Нестандартные методы решения уравнений (тригонометрическая подстановка)
Задание 1. Вычислить
, если
.
Решение. Т. к
то существуют такие
и
, что
Тогда
.Тогда выражение
![]()
Ответ :0.
Задание 2.Среди чисел(x;y;z;v)системы
найти такие, при каждом
из которых
принимает наибольшее значение.
Решение. Внимательно изучив первое и второе уравнения системы,
обозначим
.
Неравенство системы примет вид: 
Тогда
.
Таким образом, наибольшее значение искомого выражения равно
.
Найдем искомые числа. 
Ответ: ![]()
Задание 3. Решить уравнение ![]()
Решение. О.Д.З.
.Пусть
, тогда уравнение примет вид:

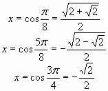
Из полученных серий выберем только те корни, которые
удовлетворяют условию
. Это числа ![]()
Таким образом, исходное уравнение равносильно совокупности
.
Эти числа и являются корнями данного уравнения.
Задание 4. Решить систему уравнений
.
Решение. Введем замену
.
Второе уравнение системы примет вид:
![]()
.
Из найденной серии в промежуток
попадают числа ![]()
Для
:
.
Аналогично находятся и остальные три пары решений.
Ответ: 
Задание 5.
Последовательность чисел
задана условиями
и для всех
![]()
Доказать, что сумма любого количества чисел
меньше
1,03.
Решение. Можно увидеть, что
. Тогда

Рассмотрим сумму
. Воспользуемся известным неравенством
, тогда
.
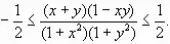
Задание 6. Доказать, что при любых действительных x и y верно
неравенство: ![]()
Решение. Введем замену :
, где ![]()
.
Тогда
.
Отсюда следует справедливость доказываемого неравенства.