Методы построения сечений многогранников
Метод сечений многогранников в стереометрии используется в задачах на построение. В его основе лежит умение строить сечение многогранника и определять вид сечения.
Данный материал характеризуется следующим особенностями:
- Метод сечений применяется только для многогранников, так как различные сложные (наклонные) виды сечений тел вращения не входят в программу средней школы.
- В задачах используются в основном простейшие многогранники.
- Задачи представлены в основном без числовых данных, чтобы создать возможность их многовариантного использования.
Чтобы решить задачу построения сечения многогранника ученик должен знать:
- что значит построить сечение многогранника плоскостью;
- как могут располагаться относительно друг друга многогранник и плоскость;
- как задается плоскость;
- когда задача на построение сечения многогранника плоскостью считается решенной.
Поскольку плоскость определяется:
- тремя точками;
- прямой и точкой;
- двумя параллельными прямыми;
- двумя пересекающимися прямыми,
построение плоскости сечения проходит в зависимости от задания этой плоскости. Поэтому все способы построения сечений многогранников можно разделить на методы.
Существует три основных метода построения сечений многогранников:
- Метод следов.
- Метод вспомогательных сечений.
- Комбинированный метод.
Первые два метода являются разновидностями Аксиоматического метода построения сечений.
Можно также выделить следующие методы построения сечений многогранников:
- построение сечения многогранника плоскостью, проходящей через заданную точку параллельно заданной плоскости;
- построение сечения, проходящего через заданную прямую параллельно другой заданной прямой;
- построение сечения, проходящего через заданную точку параллельно двум заданным скрещивающимся прямым;
- построение сечения многогранника плоскостью, проходящей через заданную прямую перпендикулярно заданной плоскости;
- построение сечения многогранника плоскостью, проходящей через заданную точку перпендикулярно заданной прямой.
В федеральный перечень учебников по геометрии для 10-11 класов входят учебники авторов:
- Атанасяна Л.С., Бутузова В.Ф., Кадомцева С.Б. и др (Геометрия, 10-11);
- Погорелова А.В. (Геометрия, 7-11);
- Александрова А.Д., Вернера А.Л., Рыжик В.И. (Геометрия, 10-11);
- Смирновой И.М. (Геометрия, 10-11);
- Шарыгина И.Ф. (Геометрия, 10-11).
Рассмотрим подробнее учебники Л.С, Атанасяна и Погорелова А.В.
В учебнике Л.С. Атанасяна на тему "Построение сечений многогранников" выделено два часа. В 10 классе в теме "Параллельность прямых и плоскостей" после изучения тетраэдра и параллелепипеда отводится один час на изложение параграфа "Задачи на построение сечений". Рассматриваются сечения тетраэдра и параллелепипеда. И тема "Параллельность прямых и плоскостей" завершается решением задач на одном или двух часах (всего задач на построение сечений в учебнике восемь).
В учебнике Погорелова А.В. на построение сечений отводится около трех часов в главе "Многогранники": один - на изучение темы "Изображение призмы и построение ее сечений", второй - на изучение темы "Построение пирамиды и ее плоских сечений" и третий - на решение задач. В списке задач, приведенных после темы, задач на сечение насчитывается всего около десяти.
Мы предлагаем систему уроков по теме "Построение сечений многогранников" для учебника Погорелова А.В.
Материал предлагается расположить в той последовательности, в какой он может применяться для обучения учащихся. Из изложения темы "Многогранники" предлагается исключить следующие параграфы: "Построение сечений призмы" и "Построение сечений пирамиды" с тем, чтобы систематизировать данный материал в конце этой темы "Многогранники". Классифицировать его по тематике задач с примерным соблюдением принципа "от простого к сложному" можно весьма условно следующим образом:
- Определение сечения многогранников.
- Построение сечений призмы, параллелепипеда, пирамиды методом следов. (Как правило в школьном курсе стереометрии используются задачи на построение сечений многогранников, решаемые основными методами. Остальные методы, в связи с их более высоким уровнем сложности, учитель может оставить для рассмотрения на факультативных занятиях или на самостоятельное изучение. В задачах на построение основными методами требуется построить плоскость сечения, проходящую через три точки).
- Нахождение площади сечений в многогранниках (без использования теоремы о площади ортогональной проекции многоугольника).
- Нахождение площади сечений в многогранниках (с применением теоремы о площади ортогональной проекции многоугольника).
СТЕРЕОМЕТРИЧЕСКИЕ ЗАДАЧИ НА ПОСТРОЕНИЕ СЕЧЕНИЙ МНОГОГРАННИКОВ И МЕТОДИКА ИХ ИСПОЛЬЗОВАНИЯ НА УРОКАХ В 10-11 КЛАССАХ.
(система уроков и факультативных занятий по теме "Построение сечений многогранников")
УРОК 1.
Тема урока: "Построение сечений многогранников".
Цель урока: ознакомление с методами построений сечений многогранников.
Этапы урока:
- Актуализация опорных знаний.
- Постановка задачи.
- Изучение нового материала:
А) Определение сечения.
Б) Методы построений сечений:
а) метод следов;
б) метод вспомогательных сечений;
в) комбинированный метод.
- Закрепление материала.
Примеры построений сечений методом следов.
- Подведение итогов урока.
Тест.
Ход урока.
-
Актуализация опорных знаний.
Вспомним:
- пересечение прямой с плоскостью;
- пересечение плоскостей;
- свойства параллельных плоскостей. -
Постановка задачи.
Вопросы к классу:
- Что значит построить сечение многогранника плоскостью?
- Как могут располагаться относительно друг друга многогранник и плоскость?
- Как задается плоскость?
- Когда задача на построение сечения многогранника плоскостью считается решенной? -
Изучение нового материала.
А) Итак, задача состоит в построении пересечения двух фигур: многогранника и плоскости ( рис.1). Это могут быть: пустая фигура (а), точка (б), отрезок (в), многоугольник (г). Если пересечение многогранника и плоскости есть многоугольник, то этот многоугольник называется сечением многогранника плоскостью.

