Интегрированный урок математики + русский язык по теме "Вместе будем обобщать"
Цели:
Дидактические:
- формирование умений и навыков, учащихся по теме: “Преобразование дробно-рациональных выражений”;
- формирование умений правильно употреблять численные в речи.
Воспитательные:
- через межпредметные связи воспитывать ученика как всесторонне развитую личность, через сотрудничество предметов к взаимопониманию, взаимопомощи, взаимовыручки.
Развивающие:
- показать взаимосвязь (точки соприкосновения) между предметами для формирования целостной картины общеобразовательного процесса, развивать творческие способности.
Результаты обучения:
Математика:
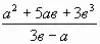
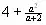
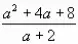
I группа – Уровень А (минимальный): учащиеся должны выполнять простейшие преобразования дробно-рациональных выражений.
II группа – Уровень Б (общий): учащиеся должны владеть минимумом; уметь преобразовывать дробно-рациональные выражения, используя формулы сокращенного умножения; уметь раскладывать на множители многочлены, находить область допустимых значений дробно-рационального выражения.
III группа – Уровень В (продвинутый): учащиеся должны владеть общим уровнем; уметь создавать проект по заданной теме.
Русский язык:
I группа – Уровень А (минимальный: учащиеся должны уметь правильно записывать числительные прописью;
II группа – Уровень Б (общий): учащиеся должны выполнять частичный комплексный анализ текста;
III группа – Уровень В (продвинутый): учащиеся должны владеть общим уровнем, уметь создавать проект по заданной теме.
Ход урока
I. Приветствие, вступительное слово учителя.
О.В.: Здравствуйте, ребята и гости урока. Мы рады Вас приветствовать на не совсем обычном уроке, который для вас сегодня приготовили мы, учитель математики – Лисецкая Ольга Валентиновна, учитель русского языка – Скворцова Вероника Михайловна. Для начала мы предлагаем ребятам решить небольшой тест
II. Самостоятельная работа
- Какое числительное в одном из косвенных падежей пишется с тремя
ь?
а) 60;
б) 80;
в) 40. - Какие числительные склоняются так же, как и прилагательные?
а) дробные;
б) собирательные;
в) порядковые. - Числительные 40, 90, 100 в косвенных падежах имеют окончание?
а) –о-;
б) –а-;
в) как у прилагательных. - Выполнить действие
+
.
а) сумма двух третьих и трех пятых равна одной целой четырем пятнадцатым;
б) сумма две третьих и три пятых равна одна целая четыре пятнадцатых;
в) сумма дробей две третьих и три пятых равна пять восьмых. - Выполнить действие
-
.
а) из двух третьих вычесть три пятых равно одной пятнадцатой;
б) разность дробей две третьих и три пятых равна девятнадцати пятнадцатых;
в) из две третьих вычесть три пятых равно одной пятнадцатой. - Сравнить
и 
а) четыре десятых меньше три пятых;
б) четыре десятых больше трех пятых;
в) дробь четыре десятых меньше дроби три пятых.
-
Вычислить
.
а) произведение три восьмых и шестнадцать двадцать первых равно две седьмых;
б) произведение трех восьмых и шестнадцати двадцать первых равно двум седьмым;
в) три восьмых умножить на шестнадцать двадцать первых равно четырем седьмым.
- Вычислить

а) квадрат пяти седьмых равен десяти четырнадцатым;
б) квадрат пять седьмых равен двадцать пять сорок девяти;
в) пять седьмых в квадрате равно двадцати пяти сорока девяти.
Ключ:
|
1 |
2 |
3 |
4 |
5 |
6 |
7 |
8 |
|
б |
в |
б |
а |
а |
в |
б |
в |
Учитель математики проверяет тесты.
III. Постановка целей урока. Сообщение темы урока.
В.М.: Ребята, вы сейчас выполнили тест. Что интересного заметили? Как вы думаете, каковы цели сегодняшнего нашего урока? Молодцы все правильно отметили. А тема нашего урока “Вместе будем обобщать”. Что значит обобщать?
Наш урок носит прикладной характер. Мы с вами попытаемся соединить изучение математики с изучением русского языка. Великий ученый, скульптор, художник эпохи возрождения Леонардо де Винчи в свое время сказал: “Никакое человеческое исследование не может называться настоящим знанием, если оно не прошло через математическое доказательство”. Он, творец прекрасных скульптур, он, в чьих рукописях были найдены чертежи подводной лодки и космического корабля, знал, о чем говорил. Многие знаменитые математики проявили себя на литературном поприще, соединив логику и художественное воображение в стихе. Всеми признан литературный талант Софьи Ковалевской, а академик, математик Виктор Яковлевич Буняковский в 40-х годах прошлого века опубликовал свои переводы Байрона и поэму “Паломничество Чайльд-Гарольда”. Трудно сделать в жизни что-то крупное, имея познания только в естественных или только в гуманитарных науках. “Вдохновение нужно в поэзии, как в математике”,- эти слова принадлежат великому Пушкину и пусть они нас не покидают на этом уроке и в дальнейшем процессе обучения.
