Обучение общему приёму решения систем уравнений
В настоящее время образовательные стандарты стали все больше обращаться к компетенциям как к ведущему критерию подготовленности учащихся к эффективной деятельности в определенной сфере. Одна из компетенций – умение ориентироваться в информации, умение ее получать, анализировать и т.д., т.е. учащиеся должны владеть определенными общими приемами деятельности. На материале темы “Системы рациональных уравнений” (8-ой класс) мы рассмотрим один из таких приемов, касающийся анализа данной системы и построения (выбора) способа ее решения в зависимости от ее вида. При этом закладывается такое важное качество знаний, которое называется обобщенностью.
Основные общие методы решения систем уравнений отрабатываются в средней школе при изучении темы “Системы линейных уравнений” в 7-ом классе. Это метод подстановки, метод сложения, уравнивания коэффициентов. На материале темы “Системы рациональных уравнений” (8-ой класс по учебнику С.М. Никольского и др.) обычно предполагается тренировка тех же методов на системах другого вида и иногда введение дополнительных общих методов решения систем. В реальной практике, когда ученик сталкивается с системой уравнений, ему необходимо самому сориентироваться и выбрать способ ее решения, но анализ учебных пособий показал, что в них процесс анализа системы и выбора способа решения не делается предметом специального усвоения, а лишь тренируется умение применять изученный метод к данной системе. В итоге учащиеся не всегда владеют полной системой знаний и умений, ориентируясь на которые можно выбрать (построить) адекватный, наиболее эффективный способ решения заданной системы. Нами была сделана попытка формирования такой системы знаний и умений. Ведь решение систем уравнений важно не только в плане содержания курса математики; они используются в физике, химии, при решении технических, инженерных задач, при работе с моделями экономических, социальных, биологических и пр. явлений и процессов.
Покажем на примере нескольких уроков для 8-го класса, каким образом мы планируем организовать совместную деятельность учащихся и учителя по выделению содержания названного умения на первом этапе. Так как одним из компонентов является анализ заданной системы на наличие решений, то один из первых уроков посвятим именно этому вопросу. Затем попытаемся выделить общий прием решения систем уравнений и связать с известными школьникам методами. Для этого нами разработаны рекомендации и специальная система заданий. Принципы построения системы заданий для первого этапа обучения следующие:
– порядок заданий фиксирован, он выполняет направляющую функцию, позволяя школьникам вместе с учителем выстроить ориентировочную основу деятельности по решению произвольной системы рациональных уравнений и создать в итоге схему ее решения,
– каждая следующая система связана с предыдущими заданиями и рассуждениями, но содержит в себе одну или несколько новых важных идей, логично развивающих тему,
– переменные в системах варьируются: не всегда привычные x и y (ведь при моделировании системами уравнений реальных задач из самых разных областей не всегда удобно вводить обозначения x и y),
– помимо заданий, где система уравнений задана, предлагаются и творческие задания, связанные с придумыванием тех или иных систем.
Материалы к урокам
1. Системы, не имеющие решений.
а) Случай, когда в системе имеется противоречивое уравнение (не имеющее решений):
№ 1.
Ответ:
.
Один из самых очевидных случаев: сразу можно заметить, что первое уравнение не имеет решений. Если же в правой части первого уравнения стояло бы неотрицательное число, то такая система имела бы решение. Немного усложнив данную систему, вместе со школьниками можно “придумать”, например, следующие не имеющие решений системы:
![]()
![]()
и т.д. Ответ:
.
Обращаем внимание школьников на то, что каким бы в данном случае ни было второе уравнение системы, решений она иметь не будет (вспомним определение решения системы уравнений).
№ 2.
Ответ:
.
Первое уравнение системы имеет решения. В левой части второго уравнения сумма двух неотрицательных чисел, а в правой – отрицательное число. Противоречие. Отметим, что достаточно хотя бы одного противоречивого уравнения, чтобы дать ответ.
№ 3.
![]()
![]()
Ответ:
.
Несколько более замаскировано противоречивое уравнение. Здесь, чтобы его распознать, нужно увидеть во втором уравнении формулу квадрата разности. Далее аналогично номеру 1.