Рис. 1
Будем рассматривать только случай, когда плоскость пересекает многогранник по его внутренности. При этом пересечением данной плоскости с каждой гранью многогранника будет некоторый отрезок. Таким образом, задача считается решенной, если найдены все отрезки, по которым плоскость пересекает грани многогранника.
Исследуйте сечения куба (рис.2) и ответьте на следующие вопросы:

Рис. 2
- какие многоугольники получаются в сечении куба плоскостью? (Важно число сторон многоугольника);
[ Предполагаемые ответы: треугольник, четырехугольник, пятиугольник, шестиугольник.]
- может ли в сечении куба плоскостью получиться семиугольник? А восьмиугольник и т.д.? Почему?
Давайте рассмотрим призму и ее возможные сечения плоскостью ( на модели). Какие многоугольники получаются?
Какой можно сделать вывод? Чему равно наибольшее число сторон многоугольника, полученного сечением многогранника с плоскостью?
[ Наибольшее число сторон многоугольника, полученного в сечении многогранника плоскостью, равно числу граней многогранника.]
Б) а) Метод следов заключается в построении следов секущей плоскости на плоскость каждой грани многогранника. Построение сечения многогранника методом следов обычно начинают с построения так называемого основного следа секущей плоскости, т.е. следа секущей плоскости на плоскости основания многогранника.
б) Метод вспомогательных сечений построения сечений многогранников является в достаточной мере универсальным. В тех случаях, когда нужный след (или следы) секущей плоскости оказывается за пределами чертежа, этот метод имеет даже определенные преимущества. Вместе с тем следует иметь ввиду, что построения, выполняемые при использовании этого метода, зачастую получаются "скученными". Тем не менее в некоторых случаях метод вспомогательных сечений оказывается наиболее рациональным.
Метод следов и метод вспомогательных сечений являются разновидностями аксиоматического метода построения сечений многогранников плоскостью.
в) Суть комбинированного метода построения сечений многогранников состоит в применении теорем о параллельности прямых и плоскостей в пространстве в сочетании с аксиоматическим методом.
А теперь на примере решения задач рассмотрим метод следов.
4. Закрепление материала.
Задача 1.
Построить сечение призмы ABCDA1B1C1D1 плоскостью, проходящей через точки P, Q, R (точки указаны на чертеже (рис.3)).
Решение.

Рис. 3
- Построим след секущей плоскости на плоскость нижнего основания призмы. Рассмотрим грань АА1В1В. В этой грани лежат точки сечения P и Q. Проведем прямую PQ.
- Продолжим прямую PQ, которая принадлежит сечению, до пересечения с прямой АВ. Получим точку S1, принадлежащую следу.
- Аналогично получаем точку S2 пересечением прямых QR и BC.
- Прямая S1S2 - след секущей плоскости на плоскость нижнего основания призмы.
- Прямая S1S2 пересекает сторону AD в точке U, сторону CD в точке Т. Соединим точки P и U, так как они лежат в одной плоскости грани АА1D1D. Аналогично получаем TU и RT.
- PQRTU - искомое сечение.
Задача 2.
Построить сечение параллелепипеда ABCDA1B1C1D1 плоскостью, проходящей через точки M, N, P (точки указаны на чертеже (рис.4)).
Решение.