Спор математика и филолога.
О.В.:
Нет ничего важнее той науки,
Что люди математикой зовут.
Что людям могут дать пустые звуки?
В.М.:
Нет ничего ужасней чисел скучных,
Каких – то формул, множества нулей.
А слово нужное? Оно ведь лечит душу
И в трудный час нас делает сильней.
О.В.:
Нет! Миром числа управляют.
Они в порядок наш приводят ум.
И истину лишь математики познают,
Как Архимед, Евклид, Паскаль и Юнг.
В.М.:
Есть листьев шум и мир под облаками.
Рассвет. Туман. Осеннее ненастье.
Числом не скажешь все, что выразишь словами –
И боль, и страх, любовь и счастье.
О.В.:
Но математику учил ракет создатель,
И в космос полетели мы без вас.
В.М.:
Нет! Первым в космос полетел писатель,
Писатель тот, который был фантаст.
О.В.:
Друзья мои! Не надо ссор,
Решим сейчас мы этот спор.
IV. Результаты теста. Слово учителю математики.
О.В.: По результатам теста все учащиеся класса делятся на три группы.
III группа – творческая, это …. Данным ребятам предлагается проявить свое творчество на тему “Романтический проект: точки соприкосновения” (возможные слияния предметов).
II группа – это учащиеся…, которые будут работать самостоятельно с последующей самопроверкой.
I группа – это …, они будут работать под руководством учителя. Сегодня на нашем необычном уроке вы будете работать и по математике, и по русскому на отдельном листе, который в конце урока сдадите на проверку.
V. Разноуровневая работа с учащимися.
|
Уровень А (математика, с учителем) |
Уровень Б (русский язык, самостоятельно) |
|
Задание: Прочитать текст, определить тип речи. Выписать предложения с числительными (числительные записать прописью). Выписать по одному примеру на каждый вид сказуемого. Объяснить подчеркнутые орфограммы. Останкинская башня. Стоит она величественная, строгая, будто серебристая игла под бушующим ветром, под палящим солнцем. Надежность башни рассчитана на 300 лет. 150 стальных канатов, протянутых внутри ствола под бетонной “рубашкой” держат ее в напряжении и в то же время придают сооружению стойкость. она может выдержать землетрясение до 8 баллов, натиск ураганного ветра. Ее устойчивость на опрокидывание имеет шестикратный запас. Столь же надежен фундамент. Высота башни со стальной трубчатой антенной равна 540 метрам 74 сантиметрам. Вес башни около 55 тысяч тонн, объем внутренних помещений – 70000 кубических метров. Автор проекта этого технического чуда – ученый Николай Васильевич Никитин. |
|
Уровень А (русский язык, с учителем) |
Уровень Б (математика, самостоятельно) |
|
Записать предложения, числительные поставить в нужной форме. Прибыл океанский лайнер с 1485 пассажирами. Школьная библиотека пополнилась в этом 570 книгами. Атлет поднял штангу весом 139, 5 килограмма. Если к 289 прибавить 311, то получится ровно 600. Фруктовый сад разбит на 590 гектарах. если из 2791 вычесть 1457, то останется 1334. Остановку сделали на 23 километре. |
Какие из них были верны? |
Учащимся выставляются оценки.
В.М.: А теперь проверим творческое задание, которое выполнили у нас… Напоминаю, что им предлагалась тема “Романтический проект точки соприкосновения” (возможные сливания предметов). Защита проекта учащимися.
О.В.: А может, кто еще хочет добавить к данной работе?
VI. Итоги урока.
Ремиссия.
В.М.: Для начала мы попросим вас внизу проделанной работы поставить себе оценку за урок. Я думаю, что мы ее учтем при общем оценивании. А сейчас предлагаем вашему вниманию небольшой психологический тест.
Тест
В математике для записи чисел выражений мы пользуемся цифрами. В языке для записи соответствующих выражений используются буквы. Назовем буквы и цифры знаками.
Напишите на полях тетради два любых знака. Кто написал две цифры, тот обладает логическим, аналитическим умом. У него больше развито левое полушарие головного мозга (логическое). Кто написал две буквы, тот обладает хорошо развитым образным мышлением. Это творческий человек, художник, поэт, музыкант, писатель. А написанная вместе цифра и буква свидетельствует о сочетании логического мышления и творческого воображения.
При проведении этого теста большинство ребят написали цифру и букву вместе, что помогло сделать вывод о необходимости проведения таких интегрированных уроков и решить спор “математиков” и “филологов” о важности своих наук в пользу дружбы.
Самооценка деятельности учащихся.
|
ФИ учащихся |
Итоги теста |
Самооценка учащихся |
Оценка учителя |
Итоговая оценка |
|
|