Решение систем линейных уравнений с параметрами
Цель:
- повторить решение систем линейных уравнений с двумя переменными
- дать определение системы линейных уравнений с параметрами
- научит решать системы линейных уравнений с параметрами.
Ход урока
- Организационный момент
- Повторение
- Объяснение новой темы
- Закрепление
- Итог урока
- Домашнее задание
2. Повторение:
I. Линейное уравнение с одной переменной:
1. Дайте определение линейного уравнения с одной переменной
[Уравнение вида ax=b, где х – переменная, а и b некоторые числа, называется линейным уравнением с одной переменной]
2. Сколько корней может иметь линейное уравнение?
[- Если а=0, b
0, то уравнение не имеет решений, х![]()
![]()
- Если а=0, b=0, то х
R
- Если а
0, то уравнение имеет единственное решение, х =![]()
3. Выясните, сколько корней имеет уравнение (по вариантам)
| I ряд – I вариант
7х-(х+3)=3(2х-1) Решение: 7х-х-3=6х-3 6х-6х=-3+3 0*х=0 х – любое Ответ: много корней |
II ряд – II вариант
6х-(2х-5)=2(2х+4) Решение: 6х-2х+5=4х+8 4х-4х=8-5 0*х=3 корней нет Ответ: корней нет |
III ряд – III вариант
8х-(х+4)=2(3х-2) Решение: 8х-х-4=6х-4 7х-6х=-4+4 х=0
Ответ: единственный корень |
II. Линейное уравнение с 2 –мя переменными и система линейных уравнений с 2- мя переменными.
1. Дайте определение линейного уравнения с двумя переменными. Приведите пример.
[Линейным уравнением с двумя переменными называются уравнения вида ах +by=с, где х и у – переменные, а, b и с – некоторые числа. Например, х-у=5]
2. Что называется решением уравнения с двумя переменными?
[Решением уравнения с двумя переменными называются пара значений переменных, обращающие это уравнение в верное равенство.]
3. Является ли пара значений переменных х = 7, у = 3 решением уравнения 2х + у = 17?
[2*7+3=17]
4. Что называется графиком уравнения с двумя переменными?
[Графиком уравнения с двумя переменными называется множество всех точек координатной плоскости, координаты которых является решениями этого уравнения.]
5. Выясните, что представляет собой график уравнения:
3х + 2у = 6
[Выразим переменную у через х: у=-1,5х+3
Формулой у=-1,5х+3 является линейная функция, графиком которой служит прямая. Так как, уравнения 3х+2у=6 и у=-1,5х+3 равносильны, то эта прямая является и графиком уравнения 3х+2у=6]
6. Что является графиком уравнения ах+bу=с с переменными х и у,
где а
0
или b
0?
[Графиком линейного уравнения с двумя переменными, в котором хотя бы один из коэффициентов при переменных не равен нулю, является прямая.]
7. Что называется решением системы уравнений с двумя переменными?
[Решением системы уравнений с двумя переменными называется пара значений переменных, обращающая каждое уравнение системы в верное равенство]
8. Что значит решить систему уравнений?
[Решить систему уравнений – значит найти все ее решения или доказать, что решений нет.]
9. Выясните, всегда ли имеет такая система решения и если имеет, то сколько (графическим способом).
10. Сколько решений может иметь система двух линейных уравнений с двумя переменными?
[Единственное решение, если прямые пересекаются; не имеет решений, если прямые параллельны; бесконечно много, если прямые совпадают]
11. Каким уравнением обычно задается прямая?
[y=kx+b]
12. Установите связь между угловыми коэффициентами и свободными членами:
I вариант:
k1 = k2, b1 |
II вариант:
k1 |
III вариант:
k1 = k2, b1 = b2, много решений. |
Вывод:
- Если угловые коэффициенты прямых являющихся графиками этих функций различны, то эти прямые пересекаются и система имеет единственное решение.
- Если угловые коэффициенты прямых одинаковы, а точки пересечения с осью у различны, то прямые параллельны, а система не имеет решений.
- Если угловые коэффициенты и точки пересечения с осью у одинаковы, то прямые совпадают и система имеет бесконечно много решений.
На доске таблица, которую постепенно заполняет учитель вместе с учениками.
III. Объяснение новой темы.
Определение: Система вида
- A1x+B1y=C
- A2x+B2y=C2
где A1, A2, B1,B2, C1 C2 – выражения, зависящие от параметров, а х и у – неизвестные, называется системой двух линейных алгебраических уравнений с двумя неизвестными в параметрах.
Возможны следующие случаи:
1) Если
, то система имеет единственное решение
2) Если
, то система не имеет решений
3) Если
, то система имеет бесконечно много решений.
IV. Закрепление
Пример 1.
При каких значениях параметра а система
- 2х - 3у = 7
- ах - 6у = 14
а) имеет бесконечное множество решений;
б) имеет единственное решение
Решение:
а)
, а=4
б)
, а?4
Ответ:
а) если а=4, то система имеет бесконечное множество решений;
б) если а
4, то решение единственное.
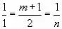
Пример 2.
Решите систему уравнений
- x+(m+1)y=1
- x+2y=n
Решение: а)
, т.е. при m
1 система имеет единственное решение.

