражнений и т.д. На этом же уроке создание проблемных ситуаций можно продолжить, предложив деление смешанных чисел, деление обыкновенной дроби на натуральное число.

С помощью наводящих вопросов я побуждала учащихся самих сформулировать определение пропорции, самих находить неизвестный член пропорции, используя основное свойство пропорции.

Одним из средств активизации познавательной деятельности школьников является широкое использование их жизненного опыта. Большую роль в усвоении материала играют при этом практические работы. Часто дети запоминают только то, над чем потрудились их руки, если ученик что-то рисовал, чертил, вырезал или закрашивал, то это что-то само по себе становится опорой для его памяти. Такой вид работы как обучающее практическое занятие является творческим для учащихся. Выполнение задания и обобщение результатов приводит их к новому математическому знанию. В этих условиях познавательная деятельность представляет собой самодвижение. В результате такой работы новые знания не поступают извне в виде информации, а являются внутренним продуктом практической деятельности самих учащихся.

Велика роль опорных схем или карточек-информаторов в активизации познавательной деятельности учащихся. Их лучше составлять вместе с учащимися на уроке в самом начале изучения темы, и можно пользоваться, пока тема не исчерпана. Помогают они и при повторении. Очень хорошо выполняется такая работа в группах. Каждая группа создает свою модель, фиксирует на листах, которые по окончании работы крепятся к доске. В ходе межгрупповой дискуссии выделяется лучшая модель или корректируются предложенные и создается новая. Опорные схемы, карточки-информаторы уменьшают нагрузку на память, помогают преодолеть страх перед необходимостью изложить материал самостоятельно.

Одной из основных задач преподавания курса математики в школе является формирование у учащихся сознательных и прочных вычислительных навыков. О наличии у учащихся вычислительной культуры можно судить по их умению производить устные и письменные вычисления, рационально организовывать ход вычислений, убеждать в правильности полученных результатов. Вычислительные навыки отличаются от умений тем, что выполняются почти бесконтрольно. Такая степень овладения умениями достигается в условиях их целенаправленного формирования. Поэтому большое внимание на уроках уделяю устному счету, различным приемам устной работы. Организация устных вычислений в методическом отношении представляет собой большую ценность. В ходе устного счета развивается память, быстрота реакции, воспитывается умение сосредоточиться, инициатива учащихся, потребность к самоконтролю, повышается культура вычислений. А использование методов анализа и синтеза способствует развитию логического мышления учащихся.

Интересной методической находкой является создание вычислительных лабиринтов. Дети должны начертить путь прохождения по лабиринту. При этом проход через ворота, в которых содержится пример, возможен, если в ответе данного примера получено некоторое данное число. Если задания лабиринта требуют большого времени, его можно давать в качестве домашнего задания. Если задания просты, я использую лабиринт на уроке. Учителю легко проверять такие карточки, детям интересно с ними работать.

Сложность состоит в составлении лабиринтов, т.к. необходимо сначала сочинить задание, а затем оформить.

Недавно появившаяся в России система централизованного тестирования и итоговая аттестация в форме ЕГЭ активно внедряет в образование современные технологии оценки учебных достижений, с одной стороны, и определяет необходимость более четкого и конкретного определения минимума содержания образовательного стандарта по разделам, курсам, предметам, с целью упорядочивания нагрузки ученика, с другой стороны.

Целесообразно шире использовать тестирование по разделам, отдельным темам, отрабатывая технологию проведения. Метод тестирования позволяет объективно определить результаты обучения, выявить проблемы и недостатки обучения как целого класса, так и каждого ученика в отдельности. Тестирование позволяет:

  • учитывать индивидуальные особенности учащихся;
  • проверять качество усвоения материала;
  • разнообразить процесс обучения;
  • сэкономить время на опрос;
  • использовать тесты для компьютеризации обучения.

С помощью тестов можно проверить большой объем изученного материала, быстро "диагностировать" овладение учебным материалом большого количества учащихся. Содержание тестовых задач и многократное тестирование позволяет даже слабым ученикам выполнить часть работы, минуя психологический стресс, получить удовлетворительную оценку и овладеть объемом знаний, достаточным для этого.

