Уравнения с параметром
Справочный материал
Уравнение вида f(x; a) = 0 называется уравнением с переменной х и параметром а.
Решить уравнение с параметром а – это значит, для каждого значения а найти значения х, удовлетворяющие этому уравнению.
Пример 1. ах = 0
- Если а = 0, то 0х = 0
х – любое действительное число - Если а
0, то
х = 
х = 0
Пример 2. ах = а
- Если а = 0, то 0х = 0
х – любое действительное число - Если а
0, то
х = 
х = 1
Пример 3.
х + 2 = ах
х – ах = -2
х(1 – а) = -2
Если 1 – а = 0, т.е. а = 1, то х0 = -2 корней нет
Если 1 – а
0,
т.е. а
1, то
х = ![]()
Пример 4.
(а2 – 1) х = 2а2 + а – 3
(а – 1)(а + 1)х = 2(а – 1)(а – 1,5)
(а – 1)(а + 1)х = (1а – 3)(а – 1)
Если а = 1, то 0х = 0
х – любое действительное число
Если а = -1, то 0х = -2
Корней нет
Если а
1,
а
-1, то х
=
(единственное решение).
Это значит, что каждому допустимому значению а соответствует единственное значение х.
Например:
если а = 5, то х =
=
;
если а = 0, то х = 3 и т. д.
Дидактический материал
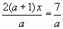
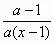
1. ах = х + 3
2. 4 + ах = 3х – 1
3. а =
+
4.
+ 3(х+1)
5.
=
–
6.
=
Ответы:
- При а
1
х =
;
при а = 1 корней нет.
- При а
3
х =
;
при а = 3 корней нет.
- При а
1,
а
-1, а
0 х =
;
при а = 1 х – любое действительное число, кроме х = 1
при а = -1, а = 0 решений нет.
- При а
2,
а
0 х =
;
при а = 0, а = 2 решений нет.
- При а
-3,
а
-2, а
0, 5 х = 
при а = -3, а = 0, 5, а = -2 решений нет
- При а + с
0, с
0
х =
;
при а = -с, с = 0 решений нет.
Квадратные уравнения с параметром
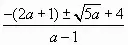
Пример 1. Решить уравнение
(а – 1)х2 = 2(2а + 1)х + 4а + 3 = 0
При а = 1 6х + 7 = 0
х = –
В случае а
1
выделим те значения параметра, при которых Д обращается в
нуль.
Д = (2(2а + 1))2 – 4(а – 1)(4а + 30 = 16а2 + 16а + 4 – 4(4а2 + 3а – 4а – 3) = 16а2 + 16а + 4 – 16а2 + 4а + 12 = 20а + 16
20а + 16 = 0
20а = -16
a = ![]()
a = ![]()
Если а < -4/5, то Д < 0, уравнение имеет действительный корень.
Если а > -4/5 и а
1, то Д > 0,
х = ![]()
Если а = 4/5, то Д = 0,
х = –
= – ![]()
Пример 2. При каких значениях параметра а уравнение
х2 + 2(а + 1)х + 9а – 5 = 0 имеет 2 различных отрицательных корня?
Д = 4(а + 1)2 – 4(9а – 5) = 4а2 – 28а + 24 = 4(а – 1)(а – 6)
4(а – 1)(а – 6) > 0
по т. Виета: х1 + х2 =
-2(а + 1)
х1х2 = 9а – 5
По условию х1 < 0, х2 < 0 то –2(а + 1) < 0 и 9а – 5 > 0
| В итоге | 4(а – 1)(а – 6) > 0 - 2(а + 1) < 0 9а – 5 > 0 |
а < 1: а > 6 а > - 1 а > 5/9 |
(Рис. 1)
|
Пример 3. Найдите значения а, при которых данное уравнение имеет решение.
х2 – 2(а – 1)х + 2а + 1 = 0
Д = 4(а – 1)2 – 4(2а + 10 = 4а2 – 8а + 4 – 8а – 4 = 4а2 – 16а
4а2 – 16
0
4а(а – 4)
0
а(а – 4))
0
а(а – 4) = 0
а = 0 или а – 4 = 0
а = 4
(Рис. 2)
Ответ: а
0 и а
4
Дидактический материал
1. При каком значении а уравнение ах2 – (а + 1) х + 2а – 1 = 0 имеет один корень?
2. При каком значении а уравнение (а + 2) х2 + 2(а + 2)х + 2 = 0 имеет один корень?
3. При каких значениях а уравнение (а2 – 6а + 8) х2 + (а2 – 4) х + (10 – 3а – а2) = 0 имеет более двух корней?
4. При каких значениях а уравнение 2х2 + х – а = 0 имеет хотя бы один общий корень с уравнением 2х2 – 7х + 6 = 0?
5. При каких значениях а уравнения х2 +ах + 1 = 0 и х2 + х + а = 0 имеют хотя бы один общий корень?
Ответы:
1. При а = - 1/7, а = 0, а = 1
2. При а = 0
3. При а = 2
4. При а = 10
5. При а = - 2
Показательные уравнения с параметром
Пример 1.Найти все значения а, при которых уравнение
9х – (а + 2)*3х-1/х +2а*3-2/х = 0 (1) имеет ровно два корня.
Решение. Умножив обе части уравнения (1) на 32/х, получим равносильное уравнение
32(х+1/х) – (а + 2)*3х+1/х + 2а = 0 (2)
Пусть 3х+1/х = у, тогда уравнение (2) примет вид у2 – (а + 2)у + 2а = 0, или
(у – 2)(у – а) = 0, откуда у1 =2, у2 = а.
Если у = 2, т.е. 3х+1/х = 2 то х + 1/х = log32 , или х2 – хlog32 + 1 = 0.
Это уравнение не имеет действительных корней, так как его Д = log232 – 4 < 0.
Если у = а, т.е. 3х+1/х = а то х + 1/х = log3а, или х2 – хlog3а + 1 = 0. (3)
Уравнение (3) имеет ровно два корня тогда и только тогда, когда
Д = log232 – 4 > 0, или |log3а| > 2.
Если log3а > 2, то а > 9, а если log3а < -2, то 0 < а < 1/9.
Ответ: 0 < а < 1/9, а > 9.
Пример 2. При каких значениях а уравнение 22х – (а – 3) 2х – 3а = 0 имеет решения?
Для того чтобы заданное уравнение имело решения, необходимо и достаточно, чтобы уравнение t2 – (a – 3) t – 3a = 0 имело хотя бы один положительный корень. Найдем корни по теореме Виета: х1 = -3, х2 = а = >
а – положительное число.
Ответ: при а > 0
Дидактический материал
1. Найти все значения а, при которых уравнение
25х – (2а + 5)*5х-1/х + 10а * 5-2/х = 0 имеет ровно 2 решения.
2. При каких значениях а уравнение
2(а-1)х?+2(а+3)х+а = 1/4 имеет единственный корень?
3. При каких значениях параметра а уравнение
4х - (5а-3)2х +4а2 – 3а = 0 имеет единственное решение?
Ответ:
- 0 < а < 1/50, а > 25/2
- при а = 1, а = -2,2
- 0 < а
3/4 и а = 1
Логарифмические уравнения с параметром
Пример 1. Найти все значения а, при которых уравнение
log4x(1 + ах) = 1/2 (1)
имеет единственное решение.
Решение. Уравнение (1) равносильно уравнению
1 + ах = 2
х при х > 0, х
1/4 (3)
х =
у
ау2 –у + 1 = 0 (4)
| Если а = 0, то – | 2у + 1 = 0 2у = 1 у = 1/2 х = 1/4 |
Не выполняется (2) условие из (3).
Пусть а
0, то
ау2 – 2у + 1 = 0 имеет действительные
корни тогда и только тогда, когда Д = 4 – 4а
0, т.е. при а
1.
Если Д = 0 (а = 1), то (4) имеет единственный положительный корень х = 1, удовлетворяющий условиям (3).
Пусть Д > 0 (а < 1), тогда уравнение (4)
имеет два различных корня. Так как у =
х
0, то в случае Д > 0 уравнение (4) имеет
действительные корни разных знаков. Это условие выполняется тогда и
только тогда, когда Д > 0 и 1/а < 0, т.е. при
а < 0.
Пример 2. Найти все значения а, при которых уравнение
log5(x =
2-a ) – log1/5(a-1-x) =
log259 имеет решение.
Решение. log5(x +
2-a) –log5(f – 1 –
x) = log53
(1) х +
2 –
а = 3(а – 1 – х), если
(2) а – 1 > х
Выражая х из (1) и подставляя в (2), получаем неравенство
2 – а > 1 –
а (3)
Чтобы решить неравенство (3), построим графики функций у
=
2 – а и
у = 1 – а.
Рис. 3
Решения неравенства (3) образуют промежуток
(а0; 2), где а0 < 0 и
а0 – корень уравнения
2 – а = 1 – а.
Тогда 2 – а = (1– а)2
а2 – а – 1 = 0
а0 =
Ответ:
< a
2
Дидактический материал
- Найдите, при каких значениях а уравнение log 3 (9x + 9a3) = x имеет ровно два корня.
- Найдите, при каких значениях а уравнение log 2 (4x – a) = x имеет единственный корень.
- При каких значениях а уравнение х – log 3 (2а – 9х) = 0 не имеет корней.
Ответы:
- при а < 1/3
36 - при а = -1/4
- при а < -1/8
Литература
- Гусев В.А., Мордкович А.Г. Математика. Справочные материалы. – М.: Просвещение, 1990.
- Галицкий М.Л., Мошкович М.М., Шварцбурд С.И. Углубленное изучение курса алгебры и математического анализа. – М.: Просвещение, 1990
- Крамор В.С. Повторяем и систематизируем школьный курс алгебры и начал анализа. – М.: Просвещение, 1990.
- Галицкий М.Л., Гольдман А.М., Звавич Л.И. Сборник задач по алгебре. – М.: Просвещение, 1994.
- Звавич Л.И., Шляпочник Л.Я. Алгебра и начала анализа. Решение экзаменационных задач. – М.: Дрофа, 1998.
- Макарычев Ю.Н. и др. Дидактические материалы по алгебре 7, 8, 9 кл. – М.: Просвещение, 2001.
- Саакян С.И., Гольдман А.М., Денисов Д.В. Задачи по алгебре и началам анализа для 10–11-х классов. – М.: Просвещение, 1990.
- Журналы “Математика в школе”.
- Л.С. Лаппо и др. ЕГЭ. Учебное пособие. – М.: Экзамен, 2001–2008.