Элементы комбинаторики. Сочетания. Решение уравнений
Решите уравнение (22-25).
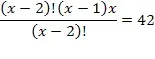
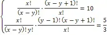
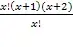
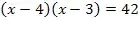
№22.
1)
=42;
Решение:
ОДЗ: х
N; x>2
= 42

![]()
=-6( исключить - не входит в ОДЗ);
=7
Ответ: 7.
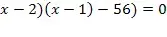
=56х;
Решение:
ОДЗ: х
N; x>3
= ![]()

(![]()
((![]()
или
-3![]()
1=0(исключить) или х2=-6 (исключить); х3=9 (входит в ОДЗ).
Ответ: 9.
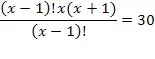
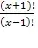
3)
=30;
Решение:
ОДЗ: х
N; x+1>2; х>1
= ![]()

![]()
=-6( исключить - не входит в ОДЗ);
=5.
Ответ: 5.
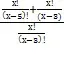
4) 5
=
;
ОДЗ:
х![]()
;
=![]()
= ![]()
= ![]()
(20(х-2)-(х+1)(х+2))
х![]()
(20х-40-х2+2х+х+2)=0 или х=0 или х-1=0
х2+3х-20х+42=0 х1=0 х2=1
х2-17х+42=0 корни 0 и 1 не входят в ОДЗ
х3=3; х4=14
Ответ: 3; 14.
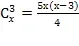
№23.
= 21 ОДЗ: х
N; x-3>2 ;
x>3
= ![]()

![]()
- 7х + 12 - 42 = 0
- 7х - 30 = 0
х1=10 х2= - 3 (не входит в ОДЗ)
Ответ: 10.
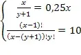
2)
; ОДЗ: х
N; x>3
= ![]()
= ![]()
4х(х-2)(х-1) = 6![]()
х(4х2 - 12х+8-30х+90)=0
х=0 или 4х2 - 42х + 98 = 0
2х2 - 21х + 49 = 0
х1=7 х2= 3,5
Ответ: 7.
= 15(х-1) ОДЗ: х
N; x>3
= 15(х-1)
= (х-1)х х1 = 0 или х2 = 1 - не входят в ОДЗ
х - 2 = 3
х3 = 5
Ответ: 5.
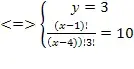
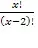
=
ОДЗ: х
N; x>4
= ![]()
4(х-2)! = 24![]()
(х-3)(х-2) = 90
х2 - 5х - 84 = 0
х1=12; х2= - 7(не входит в ОДЗ)
Ответ: 12.
№24.
= 43 ОДЗ: х
N; x>5
= 43

(х-4)(х-3) + 1 = 43
х2 - 7х - 30 = 0
х1=10; х2= 3 (не входит в ОДЗ)
Ответ: 10.
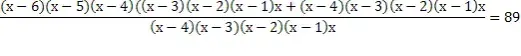
= 89 ОДЗ: х
N; x>7

(х-6)(х-5) - 1 = 89
х2 - 11х - 60 = 0
х1=15; х2= - 4(не входит в ОДЗ)
Ответ: 15.
+
= 162 ОДЗ: х
N; x>1
= 162
= 162
2![]()
24х + х2 + 7х + 12 - 324 = 0
х2 + 31х - 312 = 0
х1=8; х2= - 39(не входит в ОДЗ)
Ответ: 8.
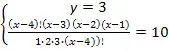
= ![]()
ОДЗ:
x>4
= ![]()
= ![]()
(х-3)(х-2)(х-1)х = 45(х-2)(х-1)х
(х-2)(х-1)х = 0 или (х-3)-45 = 0
х1=2; х2= 1 х3=0 - не входят в ОДЗ х4 = 48
Ответ: 48.
№25.
= 42 ОДЗ: х
N; x>4
= 12
= 12 х2 - х - 12 = 0 х1=4; х2= - 3(не входит в ОДЗ) Ответ: 4.
= 90 ОДЗ:

= 90
(x-1)x = 90
x2 - x - 90 = 0
х1=10; х2= - 9(не входит в ОДЗ)
Ответ: 10.
= 132 ОДЗ: 
= 132
= 132
x2 +3 x +2-132 = 0
x2 +3 x - 130= 0
х1=10; х2= - 13(не входит в ОДЗ)
Ответ: 10.
= 110 ОДЗ: 
= 110
= 110
x2 +3 x +2- 110 = 0
x2 +3 x - 108 = 0
х1=9; х2= - 12(не входит в ОДЗ)
Ответ: 9.
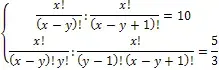
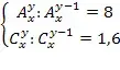
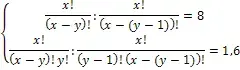
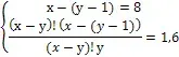
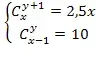
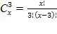
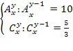
№ 26.
ОДЗ: ![]()



решаем методом сложения - 5у = -30; у = 6
х - 6 = 9; х=15
Ответ: (15; 6).
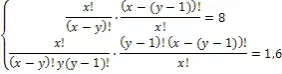
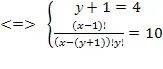
ОДЗ:
; у![]()



(х-3)(х-2)(х-1) = 60
(х-3)(х-2)(х-1) = 3![]()
х-3 = 3; х=6
Ответ: (6;3)
4) 




Ответ: (12;5)