Задание школьникам: составьте еще системы, не имеющие решений.
№ 4.
Ответ:
.
Если сразу заметить или вспомнить, что дробь с ненулевым числителем не может быть равна нулю, то ответ очевиден. Если же заменить в условии ноль на ненулевое число, то решения системы могут появиться.
№ 5.
Ответ:
.
Результат деления отрицательного числа на отрицательное не может быть отрицательным, поэтому первое уравнение (а значит и система) не имеет решений.
б) Случай, когда в системе имеются неопределенные выражения (ОДЗ пусто):
№ 6.
Ответ:
.
В первом уравнении под знаком корня (радикала) стоит отрицательное выражение, значит, такого арифметического квадратного корня не существует ни при каких значениях x. Вспоминаем определение решения системы уравнений и делаем вывод о том, что система несовместна, т.е. не имеет решений. Таким образом, решение этой системы (и ряда других) нужно начинать с ОДЗ. Ведь если становится ясно, что ОДЗ пусто (как в данной системе), то и множество решений будет пусто.
Эта система не является системой рациональных уравнений, т.е. не входит в рассматриваемую тему, но она содержит принципиально важную идею, поэтому ее полезно дать и на данном этапе. К тому же это позволит повторить и закрепить определение системы рациональных уравнений. Определение и свойства арифметического квадратного корня восьмиклассникам уже известны.
Обсуждение: Как еще можно “построить” противоречивое уравнение? Какие ограничения на значения выражений могут быть? Из этой части урока делам вывод о том, что уравнение (а значит и соответствующая система уравнений) не имеет решений, когда:
а) не может выполняться равенство из-за тех или иных свойств:
ограничения по знаку:
,
,
,
дробь
при
,
комбинации:
,
,
при
и
и т.п.
б) какое-то входящее в него выражение не определено (т.е. не существует, не имеет смысла) (см. задание № 4):
не существует при
,
не существует при
.
Здесь стоит провести параллель с заданиями, опирающимися на те же идеи. Это задания найти ОДЗ переменных в выражении, область определения функции (ООФ), множество значений функции (выражения).
в) Случай, когда в системе одно уравнение противоречит другому:
№ 7.
Ответ:
.
Один из самых явных случаев: видим, что левые части обоих уравнений совпадают, а правые – нет. Противоречие.
№ 8.
Ответ:
.
Если разделить второе уравнение на 4 и перенести все члены каждого уравнения в одну сторону, то станет видно, что уравнения противоречат друг другу.
Здесь логично возникает вопрос: а что делать, если не заметили сразу, что система несовместна? Ответ: решать ее известными методами. Ответ получится сам собой, если все делать верно и понимать про вырожденные уравнения (0=0, 4=0 и т.п.), при встрече с которыми многие школьники теряются, как показывает школьная практика. Поэтому для преодоления возможных затруднений здесь важно обратить внимание учащихся на то, что при решении любых уравнений или систем вопрос ставится всегда один и тот же: “При каких значениях неизвестной верно равенство?” или соответственно “При каких парах (тройках, четверках, …) переменных верны одновременно все равенства системы?”. Помня это, нетрудно понять, что если в ходе решения получилось что-то вроде 0=4, то решений у этого “уравнения” и у исходной системы нет; а если же получилось, например, 0=0 и нет других противоречий, то решений у системы бесконечно много.
Задание школьникам: придумайте еще несколько систем, не имеющих решений, таких чтобы при замене в ней одного числа или знака на другое решения у нее появлялись. Придуманные системы по парам занесите в таблицу:
| Система, не имеющая решений | Система, имеющая решения |
Таким образом, результатом первичного анализа системы может быть один из трех важных выводов:
1) (–) система не имеет решений
дальнейшее решение не
нужно,
2) (+) система имеет решение (решения)
нужно решать,
3) (?) система может иметь решения (а может и не иметь)
нужно решать и помнить про сказанное выше.
После этой части урока вместе со школьниками делается вывод о том, что начинать решение системы нужно с ее анализа, т.к. если сразу удастся понять, что она не имеет решений, то не надо будет тратить время на решение, а сразу можно будет дать верный ответ. В этом присутствует и воспитательный эффект, касающийся важности предварительного анализа ситуации, объекта, явления.