Оживляет урок и использование различных форм ИКТ, но наиболее простой из них является презентация, когда компьютер выполняет роль и доски, и учебника, и дидактического пособия. Использование этой формы дает ряд преимуществ:

  • возможность обеспечить ученику индивидуальный режим работы.
  • ещё одним преимуществом является возможность предоставить разную информацию каждому ученику в различном виде;
  • большие возможности оформления информации: использование широкой цветовой гаммы при оформлении слайдов, различного рода шрифтов и, конечно, эффекты анимации.
  • оптимизация работы учителя при подготовке урока (организация уроков, требующих использование большого количества дидактического материала - иллюстраций, схем, диаграмм), при проведении контроля знаний (одновременно позволяет использовать различные виды контроля и проверки знаний - тесты, задания на соотнесения, найти ошибку в тексте, продолжить фразу и т. д.).

Есть разные мнения учителей о целесообразности использования компьютерных технологий в обучении математике. Для меня этот вопрос стал решённым, как только я провела несколько пробных уроков в 5 классе и увидела неподдельный интерес у учащихся к работе на компьютере и повышенный интерес к решению различных математических задач. Ведь обычно урок математики, как и впрочем, любой другой, часто сводится лишь к "прохождению" программы, причём преимущественно с использованием объяснительно-иллюстративного метода: делай как я (посмотри - повтори - запомни). Поэтому в этих случаях при объяснении нового материала большинство учеников являются пассивными слушателями. Если объяснение подробное и доступное, то учащиеся попадают в благоприятную среду, которая не требует самостоятельного поиска решений, лишает возможности каждого ученика достигать поставленных целей.

Круг методических и педагогических задач, которые можно решить с помощью компьютера, разнообразен. Компьютер - универсальное средство, его можно применить в качестве калькулятора, тренажёра, средства контроля и оценки знаний, ко всему прочему - это идеальная электронная доска. Важной методической задачей, в плане применения компьютера, является обучение решению задач, а так же некоторым основным способам математических действий, алгоритмам.

Огромные возможности компьютерной техники, гигантское многообразие культурной информации, которое предоставляют мультибиблиотеки и всемирная сеть Интернет становятся доступны учащимся. Компьютерный урок характеризуется, прежде всего, интенсивностью использования компьютера, которая может быть оценена процентом времени общения учащихся с компьютером по отношению ко всему времени урока. Изменение технологии получения знаний на основе таких важных дидактических свойств компьютера, как индивидуализация и дифференциация учебного процесса при сохранении его целостности; ведёт к коренному изменению роли педагога. Главной его компетенцией становится роль помощника, консультанта, навигатора, как в мире знаний, так и в становлении у ученика целостного качества быть личностью.

Компьютер практически решает проблему индивидуализации обучения. Обычно ученики, медленнее своих товарищей усваивающие объяснения учителя, стесняются поднимать руку, задавать вопросы. Имея, в качестве партнёра компьютер, они могут многократно повторять материал в удобном для себя темпе и контролировать степень его усвоения. Компьютер значительно расширяет возможности представления информации. Главная методическая проблема преподавания смещается от того, "как лучше рассказать материал", к тому, "как лучше показать". Применение цвета, графики, мультипликации, звука, всех современных средств видеотехники позволяет воссоздать реальную обстановку деятельности.

Компьютер позволяет усилить мотивацию учения. Усвоение знаний, связанных с большим объёмом цифровой и иной конкретной информации, путём активного диалога с персональным компьютером более эффективно и интересно для ученика, чем штудирование скучных страниц учебника. С помощью обучающих программ ученик может моделировать реальные процессы, а значит - видеть причины и следствия, понимать их смысл. Компьютер позволяет устранить одну из важнейших причин отрицательного отношения к учёбе - неуспех, обусловленный непониманием сути проблемы, значительными пробелами в знаниях и т. д. На компьютере ученик получает возможность довести решение любой проблемы до конца, опираясь на необходимую помощь. В связи с ограниченными техническими возможностями школы я использую компьютерные технологии в комплексе с традиционными методами обучения. Так, например, для устного счёта в 5 - 8 классах удобно использовать фрагменты программы "Витаминный курс математики для 5- 8 классов". На каждом конкретном уроке используются определённые фрагменты данной программы. Каждый ученик работает индивидуально, с помощью проб и ошибок приходит к правильному ответу. В итоге нет в классе такого ребёнка, который бы не справился с заданием, или был бы пассивен и ждал бы, когда же наконец учитель обратит своё внимание на него. Компьютерная графика позволяет детям незаметно усваивать учебный материал, манипулируя различными объектами на экране дисплея. При закреплении изучаемого материала использовала компьютерные презентации "Округление десятичных дробей" и "Сравнение десятичных дробей". Каждый комплект слайдов позволяет отработать прочные навыки по изучаемой теме. К тому же слайды можно использовать во время проверочной работы.

