Решаем задачу разными способами
Каждый урок выполняет определенную функцию и играет важную роль в формировании знаний, умений и навыков решения задач по данной теме или целому разделу математики.
Задачи с параметром носят исследовательский характер и такое исследование можно организовать в группах учащихся. Не секрет, что решение задачи разными способами развивает интерес к предмету и учит мыслить логически.
Предлагая учащимся решить задачу разными способами, появляется возможность организовать работу в группах с последующим обсуждением, анализом, сравнением и обобщением способов решения задачи.
В рамках классно-урочной системы работу можно организовать следующим образом.
- Класс на начало работы делится на три группы (я это делаю по рядам: первый ряд, второй и третий)
- Для класса формулируется задача и предлагается решить первому ряду первым способом, второму - вторым, третьему - третьим.
- Решив задачу, группа комментирует решение, высказывает свои суждения по вопросу эффективности и простоты решения. Получив следующую задачу, группа решает ее другим способом. Таким образом, каждый ученик применяет различные способы решения задачи.
Задачи
Задача 1.
При каких значениях параметра а, уравнение 36х+(а-1)6хх+а-2а2=0, имеет два действительных различных корня?
Решение.
36х+(а-1)6хх+а-2а2=0,
Пусть 6х = t, где t > 0, тогда уравнение примет вид: t2 + (а-1) t+ а-2а2=0 - квадратное уравнение относительно переменной t.
Способ первый: находим корни квадратного уравнения и определяем, при каких значениях параметра корни положительные.
Имеем: D = (a-1)2 -4(а-2а2) = (3а-1)2, откуда t1 = а , t2 = 1-2а. Для того чтобы исходное уравнение имело два действительных различных корня необходимо потребовать от корней квадратного уравнения выполнения условия:

Таким образом, получаем окончательный ответ: при 0 < а < 1/3 или 1/3 < а < ½ уравнение 36х+(а-1)6хх+а-2а2=0 имеет два действительных различных корня.
Такой способ решения эффективно применять при условии «хорошего» дискриминанта. Рассмотрим другой способ решения задачи 1. А именно, применим теорию расположения корней квадратного трехчлена.
Способ второй.
36х+(а-1)6хх+а-2а2=0,
Пусть 6х = t, где t > 0, тогда уравнение примет вид: t2 + (а-1) t+ а-2а2=0 - квадратное уравнение относительно переменной t.
Корни квадратного уравнения t2 + (а-1) t+ а-2а2=0 являются нулями соответствующей квадратичной функции у = t2 + (а-1) t+ а-2а2 . Для того чтобы исходное уравнение имело два различных действительных корня необходимо наличие положительных нулей у функции у = t2 + (а-1) t+ а-2а2. Изобразим геометрическую модель задачи (наличие положительных нулей квадратичной функции)

Теперь осталось «зафиксировать» параболу (ветви направлены вверх, так как первый коэффициент положительный и равен 1) системой алгебраических условий. Имеем: 1) D > 0 (парабола пересекает ось Оt - условие наличия корней); 2) у(0) > 0 и t0 > 0 (нули функции расположены правее нуля, т. е положительные) Таким образом необходимо решить следующую систему алгебраических неравенств:
![]()
Решение системы приводит к ответу: 0 < а < 1/3 или 1/3 < а < ½. Такой способ решения задачи возможен, когда корни квадратного уравнения иррациональны (дискриминант квадратного трехчлена не является полным квадратом), так как во втором случае мы работаем только с коэффициентами квадратного уравнения.
Способ третий. Применение теоремы Виета и ей обратной.
Для того чтобы корни квадратного уравнения имели одинаковые по знаку корни необходимо и достаточно выполнения соотношений
![]()
При этом корни будут положительными, если
![]()
и отрицательны, если

Кроме этого полезно помнить, что квадратное уравнение имеет корни разных знаков при условии
t1 t2 = с/а < 0 (при этом дискриминант автоматически принимает положительные значения)
В нашем случае, исходное уравнение 36х+(а-1)6хх+а-2а2=0 имеет два действительных различных корня при условии
![]()
Имеем: t2 + (а-1) t+ а-2а2=0 , по теореме Виета (теорема предполагает наличие корней, т.е. D ≥ 0) t1 t2 = а-2а2, t1+ t2 = -(а-1).
Решая систему неравенств
![]()
приходим к ответу: 0 < а < 1/3 или 1/3 < а < ½.
Легко заметить, что система, составленная с опорой на т. Виета содержит такие же неравенства, как и система, составленная во втором способе решения задачи.
Задачи для организации работы в группах.
Задача 2.
При каких значениях параметра а, уравнение 9х -3x+1 -а2+5а-4=0 имеет единственное решение?
|
Первый ряд решает первым способом:
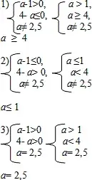
3х=t, t>0, t2 -3 t -а2+5а-4=0 D = 9-4(-а2+5а-4) = 9+4а2-20а+16 = (2а-5)2 t1 = а-1, t2 = 4- а.
|
Второй ряд решает вторым способом (расположение корней квадратного трехчлена)
3х=t, t>0, t2 -3 t -а2+5а-4=0 1. Геометрическая модель задачи (t0 = 1,5, ветви параболы направлены вверх).
2. Геометрическая модель задачи
D=0, t0=1,5 при а = 2,5 Объединяя случаи 1 и 2, записываем ответ. Ответ: а ≥ 4, а≤ 1, а= 2,5 |
Третий ряд применяет т. Виета для решения задачи.
3х=t, t>0, t2 -3 t -а2+5а-4=0 По теореме Виета t1 t2 = с/а= -а2+5а - 4 t1 t2 ≤ 0 (корни разных знаков или один из корней равен нулю)
Если D = 0, при а= 2,5, то t = 1,5 и исходное уравнение имеет единственный корень. Ответ: а ≥ 4, а≤ 1, а= 2,5
|
Задача 3.
При каких значениях параметра а, уравнение 49x+(а-1)∙7x-2а2+4а-2=0 не имеет ни одного действительного корня?
Решение.
Способ первый.
49x+(а-1)∙7x-2а2+4а-2=0
7x = t, t > 0,
t2 +(а-1)∙ t -2а2+4а-2=0
D= (а-1)2 - 4( -2а2+4а-2) = 9а2-18а+9 = (3а-3)2
t1 = а-1, t2 = 2-2а.

Ответ: а = 1
Способ второй.
49x+(а-1)∙7x-2а2+4а-2=0
7x = t, t > 0,
t2 +(а-1)∙ t -2а2+4а-2=0
Геометрическая модель задачи.

Ответ: а=1
Способ третий.
Применение теоремы Виета.
49x+(а-1)∙7x-2а2+4а-2=0
7x = t, t > 0,
t2 +(а-1)∙ t -2а2+4а-2=0
В данном случае дискриминант квадратного уравнения принимает неотрицательные значения при всех допустимых значениях параметра а, следовательно, исходное уравнение не будет иметь действительных корней при условии:

Ответ: а=1
Дополнительные задания.
Задача 4.
При каких значениях параметра а, уравнение 16x -(5-а)∙4x + 6-2а=0 имеет два действительного корня?
Ответ: а <3, а≠1.
Задача 5.
При каких значениях параметра а, уравнение 4x - (а+3)∙2x + 4а-4=0 имеет один корень?
Ответ: а ≤1, а=5.
Задача 6.
При каких значениях параметра а, уравнение 25x - (а-4)∙5x -2а2+10а-12=0 не имеет действительных корней?
Ответ: 2 ≤ а ≤3.