На данном материале идет отработка важного навыка “всматривания” в систему и ее составные части – уравнения. Заметим, что тот же навык может отрабатываться и при решении уравнений (например, методом замены неизвестной). Он же пригодится и при решении систем, имеющих решение.
Стоит обратить внимание школьников на различные термины, употребляющиеся по отношению к уравнениям и системам, не имеющим решений (несовместным, противоречивым). Это важно для понимания математических задач и текстов, взятых из различных источников.
Для закрепления материала, в том числе терминологии, и проверки результатов этой части урока ученикам предлагается небольшое задание: заполнить следующую таблицу (в каждой ячейке проставьте знаки +, – или ? в зависимости от того, характеризует ли указанное в заголовке столбца данную систему). Столбцы таблицы: система | имеет решения | ответ: ? | не определено какое-то выражение | противоречива | несовместна | совместна.
2. Случай, когда одно из уравнений содержит лишь одну неизвестную.
№ 9.
Ответ:
и
.
Очевидных противоречий в данной системе нет (в отличие от предыдущих). Можно заметить, что в первом уравнении системы присутствует только одна переменная (d), поэтому первое уравнение мы можем сразу решить. Его корни: -1 и 2. Подставляем эти значения по очереди во второе уравнение и находим другую неизвестную – z. Здесь вспоминаем, что решением системы двух уравнений с двумя неизвестными являются пары чисел.
При решении данной системы у школьников возникает разумный вопрос: “В каком порядке записывать в ответе числа, ведь здесь не x и y?”. Ответ: в алфавитном (как и в случае с x и y).
3. Случай, когда в явном виде имеется общее выражение в нескольких уравнениях, т.е. обобщенная подстановка, приводящая к ответу, уже подготовлена.
Вспоминаем стандартный метод подстановки, известный школьникам с 7-го класса. Отмечаем, что он работает в любых системах уравнений, не только в системах линейных уравнений.
Рассматриваем идею о том, что подставлять в другое уравнение можно не только переменную, но и некое выражение. Для этого должны иметься одинаковые выражения в нескольких уравнениях системы. В данном случае это так. Здесь же может возникнуть разумный вопрос: “Что делать, если одинаковых выражений в уравнениях нет?”
Таким образом, переходим к обобщенному методу
подстановки и затрагиваем идею о выражении как
обобщенной переменной (отсюда берет начало метод
замены неизвестной, используемый при решении уравнений и
систем.). В данной системе можно заменить
на новую переменную
z. Тогда система примет вид элементарной системы линейных
уравнений. Анализ учебных пособий и методов решения систем
уравнений показал, что очень широкий класс систем, предлагаемых в
школьном курсе математики, решается с помощью обобщенного метода
подстановки, который можно назвать центральным, главным методом.
Попробуем этим методом решать все предлагаемые далее системы.
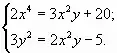
Тут два варианта проведения обобщенной подстановки: b2 и b2 + u2. Второй в данном случае удобнее, хотя чтобы его применить, исходную систему надо “подготовить”: разложить левую часть второго уравнения на множители. Первый требует больше алгебраических преобразований, следовательно, вероятность ошибок при решении возрастает. Таким образом, иногда подстановку придется подготовить (прежде чем выполнять).
Здесь начнем выявлять и фиксировать приемы, позволяющие выделять общие выражения в двух уравнениях. В данном примере – прием разложения на множители. Какие еще могут быть приемы? Их может быть очень много. Эту область можно назвать “творческой”, т.к. здесь нужно “изобрести” способ сделать так, чтобы появились одинаковые выражения, причем удобные для дальнейшего решения системы. “Творческая” область весьма обширна.
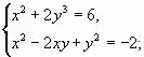
Здесь тоже два варианта выполнения подстановки. В указанном выше
варианте используется другой прием – домножение обеих частей одного
из уравнений системы на неизвестную. Тонкий момент: домножать на
ноль нельзя
. Но именно такова здесь ОДЗ!
4. Случай, когда в уравнениях нет подходящих общих выражений для подстановки, но они легко могут быть выделены.