Рис. 4
- Точки N и P лежат в плоскости сечения и в плоскости нижнего основания параллелепипеда. Построим прямую, проодящую через эти точки. Эта прямая является следом секущей плоскости на плоскость основания параллелепипеда.
- Продолжим прямую, на которой лежит сторона AB параллелепипеда. Прямые AB и NP пересекутся в некоторой точке S. Эта точка принадлежит плоскости сечения.
- Так как точка M также принадлежит плоскости сечения и пересекает прямую АА1 в некоторой точке Х.
- Точки X и N лежат в одной плоскости грани АА1D1D, соединим их и получим прямую XN.
- Так как плоскости граней параллелепипеда параллельны, то через точку M можно провести прямую в грани A1B1C1D1, параллельную прямой NP. Эта прямая пересечет сторону В1С1 в точке Y.
- Аналогично проводим прямую YZ, параллельно прямой XN. Соединяем Z с P и получаем искомое сечение - MYZPNX.
Задача 3 ( для самостоятельного решения).
Построить сечение тетраэдра DACB плоскостью, проходящей через точки M, N, P (точки указаны на чертеже (рис.5)).

Рис. 5
5. Подведение итогов урока.
Ответьте на вопрос: являются ли закрашенные фигуры сечениями изображенных многогранников плоскостью PQR? И выполните правильное построение (рис. 6).
Вариант 1.
а)

б)

в)

г)

д)

Вариант 2.

УРОК 2.
Тема урока: НАХОЖДЕНИЕ ПЛОЩАДИ СЕЧЕНИЯ.
Цель урока: познакомить со способами нахождения площади сечения многогранника.
Этапы урока:
-
Актуализация опорных знаний.
Вспомнить теорему о площади ортогональной проекции многоугольника.
- Решение задач на нахождение площади сечения:
- без использования теоремы о площади ортогональной проекции многоугольника;
- с использованием теоремы о площади ортогональной проекции многоугольника.
3. Подведение итогов урока.
Ход урока.
-
Актуализация опорных знаний.
Вспомним теорему о площади ортогональной проекции многоугольника: площадь ортогональной проекции многоугольника на плоскость равна произведению его площади на косинус угла между плоскостью многоугольника и плоскостью проекции.
- Решение задач.
Задача 1.
ABCD - правильная треугольная пирамида со стороной основания AB равной а и высотой DH равной h. Постройте сечение пирамиды плоскостью, проходящей через точки D, C и М, где М - середина стороны АВ, и найдите его площадь (рис.7).
Решение.
Сечением пирамиды является треугольник MCD. Найдем его площадь.
- Так как основание пирамиды - равносторонний треугольник и точка М - середина стороны, то СМ является высотой и тогда, СМ =
. - Площадь треугольника можно найти:
S = 1/2 · DH · CM = 1/2 ·
=
Рис.7
Задача 2.
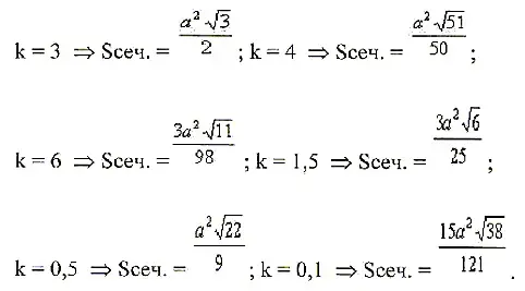
Найти площадь сечения куба ABCDA1B1C1D1 с ребром а плоскостью, проходящей через вершину D и точки Е и F на ребрах А1D1 и C1D1 соответственно, если A1E = k · D1E и C1F = k · D1F.
Решение.
Построение сечения:
- Поскольку точки Е и F принадлежат плоскости сечения и плоскости грани A1B1C1D1, а две плоскости пересекаются по прямой, то прямая EF будет являться следом секущей плоскости на плоскость грани A1B1C1D1 (рис.8).
- Аналогично получаются прямые ED и FD.
- EDF - искомое сечение.

Рис.8.


Задача 3 (для самостоятельного решения).
Построить сечение куба ABCDA1B1C1D1 со стороной а плоскостью, проходящей через точки B, M и N, где Ь - середина ребра АА1, а N - середина ребра СС1.
Решение.
Сечение строим методом следов.
Площадь сечения находим с помощью теоремы о площади ортогональной проекции многоугольника. Ответ: S = 1/2 · a2
.