б)
, т.е. при m=1 (2=m+1) и n
1 исходная система решений не
имеет
в)
, при m=1 и n=1 система имеет бесконечно много
решений.
Ответ: а) если m=1 и n
1, то решений нет
б) m=1 и n=1, то решение бесконечное множество
- у - любое
- x=n-2y
в) если m
1 и n - любое, то
y=
x=![]()
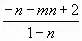
Пример 3.
Для всех значений параметра а решить систему уравнений
- ах-3ау=2а+3
- х+ау=1
Решение: Из II уравнения найдем х=1-ау и подставим в I уравнение
а(1-ау)-3ау=2а+3
а-а2у-3ау=2а+3
-а2у-3ау=а+3
-а(а+3)у=а+3
Возможны случаи:
1) а=0. Тогда уравнение имеет вид 0*у=3 [у ![]()
]
Следовательно, при а=0 система не имеет решений
2) а=-3. Тогда 0*у=0.
Следовательно, у
. При этом х=1-ау=1+3у
3) а
0
и а
-3.
Тогда у=-
, х=1-а(-
=1+1=2
Ответ:
1) если а=0, то (х; у) ![]()
![]()
2) если а=-3, то х=1+3у, у![]()
3) если а
0 и а?-3, то х=2, у=-![]()
Рассмотрим II способ решения системы (1).
Решим систему (1) методом алгебраического сложения: вначале умножим первое уравнение системы на В2, второе на – В1 и сложим почленно эти уравнения, исключив, таким образом, переменную у:

Т.к.
А1В2-А2В1
0, то х
=![]()
Теперь исключим переменную х. Для этого умножим первое уравнение системы (1) на А2, а второе на – А1, и оба уравнения сложим почленно:
- А1А2х +А2В1у=А2С1
- -А1А2х-А1В2у=-А1С2
- у(А2В1-А1В2)=А2С1-А1С2
т.к.
А2В1-А1В2
0 у =![]()
Для удобства решения системы (1) введем обозначения:
- главный определитель

Теперь решение системы (1) можно записать с помощью определителей:
х=
; у=![]()
Приведенные формулы называют формулами Крамера.
- Если
, то система (1) имеет единственное решение:
х=
; у=![]()
- Если
,
или
,
, то система (1) не имеет решений
- Если
,
,
,
, то система (1) имеет бесконечное множество
решений.
В этом случае систему надо исследовать дополнительно. При этом,
как правило, она сводится к одному линейному уравнению. В случае
часто бывает
удобно исследовать систему следующим образом: решая уравнение
,
найдем конкретные значения параметров или выразим один из
параметров через остальные и подставим эти значения параметров в
систему. Тогда получим систему с конкретными числовыми
коэффициентами или с меньшим числом параметров, которую надо и
исследовать.
Если коэффициенты А1, А2, В1, В2, системы зависят от нескольких параметров, то исследовать систему удобно с помощью определителей системы.
Пример 4.
Для всех значений параметра а решить систему уравнений
- (а+5)х+(2а+3)у=3а+2
- (3а+10)х+(5а+6)у=2а+4
Решение: Найдем определитель системы:
![]()
![]()
![]()
= (а+5)(5а+6) – (3а+10) (2а+3)=
5а2+31а+30-6а2-29а-30=-а2+2а=а(2-а)
![]()
![]()
= (3а+2) (5а+6)
–(2а+4)(2а+3)=15а2+28а+12-4а2-14а-12=11а2+14а=а(11а+14)
![]()
![]()
![]()
=(а+5)
(2а+4)-(3а+10)(3а+2)=2а2+14а+20-9а2-36а-20=-7а2-22а=-а(7а+22)
1)
Тогда
х=
у=![]()
2)
или а=2
При а=0 определители ![]()
Тогда система имеет вид:
- 5х+3у=2
5х+3у=2 
- 10х+6у=4
При а=2
Этого достаточно, чтобы утверждать, что система не
имеет решений.
Ответ:
1) если а
и а
, то х=
у=![]()
2) если а=0, то х
, ![]()
3) если а=2, то (х; у)![]()
![]()
Пример 5.
Для всех значений параметров а и b решить систему уравнений
(а+1)х+2у=b
bx+y=3
Решение:
=
=а+1-2b
= ![]()
![]()
= b -6; ![]()
![]()
= 3a+3-b![]()
1)
. Тогда
х=
у=![]()
2) ![]()
Подставив выражение параметра а в систему, получим:
- 2bx+2y=b 2bx+2y=b
- bx+y=3
2bx+2y=6
Если b
6, то система не имеет решений, т.к. в этом случае I и
II уравнения системы противоречат друг другу.
Если b=6, а=2b-1=2*6-1=11, то система равносильна одному уравнению
12х+2у=6
у=3-6х
Ответ:
1) если
, (а
), то x=
, y=![]()
2) если b
, a
, то система не имеет решений
3) если b=6, а=11, то х
, у=3-6х
Самостоятельная работа.
Итог урока: Повторить по таблице и поставить оценки.
Задание на дом:
При каких значениях параметра система уравнений
- 3х-2у=5
- 6х-4у=b
а) имеет бесконечное множество решений
б) не имеет решений
Ответ:
а) b=10
б) b
10