На примере этой системы можно “изобрести” новый для 8-классников метод – метод почленного деления. Эта система решается методом деления и решается методом обобщенной подстановки, который в данном случае фактически дублирует в неявном виде метод деления.
№ 17.
![]()
![]()
Здесь сталкиваемся с тем, что решений у системы не конечное, а бесконечное количество. Как записать ответ в этом случае? У школьников часто возникают сложности в таких случаях.
5. Переход к методу сложения.
№ 18.
![]()
![]()
![]()
![]()
![]()
![]()
. Ответ:
.
Можно выполнить обобщенную подстановку (2 варианта подстановки), а можно сложить уравнения. Вспоминаем метод сложения (метод вычитания). Отметим, что метод сложения в данном случае фактически дублирует метод обобщенной подстановки, лишь немного упрощая выкладки.
Кстати, в данном случае на уровне обыкновенной логики можно было сразу сделать вывод, что решений у системы нет.
6. Случай, когда есть несколько вариантов подстановки.
№ 19.
Есть выбор: иметь дело с целыми числами (если подставлять r2) или с дробными (если подставлять j2). Удобнее и надежнее работать с целыми числами, поэтому лучше выбрать первый вариант, хотя к ответу приведут оба. Можно здесь сделать замену, но необходимости нет.
Можно ли к данной системе применить метод сложения? Сразу к исходной системе бессмысленно, т.к. обе неизвестные останутся. Но если домножить уравнения на подходящие числа, то сложение полученных уравнений может избавить от одной из неизвестных, что поможет решить систему. Получаем обобщенный метод сложения или метод уравнивания коэффициентов (в литературе называется по-разному).
7. Случай, когда удобна замена неизвестной
№ 20.
![]()
![]()
![]()
![]()
Нетрудно заметить одинаковые выражения в уравнениях, их замена на новые неизвестные позволит упростить систему. Приходим к методу замены неизвестной.
8. Система трех уравнений с тремя неизвестными.
№ 21.
![]()
![]()
Ответ:
и
.
Обобщенный метод подстановки здесь по-прежнему работает, однако подстановку нужно будет выполнить несколько раз. А что если попробовать сложить все уравнения? Получится a = 1. Т.е. в данном случае метод сложения весьма удачен.
Из очередной части урока делаем вывод:
Обобщенный метод подстановки позволяет решить широкий спектр систем уравнений. Для решения этим методом нужно выделить подходящие общие выражения в нескольких уравнениях, выразить из какого-то уравнения одно из выражений через остальные переменные и подставить в другие равенства системы для того, чтобы свести систему к уравнению с одной неизвестной. При этом стандартный метод подстановки является частным случаем обобщенного, а методы сложения (вычитания), уравнивания коэффициентов, почленного деления, замены неизвестной являются “помощниками” обобщенного метода подстановки, позволяющими несколько упростить выкладки.
9. Дополнительные задания.
Рассуждаем далее: метод сложения, вычитания, деления был. А как же с методом умножения? Есть ли он? Полезен ли он? Да. Пример:
№ 22.
![]()
![]()
![]()
![]()
![]()
подставляем.
Обобщенный метод подстановки здесь “напрашивается”, т.к. имеются общие выражения (x2y), но не помогает. Зато хорошо работает метод умножения одного уравнения системы на другое.
№ 23.
Из первого уравнения системы можно найти и x и y, однако это не пара, которая войдет в ответ.
Домашнее задание:
Придумайте и нарисуйте схему, отражающую предлагаемый вами алгоритм решения произвольной системы уравнений с учетом всего рассмотренного и сказанного на уроках. Так чтобы если дается система уравнений и ваша схема, то, пользуясь последней как подсказкой, человек решил бы данную систему.
На следующих уроках – проверка этого задания, обсуждение предлагаемых схем и создание одной общей для класса схемы, отражающей всю полноту ориентировочной основы деятельности по анализу и решению данной системы уравнений. Дальнейшая работа будет направлена на организацию усвоения выявленной и зафиксированной совместно со школьниками схемы решения систем уравнений.
Ответ:
и т.д. Ответ:
Ответ:
Ответ:
Ответ:
Ответ:
Ответ:
Ответ:
Ответ:
Ответ: 






Ответ:
