Урок–игра "Помоги Гарри Поттеру". 6-й класс
Цель урока:
- закрепление умений и навыков работы с обыкновенными дробями, имеющими разные знаменателю;
- привитие интереса к предмету.
Ход урока
Разминка
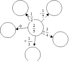
- Вставьте в пустые кружочки буквы из таблицы, соответствующие результатам и прочтите полученное слово.

| р | г | и | р | а |
- Найти НОЗ дробей. Найдите соответствующую ему букву и прочтите полученное слово.
| 12 | т |
| 10 | е |
| 12 | т |
| 20 | п |
| 21 | о |
| 36 | р |
- Вставьте в ключ буквы, соответствующие результатам и прочтите полученное слово.
- 3,8 - 1,9 = х
- 5,4 - 1,27 = о
- 0,6-0,24 = о
- 3,5 + 4,17 = а
- 5 + 0,68 = л
- 1,4 + 13,7 = р
- 0,7 * 100 = а
- 0,6 * 0,8 = м
- 5,6 * 0,1 = о

Работа в группах.
Класс разбивается на пять групп. Каждой группе нужно выполнить несколько заданий и собрать ключ. Задания написаны на карточках, оформленных в виде "Василиска" (на одной стороне карточки написаны задания, а на другой - изображение змея.), ключи с ответами - в виде "меча" (меч разрезан на 4 части, на каждой написан ответ к определенному заданию).
Задания I группе.
- Приведите дроби к наименьшему общему знаменателю:
а)
б)
.
- На уроке ухода за магическими существами Гарри за 8 минут накормил 15 соплохвостов, а Рон за 11 минут - 20 соплохвостов. Кто из них работал быстрее?
- Выполните действия:
а)
б)
в)
г)
д)
е) ![]()
- Решить уравнение:

Задания II группе
- Приведите дроби к общему знаменателю:
а)
б) ![]()
- На уроке травологии Гарри пересадил свою мандрагору за
часа, а Гермиона -за
часа. Кто из них справился с заданием профессора Стебль быстрее? - Выполнить действия:
а)
б)
в)
г)
д)
е) ![]()
- Решить уравнение:

Задание III группе
- Привести дроби к наименьшему общему знаменателю:
а)
б) ![]()
- Гермиона готовила оборотное зелье. В первый день она сделала
всей работы, а во второй день на
работы больше. Какую часть работы выполнила Гермиона за два дня? - Выполнить действия:
а)
б)
в)
г)
д)
е) ![]()
- Решить уравнение:

Задания IV группе
- Привести дроби к наименьшему общему знаменателями:
а)
б) ![]()
- Гарри и Седрик Диггори готовились к борьбе за Кубок огня. Гарри может продержаться под водой
часа, а Седрик
часа. Кто из них выносливее? - Выполнить действия:
а)
б)
в)
г)
д)
е) ![]()
- Решить уравнение:

Задания V группе
1.Приведите дроби к общему знаменателю:
а)
б)
в) ![]()
- Гарри полетел на своей "Молнии" в Лондон. В 1-й час он пролетел
всего пути, а во 2-й - на
пути меньше. Какую часть пути пролетел Гарри за эти 2 часа? - Выполнить действия:
а)
б)
в)
г)
д)
е) ![]()
- Решить уравнение:

После того как ребята всех групп выполнят задания, они должны собрать ключ. Ключ - это меч, которым Гарри отрубил голову Василиску, победив в очередной раз Волан-де-Морта. Правильно собранный ключ означает правильно выполненное задание. (Приложение2)
Ответы к заданиям.
I группа.
- а)
б) 
- Гарри.
-

II группа.
- а)

- Гермиона.
-

III группа.
IV группа.

- Гарри.
-

V группа.