Использование анимации, цвета, звука удерживает внимание учащихся.

<Приложение 1>

Одной из существенных составных частей математической подготовки учащихся является участие в разных олимпиадах ( олимпиада/ " Интеллект", " Авангард"). Во время олимпиад показывали хорошие результаты не только традиционно сильные ученики, но также и ребята, имеющие не слишком хорошую успеваемость.

Получая из сети Интернет учебно-значимую информацию, учащиеся приобретают навыки:

  • целенаправленно находить информацию в Интернет и систематизировать ее по заданным признакам;
  • видеть информацию в целом, а не фрагментарно, выделять главное в информационном сообщении, устанавливать ассоциативные и целесообразные связи между информационными сообщениями;
  • четко формулировать то, что узнали из мультимедийного информационного источника, визуальную информацию переводить в вербальную знаковую систему, и наоборот;
  • отличать корректную аргументацию от некорректной, находить ошибки в получаемой информации и вносить предложения по их исправлению, принимать личностную позицию по отношению к скрытому смыслу;
  • использовать формируемые в школе знания при восприятии и критическом осмыслении информации, интерпретировать информацию, понимать ее суть, адресную направленность, цель информирования;
  • воспринимать альтернативные точки зрения и высказывать обоснованные аргументы "за" и "против" каждой из них.

При проведении психологической экспертизы эффективности деятельности педагога изучалось мнение детей. В ходе тестирования учащихся обращалось внимание на способность учителя создать на уроке атмосферу эмоционального комфорта, а также умение развить и поддержать интерес детей к изучению своего предмета. Удовлетворенность преподаванием предмета составила 1,9 балла (максимальная - 2), домашнюю работу по предмету с интересом выполняют 63% учащихся, любимым предметом математику называют 71% учащихся. Урок математики, как самый интересный урок, называют 50% учеников. Включение в ход урока информационно-компьютерных технологий делает процесс обучения математике интересным и занимательным, создаёт у детей бодрое, рабочее настроение, облегчает преодоление трудностей в усвоении учебного материала.

Высокая познавательная активность возможна только на интересном для ученика уроке, когда ему интересен предмет изучения. И наоборот, "воспитать у детей глубокий интерес к знаниям и потребность в самообразовании - это означает пробудить познавательную активность и самостоятельность мысли, укрепить веру в свои силы".

Любой педагог, пробуждая интерес к своему предмету, не просто осуществляет передачу опыта, но и укрепляет веру в свои силы у каждого ребенка независимо от его способностей. Следует развивать творческие возможности у слабых учеников, не давать остановиться в своем развитии более способным детям, учить всех воспитывать у себя силу воли, твердый характер и целеустремленность при решении сложных заданий. Все это и есть воспитание творческой личности в самом широком и глубоком понимании этого слова. Но для создания глубокого интереса учащихся к предмету, для развития их познавательной активности необходим поиск дополнительных средств, стимулирующих развитие общей активности, самостоятельности, личной инициативы и творчества учащихся разного возраста.

И учебник и урок должны быть увлекательными. Интерес школьников к учению надо рассматривать как один из самых мощных факторов обучения. Математику надо рассматривать не как систему истин, которые надо заучивать, а как систему рассуждений, требующую творческого мышления. Умение заинтересовать математикой - дело непростое. Многое зависит от того, как поставить даже очевидный вопрос, и от того, как вовлечь всех учащихся в обсуждение сложившейся ситуации. Творческая активность учащихся, успех урока целиком зависит от методических приемов, которые выбирает учитель.

Обучение математике в школе вполне можно и нужно строить так, чтобы оно представлялось для учащегося серией маленьких открытий, по ступенькам которых ум ученика может подняться к высшим обобщениям.

Приложения

Похожие уроки